TOP
|
特許
|
意匠
|
商標
特許ウォッチ
Twitter
他の特許を見る
10個以上の画像は省略されています。
公開番号
2025169235
公報種別
公開特許公報(A)
公開日
2025-11-12
出願番号
2025075614
出願日
2025-04-30
発明の名称
メイクアップ化粧料除去方法
出願人
花王株式会社
代理人
弁理士法人アルガ特許事務所
主分類
A61K
8/02 20060101AFI20251105BHJP(医学または獣医学;衛生学)
要約
【課題】メイク落とし時の肌のマッサージを極力少なくし、短時間でメイク落としができるメイクアップ化粧料除去方法、及びメイクアップ除去剤を提供すること。
【解決手段】(A)25℃における粘度が40mPa・s以下である油性組成物が、ミスト式ディスペンサーを装着した容器に充填されてなるメイクアップ除去剤を用いるメイクアップ化粧料除去方法であって、
前記容器から吐出された前記油性組成物のミストを皮膚上のメイクアップ化粧料に吹きかけた後、メイクアップ化粧料を除去する、メイクアップ化粧料除去方法。
【選択図】図1
特許請求の範囲
【請求項1】
(A)油性組成物を用いてメイクアップ化粧料を除去する方法であって、
(A)油性組成物は、25℃における粘度が40mPa・s以下であり、
ミスト式ディスペンサーを装着した容器に充填されている(A)油性組組成物を、前記ミスト式ディスペンサーの吐出口から皮膚上のメイクアップ化粧料に吹きかけ、
(A)油性組成物をメイクアップ化粧料に浸透させる、メイクアップ化粧料除去方法。
続きを表示(約 890 文字)
【請求項2】
前記ミスト式ディスペンサーの吐出口から(A)油性組成物を顔に吹きかけた後、肌を擦る工程を含まず、メイクアップ化粧料をふき取る又は水で洗い流す操作でメイクアップ化粧料を除去する請求項1記載のメイクアップ化粧料除去方法。
【請求項3】
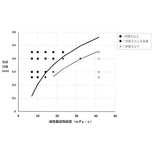
前記ミスト式ディスペンサーの吐出口径が、0.8mm以下である請求項1記載のメイクアップ化粧料除去方法。
【請求項4】
前記油性組成物の25℃における粘度(mPa・s)と前記容器の吐出口径(mm)との関係が、下記式(1)を満たす請求項3記載のメイクアップ化粧料除去方法。
吐出口径(mm)≧0.23×loge(mPa・s)-0.4・・・(1)
【請求項5】
前記油性組成物が、さらに(B)ノニオン性界面活性剤を含有する請求項1記載のメイクアップ化粧料除去方法。
【請求項6】
前記(B)ノニオン性界面活性剤の混合HLBが、9.0以上15.0以下である請求項5記載のメイクアップ化粧料除去方法。
【請求項7】
前記(B)ノニオン性界面活性剤の含有量が、前記油性組成物中0.05質量%以上35質量%以下である請求項5記載のメイクアップ化粧料除去方法。
【請求項8】
前記油性組成物が、さらに(C)水を6質量%以下含有する請求項1記載のメイクアップ化粧料除去方法。
【請求項9】
前記容器が、顔から10cm離して吐出したときに直径10cm以下の円形状にミストが付着するように設計されたミスト式ディスペンサーである請求項1記載のメイクアップ化粧料除去方法。
【請求項10】
メイクアップ除去製品であって、(A)油性組成物と、ミスト式ディスペンサーを装着した容器を備え、前記(A)油性組成物は25℃における粘度が40mPa・s以下であって、前記(A)油性組成物が前記容器に充填されており、前記ミスト式ディスペンサーは、ポンプ式である、メイクアップ除去製品。
(【請求項11】以降は省略されています)
発明の詳細な説明
【技術分野】
【0001】
本発明は、メイクアップ化粧料除去方法及びメイクアップ除去剤に関する。
続きを表示(約 2,300 文字)
【背景技術】
【0002】
近年、マスク生活が続き、擦れなどに強く落ちにくいとされる持続性の高いメイクアップ化粧料を選択する人が増えている。持続性の高いメイクアップ化粧料とは、固体脂を固定化剤として利用しているウォータープルーフタイプのマスカラや、トリメチルシロキシケイ酸などのシリコーンレジンを被膜化剤として用いたファンデーションや化粧下地、UVケア品のことを指す。一方で、肌を擦らずに大切にしたいという消費者意識の増加がみられていることから肌への負担が少ないメイク落とし(メイクアップ除去剤)が求められている。メイクアップ化粧料を除去するには、メイク落としを手に取り顔に塗り広げ、くるくるとなじませることによりメイク落としとメイクアップ化粧料を十分に混合した後、ふき取るか又は洗い流すことにより使用される(非特許文献1)。
【先行技術文献】
【非特許文献】
【0003】
J.Soc.Cosmet.Chem.Japan,vol3,193-201(1991)
【発明の概要】
【発明が解決しようとする課題】
【0004】
しかしながら、メイクアップ化粧料が肌上に残ると肌にとっては良くないという考えのもとに、消費者の大半はメイクアップ化粧料とメイクアップ除去剤を長時間、強い力でなじませる傾向があり、洗浄力と擦らずに落とすことの両立が課題となっていた。
従って、本発明の課題は、メイク落とし時の肌への物理的負担を極力少なくし、短時間で持続性の高いメイクアップ化粧料を落とすことができるメイクアップ化粧料除去方法、及びメイクアップ除去剤を提供することにある。
【課題を解決するための手段】
【0005】
そこで本発明者らは、前記課題を解決すべく検討したところ、ミスト式ディスペンサーを装着した容器に低粘度の油性組成物を充填したメイクアップ除去剤を用い、当該容器から前記油性組成物を皮膚上のメイクアップ化粧料に直接吐出すれば、ミスト状に吐出された前記油性組成物がメイクアップ化粧料の所定の領域に均一に付着し、メイクアップ化粧料と速やかになじみ、メイクアップ化粧料を皮膚から浮かすことができるため、従来よりも皮膚に負担のかからない操作と少量のメイクアップ除去剤でメイクアップ化粧料が除去できることを見出して本発明を完成した。
ここで本発明におけるミスト式ディスペンサーを装着した容器に充填されてなるメイクアップ除去剤(「メイクアップ除去製品」ともいう)とは、ノンエアゾールタイプのミスト式ディスペンサーに油性組成物が充填されたメイクアップ除去剤のことを指し、エアゾールタイプは含まない。エアゾールタイプは、残量が見えない、廃棄が面倒などの点から、消費者の手に取られにくい剤型だからである。一方で、内容液に水系組成物を入れた場合、ウォータープルーフ、耐水性、持続性をうたうメイクアップ化粧料には、高融点のワックスや油溶性の被膜形成剤が配合されているため、十分に落とすことができず、目的を達することができない。
【0006】
すなわち、本発明は、(A)25℃における粘度が40mPa・s以下である油性組成物が、ミスト式ディスペンサーを装着した容器に充填されてなるメイクアップ除去剤を用いるメイクアップ化粧料除去方法であって、
前記容器から吐出された前記油性組成物のミストを皮膚上のメイクアップ化粧料に吹きかけた後、メイクアップ化粧料を除去する、メイクアップ化粧料除去方法を提供するものである。
また、本発明は、(A)25℃における粘度が40mPa・s以下である油性組成物が、ミスト式ディスペンサーを装着した容器に充填されてなるメイクアップ除去剤であって、
前記容器から吐出された前記油性組成物のミストを皮膚上のメイクアップ化粧料に吹きかけた後、メイクアップ化粧料を除去するのに使用されるメイクアップ除去剤を提供するものである。
【0007】
ここで本発明におけるミスト式ディスペンサーとは、一般的にはスプレーディスペンサーであって、ピストンとシリンダー等の押出機構、好ましくはポンプ機構を備えており、容器に充填されている油性組成物を押出機構を用いてミスト式ディスペンサーが備える吐出口まで圧送する流路を備え、吐出口まで圧送された油性組成物は、吐出口から霧状に吐出されるものを意味する。なお、霧状とは、吐出口から噴出される複数の細かい液滴を意味する。
【発明の効果】
【0008】
本発明のメイクアップ化粧料除去方法及びメイクアップ除去剤によれば、ミスト式ディスペンサーを装着した容器から皮膚上のメイクアップ化粧料に直接ミストとして吐出された低粘度の油性組成物が手を使わずともメイクアップ化粧料の所定の領域に均一に付着し、皮膚上のメイクアップ化粧料と容易になじみ、速やかに浮かすことができる。よって、肌への摩擦による負担を抑えながら、短時間でメイクアップ化粧料が除去でき、さらに塗布時に手やコットンを介さなくてもよいため、少量のメイクアップ除去剤の使用でメイクアップ化粧料が除去できる。
【図面の簡単な説明】
【0009】
油性組成物の粘度とミスト式ディスペンサー容器の吐出口径の関係が霧状態に及ぼす影響を示す図である。
【発明を実施するための形態】
【0010】
本明細書において使用される用語は、特に言及する場合を除いて、当該分野で通常用いられる意味で使用される。
(【0011】以降は省略されています)
この特許をJ-PlatPat(特許庁公式サイト)で参照する
関連特許
花王株式会社
袋体
1か月前
花王株式会社
組立体
2か月前
花王株式会社
包装容器
16日前
花王株式会社
製函装置
1か月前
花王株式会社
吐出容器
1か月前
花王株式会社
吐出容器
1か月前
花王株式会社
清掃用具
1か月前
花王株式会社
放散装置
2か月前
花王株式会社
固形食品
1か月前
花王株式会社
固形食品
2か月前
花王株式会社
泡吐出容器
1か月前
花王株式会社
乳化化粧料
25日前
花王株式会社
油性化粧料
1か月前
花王株式会社
吸収性物品
2か月前
花王株式会社
吸収性物品
2か月前
花王株式会社
吸収性物品
2か月前
花王株式会社
容器組立体
3か月前
花王株式会社
油性化粧料
1か月前
花王株式会社
吸収性物品
2か月前
花王株式会社
乳化化粧料
4日前
花王株式会社
乳化化粧料
1か月前
花王株式会社
乳化化粧料
1か月前
花王株式会社
毛髪洗浄剤
1か月前
花王株式会社
パウチ容器
3か月前
花王株式会社
固形入浴剤
3か月前
花王株式会社
皮膚洗浄料
16日前
花王株式会社
洗浄剤組成物
24日前
花王株式会社
剥離剤組成物
2か月前
花王株式会社
吸収性パッド
2か月前
花王株式会社
練歯磨組成物
27日前
花王株式会社
防錆剤組成物
2か月前
花王株式会社
抗菌剤組成物
1か月前
花王株式会社
口腔用組成物
2か月前
花王株式会社
口腔用組成物
2か月前
花王株式会社
防錆剤組成物
2か月前
花王株式会社
洗浄剤組成物
24日前
続きを見る
他の特許を見る