TOP
|
特許
|
意匠
|
商標
特許ウォッチ
Twitter
他の特許を見る
10個以上の画像は省略されています。
公開番号
2025144559
公報種別
公開特許公報(A)
公開日
2025-10-02
出願番号
2025044843
出願日
2025-03-19
発明の名称
センサユニット、電力ケーブル及び測定システム
出願人
古河電気工業株式会社
代理人
弁理士法人酒井国際特許事務所
主分類
G01B
11/24 20060101AFI20250925BHJP(測定;試験)
要約
【課題】海中のケーブルの曲がりを容易に測定できるようにする。
【解決手段】本発明に係るセンサユニットは、合成樹脂で形成された基部と、前記基部の内部で前記基部の長手方向に沿って配置された第1テンションメンバと、前記基部の内部で前記第1テンションメンバと平行に配置された第2テンションメンバと、前記基部の内部で前記基部の長手方向に沿って配置され、前記基部の中立面から離れた位置に配置された第1光ファイバと、を備える。
【選択図】図3
特許請求の範囲
【請求項1】
合成樹脂で形成された基部と、
前記基部の内部で前記基部の長手方向に沿って配置された第1光ファイバと、
を有し、
前記基部は、長手方向に垂直な断面における一方向と、当該一方向に垂直な他方向とで曲げ剛性が異なり、
前記基部の中立面は、前記断面において前記一方向と前記他方向のうち曲げ剛性が高い方向に沿っており、
前記第1光ファイバは、前記断面において前記一方向と前記他方向のうち前記中立面から曲げ剛性が低い方向に離れた位置に配置されている
センサユニット。
続きを表示(約 880 文字)
【請求項2】
前記基部の内部で前記基部の長手方向に沿って配置された第1テンションメンバと、
前記基部の内部で前記第1テンションメンバと平行に配置された第2テンションメンバと、
を備える請求項1に記載のセンサユニット。
【請求項3】
電力ケーブルの長手方向に沿った断面円形の中空部内に前記基部が配置され、
前記基部は、前記電力ケーブルの曲げに追従して前記中空部内で回転可能に配置されている
請求項1に記載のセンサユニット。
【請求項4】
中空の管を有し、前記基部が前記管の中空部において前記管に対して回転可能に配置されている
請求項2に記載のセンサユニット。
【請求項5】
前記中立面に第2光ファイバが配置されている
請求項2に記載のセンサユニット。
【請求項6】
前記第1光ファイバ及び前記第2光ファイバを複数有し、
複数の前記第1光ファイバ及び複数の前記第2光ファイバは、それぞれ離れて配置されている
請求項5に記載のセンサユニット。
【請求項7】
前記基部は、長手方向に直交する断面形状が前記中立面を中心に線対称である
請求項2に記載のセンサユニット。
【請求項8】
前記基部の長手方向に直交する断面形状は、長方形であり、
断面の長辺方向に前記第1テンションメンバと前記第2テンションメンバとが並んでいる
請求項7に記載のセンサユニット。
【請求項9】
前記基部の長手方向に直交する断面形状は、楕円形であり、
断面の長軸方向に前記第1テンションメンバと前記第2テンションメンバとが並んでいる
請求項7に記載のセンサユニット。
【請求項10】
前記第1テンションメンバ及び前記第2テンションメンバは、繊維強化プラスチックである
請求項2に記載のセンサユニット。
(【請求項11】以降は省略されています)
発明の詳細な説明
【技術分野】
【0001】
本発明は、センサユニット、電力ケーブル及び測定システムに関する。
続きを表示(約 1,800 文字)
【背景技術】
【0002】
ケーブルの曲げを検出する発明として、例えば特許文献1、2に開示された発明がある。特許文献1に開示された曲率センサは、海底電力ケーブルの曲率変動及び曲げを検出するセンサであり、撚られた3本の電力コアの間に配置される。曲率センサは、弾性を有する細長部材と、細長部材に沿って軸方向に伸びる複数のファイバブラッググレーティング(FBG)ファイバとを備えている。FBGファイバは、細長部材の外面に設けられた凹部に配置されており、ブラッグ格子がなく、監視システムから可視光又は紫外線である電磁波が放射される光ファイバに接合されている。監視システムは、放射してFBGファイバで反射された電磁波を検出し、検出した電磁波に基づいて海底電力ケーブルの曲率を決定する。
【0003】
特許文献2に開示された複合ケーブルは、電力を伝送する複数の電力線と、センシングケーブルと、複数のテンションメンバとを備えている。センシングケーブルは、スロット材と、3本のセンシング光ファイバと、テンションメンバとを有している。スロット材は、光ファイバを収容する溝が外周に複数設けられており、この溝は、周方向に所定の間隔で設けられ、軸心の周りに螺旋状に伸びている。また、スロット材の断面中心には長手方向にテンションメンバが挿入されている。複合ケーブルが局所的に曲がると、その曲がりに応じてセンシングケーブルも曲がって歪み、複合ケーブルの長手方向における形状の変化に応じて、センシング光ファイバの長手方向における形状及び歪み分布も変化する。複数のセンシング光ファイバの長手方向における歪み分布を検出することにより、複合ケーブルの長手方向における形状を検出することができる。
【先行技術文献】
【特許文献】
【0004】
特開2022-74010号公報
特開2022-110605号公報
【発明の概要】
【発明が解決しようとする課題】
【0005】
特許文献1に開示された曲率センサでは、FBGファイバと曲げの中心となる細長部材の中心軸との距離が短いと、曲げが発生した際にFBGファイバに発生する歪が小さくなるため、曲げ測定の感度に限界がある。特許文献2に開示されたセンシングケーブルを複合ケーブルにおいて軸心から離れた位置に収納した場合、センシング光ファイバがスロット材の中心に対して長手方向へ螺旋状に伸びており、センシング光ファイバの位置が曲げ中心に対して長手方向で周期的に変動する。この場合、センシング光ファイバが曲がった際に発生する歪は複雑となるため、複合ケーブルの形状を検出するのに複雑な演算を要することとなる。
【0006】
本発明は、上記に鑑みてなされたものであって、海中のケーブルの曲がりを容易に測定できるようにすることを目的とする。
【課題を解決するための手段】
【0007】
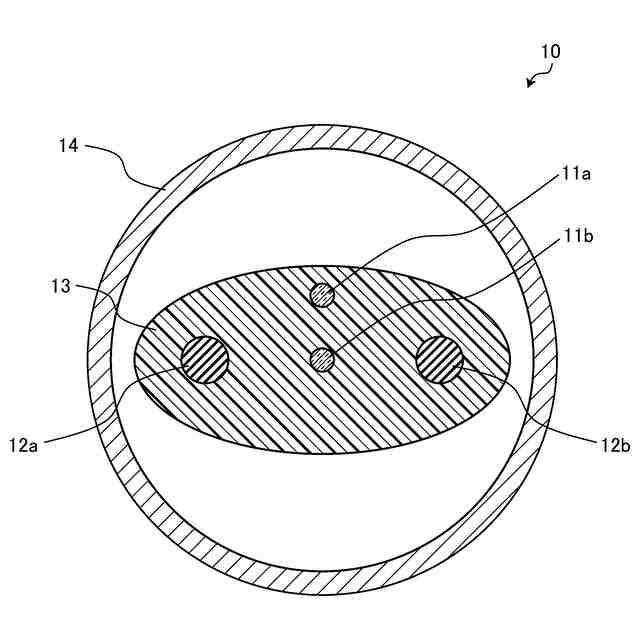
上述した課題を解決し、目的を達成するために、本発明に係るセンサユニットは、合成樹脂で形成された基部と、前記基部の内部で前記基部の長手方向に沿って配置された第1光ファイバと、を有し、前記基部は、長手方向に垂直な断面における一方向と、当該一方向に垂直な他方向とで曲げ剛性が異なり、前記基部の中立面は、前記断面において前記一方向と前記他方向のうち曲げ剛性が高い方向に沿っており、前記第1光ファイバは、前記断面において前記一方向と前記他方向のうち前記中立面から曲げ剛性が低い方向に離れた位置に配置されている。
【0008】
本発明の一態様に係るセンサユニットは、前記基部の内部で前記基部の長手方向に沿って配置された第1テンションメンバと、前記基部の内部で前記第1テンションメンバと平行に配置された第2テンションメンバと、を備える。
【0009】
本発明の一態様に係るセンサユニットは、電力ケーブルの長手方向に沿った断面円形の中空部内に前記基部が配置され、前記基部は、前記電力ケーブルの曲げに追従して前記中空部の内部で回転可能に配置されている。
【0010】
本発明の一態様に係るセンサユニットは、中空の管を有し、前記基部が前記管の中空部において前記管に対して回転可能に配置されていてもよい。
(【0011】以降は省略されています)
この特許をJ-PlatPat(特許庁公式サイト)で参照する
関連特許
古河電気工業株式会社
銅線
今日
古河電気工業株式会社
端子
5日前
古河電気工業株式会社
端子
4日前
古河電気工業株式会社
複合ケーブル
5日前
古河電気工業株式会社
複合ケーブル
5日前
古河電気工業株式会社
コネクタ接続構造
4日前
古河電気工業株式会社
光半導体モジュール
4日前
古河電気工業株式会社
電子部品加工用テープ
4日前
古河電気工業株式会社
レーダ装置の配置構造
4日前
古河電気工業株式会社
フラットケーブル組立体
4日前
古河電気工業株式会社
ウエハ加工用粘着テープ
5日前
古河電気工業株式会社
ワイヤハーネス用コネクタ
4日前
古河電気工業株式会社
レーザ装置および制御方法
4日前
古河電気工業株式会社
光モジュール、光接続構造
5日前
古河電気工業株式会社
コネクタ及びコネクタ接続構造
4日前
古河電気工業株式会社
半導体ウェハ表面保護用テープ
4日前
古河電池株式会社
双極型蓄電池
5日前
古河電気工業株式会社
グロメット及びグロメット付ハーネス
今日
古河電気工業株式会社
通信システム、プログラム及び通信方法
5日前
古河樹脂加工株式会社
木質配合樹脂管
4日前
古河電気工業株式会社
フェルールホルダ、光接続構造、光モジュール
5日前
古河電気工業株式会社
走行路認識装置、走行路認識方法及びプログラム
6日前
古河電気工業株式会社
センサシステム、センシング方法およびプログラム
4日前
古河電気工業株式会社
止水カバー付グロメット及び止水カバー付ハーネス
今日
古河樹脂加工株式会社
配管固定具および配管固定構造
5日前
古河電池株式会社
双極型蓄電池及び双極型蓄電池の製造方法
5日前
古河電池株式会社
双極型蓄電池用バイプレート、双極型蓄電池
6日前
古河電気工業株式会社
フラットケーブル組立体、回転コネクタ装置、及び、スライドドアハーネス
4日前
古河電気工業株式会社
フィルム状接着剤、その硬化フィルムを具備する積層レンズ、フィルム状接着剤用のドープ
5日前
古河電気工業株式会社
樹脂組成物、樹脂被覆材、絶縁電線、絶縁電線の製造方法、自動車用ワイヤーハーネス及び自動車用ワイヤーハーネスの製造方法
4日前
古河電気工業株式会社
フィルム状接着剤、接着剤用組成物、ダイシング・ダイアタッチフィルム、並びに半導体パッケージ及び半導体パッケージの製造方法
5日前
個人
メジャー文具
7日前
個人
アクセサリー型テスター
今日
日本精機株式会社
位置検出装置
13日前
日本精機株式会社
位置検出装置
13日前
ユニパルス株式会社
ロードセル
6日前
続きを見る
他の特許を見る