TOP
|
特許
|
意匠
|
商標
特許ウォッチ
Twitter
他の特許を見る
10個以上の画像は省略されています。
公開番号
2025137205
公報種別
公開特許公報(A)
公開日
2025-09-19
出願番号
2024036272
出願日
2024-03-08
発明の名称
溶接H形鋼梁及びその製造方法ならびに圧延H形鋼梁及びその製造方法
出願人
JFEスチール株式会社
,
株式会社ヨネモリ
代理人
弁理士法人銀座マロニエ特許事務所
主分類
E04C
3/06 20060101AFI20250911BHJP(建築物)
要約
【課題】スカラップを有するH形鋼梁において、製作効率を向上させると同時に、スカラップ底における応力や歪の集中を低減させて梁端の変形性能を向上させる。
【解決手段】本発明に係るH形鋼梁10は、梁ウエブ11と梁フランジ12とを有する溶接H形鋼梁であって、梁ウエブ11は、他の構造物に接合される一端部で、且つ、梁フランジ12に連なる端部にスカラップ14を有し、梁フランジ12は、他の構造物に接合される一端部に開先25を有し、梁フランジ12の延在方向において、開先肩25aから、梁フランジ12と梁ウエブ11の溶接部位41a,41bの梁ウエブ11の延在方向における両端部のうち、他の構造物に接合される一端部に対して近位側となる端部14dまでの、延在方向における距離をL
b
としたとき、距離L
b
は、以下の(1)式を満足することを特徴としている。
<com:Image com:imageContentCategory="Drawing"> <com:ImageFormatCategory>TIFF</com:ImageFormatCategory> <com:FileName>2025137205000015.tif</com:FileName> <com:HeightMeasure com:measureUnitCode="Mm">13</com:HeightMeasure> <com:WidthMeasure com:measureUnitCode="Mm">159</com:WidthMeasure> </com:Image>
【選択図】図2
特許請求の範囲
【請求項1】
梁ウエブと梁フランジとを有する溶接H形鋼梁であって、
前記梁ウエブは、他の構造物に接合される一端部で、且つ、前記梁フランジに連なる端部にスカラップを有し、
前記梁フランジは、前記他の構造物に接合される一端部に開先を有し、
前記梁フランジの延在方向において、前記開先の肩部から、前記梁フランジと前記梁ウエブの溶接部位の前記梁ウエブの延在方向における両端部のうち、他の構造物に接合される一端部に対して近位側となる端部までの、延在方向における距離をL
b
としたとき、前記距離L
b
は、以下の(1)式を満足することを特徴とする溶接H形鋼梁。
TIFF
2025137205000011.tif
13
159
但し、
記号L:H形鋼梁の延在方向に作用する曲げモーメントの反曲点位置から前記梁フランジに設けた前記開先の肩部までの、当該延在方向における距離
記号B
b
:梁フランジの幅
である。
続きを表示(約 2,100 文字)
【請求項2】
前記溶接H形鋼梁は、前記梁ウエブと前記梁フランジとを溶接接合したものであり、
前記梁フランジの延在方向において、前記スカラップに対面する前記梁ウエブの端面と前記梁フランジの内面との交差部分が、前記梁フランジと前記梁ウエブとの溶接部位の両端部のうち、前記他の構造物に接合される一端部に対して近位側の端部の位置と一致することを特徴とする請求項1に記載の溶接H形鋼梁。
【請求項3】
前記スカラップに対峙する端面と前記梁フランジの内面とが成す角度は、90°以下であることを特徴とする請求項1に記載の溶接H形鋼梁。
【請求項4】
梁ウエブと梁フランジとを有する圧延H形鋼梁であって、
前記梁ウエブは、他の構造物に接合される一端部で、且つ、前記梁フランジに連なる端部にスカラップを有し、
前記梁フランジは、前記他の構造物に接合される一端部に開先を有し、
前記梁フランジの延在方向において、前記開先の肩部から、前記スカラップに対面する前記梁ウエブの端面と前記梁フランジの内面とが交差するスカラップ底までの延在方向における距離をL
b
’としたとき、前記距離L
b
’は、以下の(2)式を満足することを特徴とする圧延H形鋼梁。
TIFF
2025137205000012.tif
13
157
但し、
記号L:H形鋼梁の延在方向に作用する曲げモーメントの反曲点位置から前記梁フランジに設けた前記開先の肩部までの、当該延在方向における距離
記号B
b
:梁フランジの幅
である。
【請求項5】
梁ウエブと梁フランジとを有する溶接H形鋼梁の製造方法であって、
前記梁ウエブは、他の構造物に接合される一端部で、且つ、前記梁フランジに連なる端部にスカラップを有し、
前記梁フランジは、前記他の構造物に接合される一端部に開先を有し、
前記梁フランジの延在方向において、前記開先の肩部から、前記梁フランジと前記梁ウエブの溶接部位の前記梁ウエブの延在方向における両端部のうち、他の構造物に接合される一端部に対して近位側となる端部までの、延在方向における距離をL
b
としたとき、前記距離L
b
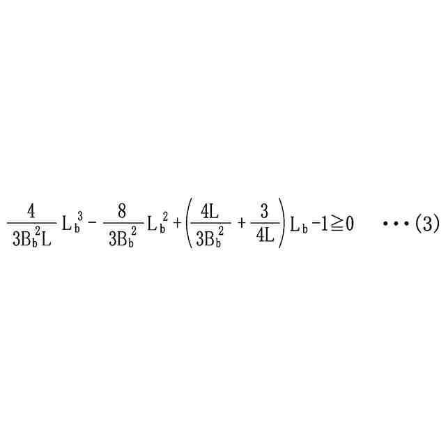
が以下の(3)式を満足するように、前記梁ウエブと前記梁フランジとを生成することを特徴とする溶接H形鋼梁の製造方法。
TIFF
2025137205000013.tif
13
157
但し、
記号L:H形鋼梁の延在方向に作用する曲げモーメントの反曲点位置から前記梁フランジに設けた前記開先の肩部までの、当該延在方向における距離
記号B
b
:梁フランジの幅
である。
【請求項6】
前記梁フランジの延在方向において、前記梁フランジと前記梁ウエブとの溶接部位の両端部のうち、前記他の構造物に接合される一端部に対して近位側に位置する端部が、前記スカラップ底の位置と一致するように、前記梁フランジと前記梁ウエブとを溶接接合することを特徴とする請求項5に記載の溶接H形鋼梁の製造方法。
【請求項7】
前記スカラップに対峙する前記梁ウエブの端面と、前記梁フランジの内面との各々に、溶接範囲を規定する範囲規定部材を突き当てた状態で、前記梁ウエブと前記梁フランジとを溶接接合することを特徴とする請求項5に記載の溶接H形鋼梁の製造方法。
【請求項8】
梁ウエブと梁フランジとを有する圧延H形鋼梁の製造方法であって、
前記梁ウエブは、他の構造物に接合される一端部で、且つ、前記梁フランジに連なる端部にスカラップを有し、
前記梁フランジは、前記他の構造物に接合される一端部に開先を有し、
前記梁フランジの延在方向において、前記開先の肩部から、前記スカラップに対面する前記梁ウエブの端面と前記梁フランジの内面とが交差するスカラップ底までの延在方向における距離をL
b
’としたとき、前記距離L
b
’が以下の(4)式を満足するように、前記梁ウエブと前記梁フランジとを生成することを特徴とする圧延H形鋼梁の製造方法。
TIFF
2025137205000014.tif
14
158
但し、
記号L:H形鋼梁の延在方向に作用する曲げモーメントの反曲点位置から前記梁フランジに設けた前記開先の肩部までの、当該延在方向における距離
記号B
b
:梁フランジの幅
である。
【請求項9】
前記ロール圧延加工により圧延H形鋼梁を生成した後、専用の加工機を用いて前記スカラップ及び前記開先を形成することを特徴とする請求項8に記載の圧延H形鋼梁の製造方法。
発明の詳細な説明
【技術分野】
【0001】
本発明は、溶接H形鋼梁及びその製造方法ならびに圧延H形鋼梁及びその製造方法に関する。
続きを表示(約 1,600 文字)
【背景技術】
【0002】
柱と梁との溶接接合では、梁ウエブの端部にスカラップが形成されたH形鋼梁を、裏当て金を用いて柱に溶接接合するスカラップ工法が一般的に用いられている(特許文献1参照)。スカラップは、溶接H形鋼梁の製造過程において、例えば梁ウエブと梁フランジとを回し溶接するために、梁ウエブの端部に設けられた円弧形状又は半円形状等の切欠きである。このような溶接H形鋼梁を柱に溶接接合した場合、スカラップに対面する梁ウエブの端面と梁フランジの内面との交差部分(以下、スカラップ底と称する)に応力が集中しやすいことがわかっている。
【0003】
近年では、上述したスカラップの形状を、例えば1/4円弧形状とするのではなく、例えば半径35mmの円弧及び半径10mmの円弧など、異なる半径の2つの円弧を組み合わせた複合円弧形状にするとともに、スカラップ底近傍における梁フランジ及び梁ウエブの断面変化を緩やかにすることで、応力及び歪の集中を低減することが考えられている(非特許文献1参照)。
【先行技術文献】
【特許文献】
【0004】
特許第7195081号公報
【非特許文献】
【0005】
鉄骨工事技術指針・工場製作編、第6版、4.8節 スカラップ加工、235-253頁 2018年1月
【発明の概要】
【発明が解決しようとする課題】
【0006】
上述した複合円弧形状のスカラップを有する梁ウエブと、梁フランジとの溶接接合では、回し溶接を施した後にグラインダーなどを用いて回し溶接された部位を梁フランジに対して平滑に切削する作業を行う必要がある。これら作業は、高度な技量を要する作業となり、また、製作に手間がかかるという課題がある。
【0007】
本発明は、上記課題に鑑みてなされたものであり、製作効率を向上させると同時に、スカラップ底における応力や歪の集中を低減させて梁端の変形性能を向上させることが可能なH形鋼梁や、その製造方法について提供することを目的としている。
【課題を解決するための手段】
【0008】
一の観点によるH形鋼梁は、梁ウエブと梁フランジとを有する溶接H形鋼梁であって、梁ウエブは、他の構造物に接合される一端部で、且つ、梁フランジに連なる端部にスカラップを有し、梁フランジは、他の構造物に接合される一端部に開先を有し、梁フランジの延在方向において、開先の肩部から、梁フランジと梁ウエブの溶接部位の梁ウエブの延在方向における両端部のうち、他の構造物に接合される一端部に対して近位側となる端部までの、延在方向における距離をL
b
としたとき、距離L
b
は、以下の(1)式を満足することを特徴としている。
TIFF
2025137205000002.tif
13
159
但し、
記号L:H形鋼梁の延在方向に作用する曲げモーメントの反曲点位置から梁フランジに設けた開先の肩部までの、当該延在方向における距離
記号Bb:梁フランジの幅
である。
【0009】
また、溶接H形鋼梁は、梁ウエブと梁フランジとを溶接接合したものであり、梁フランジの延在方向において、スカラップに対面する梁ウエブの端面と梁フランジの内面との交差部分が、梁フランジと梁ウエブとの溶接部位の両端部のうち、他の構造物に接合される一端部に対して近位側の端部の位置と一致することが好ましい。
【0010】
また、スカラップに対峙する端面と梁フランジの内面とが成す角度は、90°以下であることが好ましい。
(【0011】以降は省略されています)
この特許をJ-PlatPat(特許庁公式サイト)で参照する
関連特許
個人
屋台
12日前
個人
野良猫ハウス
28日前
個人
フェンス
1か月前
個人
転落防止用手摺
22日前
個人
キャチクランプ
4か月前
積水樹脂株式会社
柵体
21日前
個人
筋交自動設定装置
2日前
個人
居住車両用駐車場
1か月前
個人
水害と共にある家
4か月前
個人
地下型マンション
3か月前
ニチハ株式会社
建築板
1か月前
個人
津波と共にある漁港
4か月前
株式会社タナクロ
テント
3か月前
個人
熱抵抗多層断熱建材
29日前
個人
鋼管結合資材
3か月前
個人
壁断熱パネル
3か月前
個人
補強部材
29日前
個人
地滑りと共にある山荘
4か月前
積水樹脂株式会社
フェンス
5か月前
個人
柵
1か月前
個人
パーティション
4か月前
個人
身体用シェルター
2日前
個人
身体用シェルター
2日前
成友建設株式会社
建物
28日前
個人
循環流水式屋根融雪装置
3か月前
鹿島建設株式会社
壁体
1か月前
三協立山株式会社
構造体
2日前
インターマン株式会社
天井構造
1か月前
個人
可搬型供養墓
今日
株式会社オカムラ
ブース
5か月前
株式会社オカムラ
ブース
5か月前
三協立山株式会社
構造体
2日前
三協立山株式会社
構造体
2日前
三協立山株式会社
構造体
3か月前
三協立山株式会社
構造体
2日前
三協立山株式会社
構造体
3か月前
続きを見る
他の特許を見る