TOP
|
特許
|
意匠
|
商標
特許ウォッチ
Twitter
他の特許を見る
10個以上の画像は省略されています。
公開番号
2025080828
公報種別
公開特許公報(A)
公開日
2025-05-27
出願番号
2023194139
出願日
2023-11-15
発明の名称
推定装置、推定モデル生成装置、推定システム、推定方法、推定モデル生成方法及びプログラム
出願人
国立大学法人 筑波大学
代理人
個人
,
個人
,
個人
,
個人
,
個人
主分類
A61B
5/16 20060101AFI20250520BHJP(医学または獣医学;衛生学)
要約
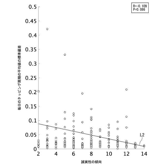
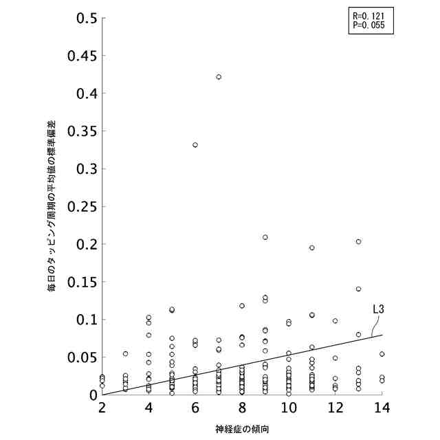
【課題】客観的な指標を用いて対象者の特性等を推定する。
【解決手段】推定システムは、モデル生成部と、検出部と、推定部とを備える。モデル生成部は、タッピング操作に基づいて得られる特徴量の情報と、タッピング操作を行った操作者の特性の情報とを用いて、特徴量と特性との相関関係を推定モデルとして生成する。検出部は、推定対象者のタッピング操作を検出し、検出したタッピング操作に基づいて特徴量を得る。推定部は、モデル生成部が生成した推定モデルを用いて、検出部が検出した特徴量に対応した特性又は心理状態を推定する。
【選択図】図6
特許請求の範囲
【請求項1】
タッピング操作に基づいて得られる特徴量とタッピング操作を行った操作者の特性又は心理状態との相関関係を示す推定モデルを用いて、推定対象者のタッピング操作に基づいて得られた特徴量に対応した特性又は心理状態を推定する推定部、
を備える推定装置。
続きを表示(約 1,200 文字)
【請求項2】
前記特徴量は、1回又は複数回の測定におけるタッピングの周波数又は周期、1回又は複数回の測定におけるタッピングの周波数又は周期の揺らぎ、1回の測定において連続するタッピング間隔同士の差であるタッピング間隔差、1回の測定におけるタッピング間隔差の揺らぎ、複数回の各測定におけるタッピングの周波数、周期又はタッピング間隔差についての揺らぎ、あるいは、複数回の各測定におけるタッピングの周波数、周期又はタッピング間隔差の揺らぎについての揺らぎである、
請求項1に記載の推定装置。
【請求項3】
前記特性は、心理特性、運動能力、社会性、又は、生活リズムである、
請求項1に記載の推定装置。
【請求項4】
タッピング操作に基づいて得られる特徴量の情報と、前記タッピング操作を行った操作者の特性の情報とを用いて、前記特徴量と前記特性との相関関係を表す推定モデルを生成するモデル生成部、
を備える推定モデル生成装置。
【請求項5】
推定対象者のタッピング操作を検出し、検出したタッピング操作に基づいて特徴量を得る検出部と、
タッピング操作に基づいて得られる特徴量とタッピング操作を行った操作者の特性又は心理状態との相関関係を示す推定モデルを用いて、前記検出部が検出した前記特徴量に対応した特性又は心理状態を推定する推定部と、
を備える推定システム。
【請求項6】
タッピング操作に基づいて得られる特徴量の情報と、前記タッピング操作を行った操作者の特性の情報とを用いて、前記特徴量と前記特性との相関関係を表す前記推定モデルを生成するモデル生成部をさらに備える、
請求項5の推定システム。
【請求項7】
前記検出部が検出したタッピング操作の運動リズムが一定に近づくよう誘導するための視覚、聴覚又は触覚により認知可能な刺激を出力する処理部をさらに備える、
請求項5又は6に記載の推定システム。
【請求項8】
タッピング操作に基づいて得られる特徴量とタッピング操作を行った操作者の特性又は心理状態との相関関係を示す推定モデルを用いて、推定対象者のタッピング操作に基づいて得られた特徴量に対応した特性又は心理状態を推定する推定ステップ、
を有する推定方法。
【請求項9】
タッピング操作に基づいて得られる特徴量の情報と、前記タッピング操作を行った操作者の特性の情報とを用いて、前記特徴量と前記特性との相関関係を表す推定モデルを生成する推定モデル生成ステップ、
を有する推定モデル生成方法。
【請求項10】
コンピュータを、
請求項1に記載の推定装置として機能させるためのプログラム。
(【請求項11】以降は省略されています)
発明の詳細な説明
【技術分野】
【0001】
本発明は、推定装置、推定モデル生成装置、推定システム、推定方法、推定モデル生成方法及びプログラムに関する。
続きを表示(約 1,200 文字)
【背景技術】
【0002】
従来、人間の無意識下の行動特性まで診断し、数値化することができる行動特性診断テストを行う技術がある(例えば、特許文献1、2参照)。
【先行技術文献】
【特許文献】
【0003】
特開2020-64691号公報
特開2017-224256号公報
【発明の概要】
【発明が解決しようとする課題】
【0004】
上述した特許文献1、2の技術では、診断対象者が評価用の問題に対して行った主観的な回答を用いて、行動特性分析を行う。しかしながら、対象者は、自分の回答が他人から見られることを意識して必ずしも正直に回答を行なわない場合もある。このような回答に基づく分析は、精度が低下する可能性がある。
【0005】
上記事情に鑑み、本発明は、客観的な指標を用いて対象者の特性等を推定することができる推定装置、推定モデル生成装置、推定システム、推定方法、推定モデル生成方法及びプログラムを提供することを目的としている。
【課題を解決するための手段】
【0006】
本発明の一態様は、タッピング操作に基づいて得られる特徴量とタッピング操作を行った操作者の特性又は心理状態との相関関係を示す推定モデルを用いて、推定対象者のタッピング操作に基づいて得られた特徴量に対応した特性又は心理状態を推定する推定部、を備える推定装置である。
【0007】
本発明の一態様は、上述の推定装置であって、前記特徴量は、1回又は複数回の測定におけるタッピングの周波数又は周期、1回又は複数回の測定におけるタッピングの周波数又は周期の揺らぎ、1回の測定において連続するタッピング間隔同士の差であるタッピング間隔差、1回の測定における前記タッピング間隔差の揺らぎ、複数回の各測定におけるタッピングの周波数、周期又はタッピング間隔差についての揺らぎ、あるいは、複数回の各測定におけるタッピングの周波数、周期又はタッピング間隔差の揺らぎについての揺らぎである。
【0008】
本発明の一態様は、上述の推定装置であって、前記特性は、心理特性、運動能力、社会性、又は、生活リズムである。
【0009】
本発明の一態様は、タッピング操作に基づいて得られる特徴量の情報と、前記タッピング操作を行った操作者の特性の情報とを用いて、前記特徴量と前記特性との相関関係を表す推定モデルを生成するモデル生成部、を備える推定モデル生成装置である。
【0010】
本発明の一態様は、推定対象者のタッピング操作を検出し、検出したタッピング操作に基づいて特徴量を得る検出部と、タッピング操作に基づいて得られる特徴量とタッピング操作を行った操作者の特性又は心理状態との相関関係を示す推定モデルを用いて、前記検出部が検出した前記特徴量に対応した特性又は心理状態を推定する推定部と、を備える推定システムである。
(【0011】以降は省略されています)
特許ウォッチbot のツイートを見る
この特許をJ-PlatPat(特許庁公式サイト)で参照する
関連特許
国立大学法人 筑波大学
制振機構
6日前
国立大学法人 筑波大学
制振機構
6日前
国立大学法人 筑波大学
制振機構
6日前
国立大学法人 筑波大学
表面検査方法
4か月前
国立大学法人 筑波大学
超音波検査装置
1か月前
国立大学法人 東京大学
せん妄判定方法
1か月前
国立大学法人 筑波大学
電力平準化装置
4か月前
国立大学法人 筑波大学
火災検出システム
2日前
国立大学法人 筑波大学
火災検出システム
2日前
国立大学法人 筑波大学
火災検出システム
2日前
国立大学法人 筑波大学
火災検出システム
2日前
国立大学法人 筑波大学
麹菌組織物の製造方法
1か月前
国立大学法人 筑波大学
測定方法、測定装置、及び観察システム
2か月前
国立大学法人 筑波大学
測定装置、観察システム、及び測定方法
2か月前
NTT株式会社
復号装置及び復号方法
2日前
国立大学法人 筑波大学
フィラグリン遺伝子型決定法およびキット
2か月前
国立大学法人 筑波大学
微生物、植物成長補助剤、及び植物の生育方法
3か月前
国立大学法人 筑波大学
オンサイト参加システム及びオンサイト参加方法
2か月前
国立大学法人 筑波大学
補正装置、撮影装置、補正方法および撮影システム
2か月前
NTT株式会社
映像処理装置、方法及びプログラム
6日前
国立大学法人 筑波大学
紙及びその製造方法並びに紙用改質剤及びその製造方法
5か月前
NTT株式会社
推論装置、推論方法、及びプログラム
1か月前
NTT株式会社
情報処理装置、方法およびプログラム
24日前
国立大学法人 筑波大学
慣性力設定装置、慣性力設定システム及び慣性力設定方法
1か月前
NTT株式会社
データ解析装置、方法およびプログラム
24日前
NTT株式会社
情報処理装置、情報処理方法及びプログラム
1か月前
国立大学法人 筑波大学
表面検査装置
3か月前
国立大学法人 筑波大学
反応性スパッタリング方法及び反応性スパッタリングシステム
25日前
国立大学法人 筑波大学
酸素飽和度イメージング内視鏡を用いた潰瘍性大腸炎活動性評価
5か月前
国立大学法人 筑波大学
会計情報解析方法、会計情報解析装置及び会計情報解析プログラム
16日前
株式会社サンワイズ
生体情報生成方法及び生体情報管理システム
5か月前
東洋紡株式会社
ノロウイルス検出用オリゴヌクレオチド及びその用途
2日前
国立大学法人 筑波大学
糸状菌のスクリーニング方法及び糸状菌用培養条件のスクリーニング方法
4か月前
国立大学法人 筑波大学
判定装置、選択装置、判定システム、判定方法、選択方法及びプログラム
5か月前
国立大学法人 筑波大学
ヒト化抗DNAM-1抗体
1か月前
一般財団法人日本気象協会
情報処理装置、情報処理方法、及びプログラム
3か月前
続きを見る
他の特許を見る