TOP
|
特許
|
意匠
|
商標
特許ウォッチ
Twitter
他の特許を見る
10個以上の画像は省略されています。
公開番号
2025143443
公報種別
公開特許公報(A)
公開日
2025-10-01
出願番号
2025114422,2020177397
出願日
2025-07-07,2020-10-22
発明の名称
色分離レンズアレイを具備するイメージセンサ、及びそれを含む電子装置
出願人
三星電子株式会社
,
Samsung Electronics Co.,Ltd.
代理人
IBC一番町弁理士法人
主分類
H10F
39/12 20250101AFI20250924BHJP()
要約
【課題】色分離レンズアレイを具備するイメージセンサ、及びそれを含む電子装置を提供
する。
【解決手段】イメージセンサは、光を感知する第1光感知セル及び第2光感知セルを含む
センサ基板と、第1光感知セルに対向し、第1ナノポストを含む第1領域、及び第2光感
知セルに対向し、第2ナノポストを含む第2領域を具備する色分離レンズアレイと、を含
み、第1ナノポストと第2ナノポストは、色分離レンズアレイに入射する入射光のうち、
互いに異なる第1波長の光と、第2波長の光とが互いに異なる方向に分岐され、それぞれ
第1光感知セル及び第2光感知セルに集光される位相分布を、第1領域及び第2領域を通
過した位置で形成させる。
【選択図】図3
特許請求の範囲
【請求項1】
光を感知する第1光感知セル及び第2光感知セルを含むセンサ基板と、
前記第1光感知セルに対向し、第1ナノポストを含む第1領域、及び前記第2光感知セル
に対向し、第2ナノポストを含む第2領域を含む色分離レンズアレイと、を含み、
前記第1ナノポストと前記第2ナノポストは、形状、大きさ、配列のうち少なくとも一
つが互いに異なり、
前記第1ナノポストと前記第2ナノポストは、前記色分離レンズアレイに入射する入射
光のうち、互いに異なる第1波長の光と、第2波長の光とが互いに異なる方向に分岐され
、それぞれ前記第1光感知セル及び前記第2光感知セルに集光される位相分布を、前記第
1領域及び前記第2領域を通過した位置で形成する、イメージセンサ。
続きを表示(約 1,700 文字)
【請求項2】
前記第1ナノポストと前記第2ナノポストは、
前記色分離レンズアレイを通過した直後の位置において、第1波長の光が、前記第1光
感知セルの中心部に対応する位置においては、2Nπの位相分布を形成し、前記第2光感
知セルの中心部に対応する位置においては、(2N-1)πの位相分布を形成し、Nは、
0より大きい整数である、請求項1に記載のイメージセンサ。
【請求項3】
前記第1ナノポストと前記第2ナノポストは、
前記色分離レンズアレイを通過した直後の位置において、第2波長の光が、前記第1光
感知セルの中心部に対応する位置においては、(2M-1)πの位相分布を形成し、前記
第2光感知セルの中心部に対応する位置においては、2Mπの位相分布を形成し、Mは、
0より大きい整数である、請求項2に記載のイメージセンサ。
【請求項4】
前記センサ基板と前記色分離レンズアレイとの間に配置され、前記センサ基板と前記色
分離レンズアレイとの間に距離を形成するスペーサ層をさらに含む、請求項1~3のいず
れか1項に記載のイメージセンサ。
【請求項5】
前記スペーサ層は、前記色分離レンズアレイが色分離させる入射光の波長帯域の中心波
長において、前記色分離レンズアレイの焦点距離に該当する厚みを有する、請求項4に記
載のイメージセンサ。
【請求項6】
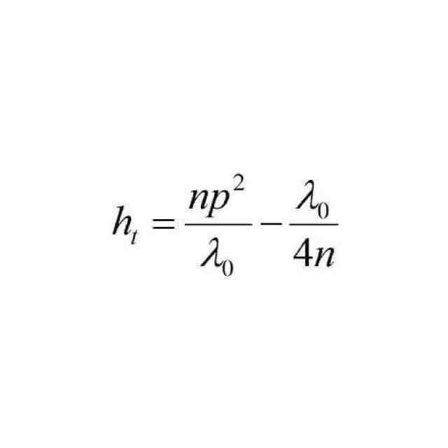
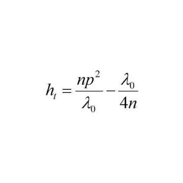
前記スペーサ層の理論厚をh
t
、それぞれの光感知セルのピッチをp、前記スペーサ層
の屈折率をn、前記色分離レンズアレイが色分離させる光の波長帯域の中心波長をλ
0
と
するとき、前記スペーサ層の理論厚h
t
は、
JPEG
2025143443000004.jpg
14
161
であり、
前記スペーサ層の実際厚hは、h
t
-p≦h≦h
t
+pである、請求項4に記載のイメ
ージセンサ。
【請求項7】
前記センサ基板は、光を感知する第3光感知セル及び第4光感知セルをさらに含み、
前記色分離レンズアレイは、前記第3光感知セルに対向し、第3ナノポストを含む第3
領域、及び前記第4光感知セルに対向し、第4ナノポストを含む第4領域を含み、
前記第3ナノポストと前記第4ナノポストは、形状、大きさ、配列のうち少なくとも一
つが互いに異なる、請求項1~6のいずれか1項に記載のイメージセンサ。
【請求項8】
前記第1ナノポストないし前記第4ナノポストは、前記色分離レンズアレイに入射する
入射光のうち、互いに異なる第1波長、第2波長、第3波長の光が互いに異なる方向に分
岐され、第1波長の光が、前記第1光感知セルと前記第4光感知セルとに集光され、第2
波長の光が、前記第2光感知セルに集光され、第3波長の光が、前記第3光感知セルに集
光される位相分布を、前記第1領域ないし前記第4領域を通過した位置で形成する、請求
項7に記載のイメージセンサ。
【請求項9】
前記第1波長は、緑色光であり、前記第2波長は、青色光であり、前記第3波長は、赤
色光である、請求項8に記載のイメージセンサ。
【請求項10】
前記第1ナノポストないし前記第4ナノポストは、
前記色分離レンズアレイを通過した直後の位置において、第1波長の光が、前記第1光
感知セルの中心部と、前記第4光感知セルの中心部とに対応する位置においては、2Nπ
の位相分布を形成し、前記第2光感知セルの中心部と、前記第3光感知セルの中心部とに
対応する位置においては、(2N-1)πの位相分布を形成するようにし、Nは、0より
大きい整数である、請求項7に記載のイメージセンサ。
(【請求項11】以降は省略されています)
発明の詳細な説明
【技術分野】
【0001】
本発明は、色分離レンズアレイを具備するイメージセンサ、及び該イメージセンサを含
む電子装置に係り、さらに詳細には、入射光を、波長別に分離させて集光することができ
る色分離レンズアレイを具備するイメージセンサ、及び該イメージセンサを含む電子装置
に関する。
続きを表示(約 1,600 文字)
【背景技術】
【0002】
イメージセンサは、一般的に、カラーフィルタを利用し、入射光の色を感知する。とこ
ろで、カラーフィルタは、当該色の光を除いた残りの色の光を吸収するために、光利用効
率が低下してしまう。例えば、RGBカラーフィルタを使用する場合、入射光の1/3の
みを透過させ、残り2/3は吸収してしまうことになるので、光利用効率が約33%ほど
に過ぎない。従って、カラーディスプレイ装置やカラーイメージセンサの場合、ほとんど
の光損失がカラーフィルタで生じることになる。
【先行技術文献】
【特許文献】
【0003】
米国特許第9653501号明細書
【発明の概要】
【発明が解決しようとする課題】
【0004】
本発明が解決しようとする課題は、入射光を、波長別に分離させて集光することができ
る色分離レンズアレイを利用し、光利用効率が向上されたイメージセンサを提供すること
である。
【0005】
本発明が解決しようとする課題は、また該イメージセンサを含む電子装置を提供するこ
とである。
【課題を解決するための手段】
【0006】
一実施形態によるイメージセンサは、光を感知する第1光感知セル及び第2光感知セル
を含むセンサ基板と、前記第1光感知セルに対向し、第1ナノポストを含む第1領域、及
び前記第2光感知セルに対向し、第2ナノポストを含む第2領域を具備する色分離レンズ
アレイと、を含み、前記第1ナノポストと前記第2ナノポストは、形状、大きさ、配列の
うち少なくとも一つが互いに異なり、前記第1ナノポストと前記第2ナノポストは、前記
色分離レンズアレイに入射する入射光のうち、互いに異なる第1波長の光と、第2波長の
光とが互いに異なる方向に分岐され、それぞれ前記第1光感知セル及び前記第2光感知セ
ルに集光される位相分布を、前記第1領域及び前記第2領域を通過した位置で形成するこ
とができる。
前記第1ナノポストと前記第2ナノポストは、前記色分離レンズアレイを通過した直後の
位置において、第1波長の光が、前記第1光感知セルの中心部に対応する位置においては
、2Nπの位相分布を形成し、前記第2光感知セルの中心部に対応する位置においては、
(2N-1)πの位相分布を形成することができる。ここで、Nは、0より大きい整数で
ある。
【0007】
前記第1ナノポストと前記第2ナノポストは、前記色分離レンズアレイを通過した直後
の位置において、第2波長の光が、前記第1光感知セルの中心部に対応する位置において
は、(2M-1)πの位相分布を形成し、前記第2光感知セルの中心部に対応する位置に
おいては、2Mπの位相分布を形成することができる。ここで、Mは0より大きい整数で
ある。
【0008】
前記イメージセンサは、前記センサ基板と前記色分離レンズアレイとの間に配置され、
前記センサ基板と前記色分離レンズアレイとの間に距離を形成するスペーサ層をさらに含
んでもよい。
【0009】
前記スペーサ層は、前記色分離レンズアレイが色分離させる入射光の波長帯域の中心波
長において、前記色分離レンズアレイに該当する厚みを有することができる。
【0010】
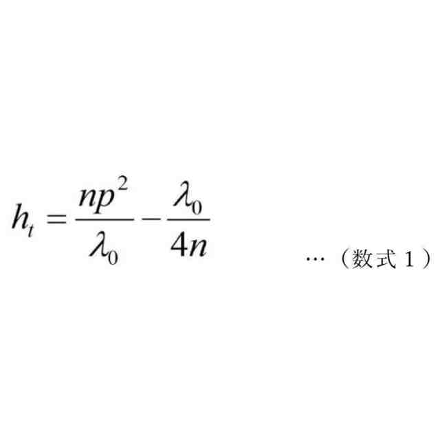
前記スペーサ層の理論厚をh
t
、前記光感知セルのピッチをp、前記スペーサ層の屈折
率をn、前記色分離レンズアレイが色分離させる光の波長帯域の中心波長をλ
0
とすると
き、前記スペーサ層の理論厚h
t
は、
(【0011】以降は省略されています)
この特許をJ-PlatPat(特許庁公式サイト)で参照する
関連特許
三星電子株式会社
半導体素子
2日前
三星電子株式会社
半導体素子
26日前
三星電子株式会社
半導体素子
6日前
三星電子株式会社
半導体装置
6日前
三星電子株式会社
固体撮像素子
17日前
三星電子株式会社
電気集塵装置
1か月前
三星電子株式会社
固体撮像素子
17日前
三星電子株式会社
イメージセンサ
1か月前
三星電子株式会社
半導体パッケージ
25日前
三星電子株式会社
帯電装置及び電気集塵装置
1か月前
三星電子株式会社
イメージセンサー及びその動作方法
2日前
三星電子株式会社
イメージセンサー及びその製造方法
1か月前
三星電子株式会社
半導体パッケージ装置及びこの製造方法
10日前
三星電子株式会社
回転磁気アレイ装置及び磁気冷凍システム
6日前
三星電子株式会社
回転磁気アレイ装置及び磁気冷凍システム
6日前
三星電子株式会社
シンプロビジョニングを通じたSSD仮想化
6日前
三星電子株式会社
ハイブリッドピクセル及びハイブリッドセンサ
16日前
三星電子株式会社
半導体装置及びそれを含むデータ格納システム
26日前
三星電子株式会社
トランスフォーマー加速装置およびその動作方法
18日前
三星電子株式会社
ニューロモルフィックコンピューティング装置及びその動作方法
4日前
三星電子株式会社
イメージセンサ、それを含む装置、及びイメージセンサの動作方法
26日前
三星電子株式会社
キャパシタ構造物を含む半導体装置及びこれを含むデータ記憶システム
4日前
三星電子株式会社
化合物、高分子化合物、レジスト組成物、およびレジストパターン形成方法
24日前
三星電子株式会社
熱交換器、この熱交換器を用いた熱交換システム及びこの熱交換器を用いた空気調和機
3日前
三星電子株式会社
組成物、それを利用した金属含有膜の処理方法、及びそれを利用した半導体素子の製造方法
27日前
三星電子株式会社
色分離レンズアレイを具備するイメージセンサ、及びそれを含む電子装置
4日前
エイブリック株式会社
半導体装置
3日前
エイブリック株式会社
半導体装置
1か月前
富士電機株式会社
半導体装置
6日前
富士電機株式会社
半導体装置
1か月前
富士電機株式会社
半導体装置
1か月前
富士電機株式会社
半導体装置
1か月前
富士電機株式会社
半導体装置
1か月前
富士電機株式会社
半導体装置
24日前
三菱電機株式会社
半導体装置
1か月前
AGC株式会社
太陽電池モジュール
9日前
続きを見る
他の特許を見る