TOP
|
特許
|
意匠
|
商標
特許ウォッチ
Twitter
他の特許を見る
公開番号
2025155395
公報種別
公開特許公報(A)
公開日
2025-10-14
出願番号
2024059208
出願日
2024-04-01
発明の名称
共重合体、エポキシ樹脂用硬化剤、及び銅張積層板用硬化物
出願人
デンカ株式会社
代理人
SK弁理士法人
,
個人
,
個人
主分類
C08F
222/04 20060101AFI20251006BHJP(有機高分子化合物;その製造または化学的加工;それに基づく組成物)
要約
【課題】 本発明は、硬化物の低誘電性及び耐熱性を向上させることが可能な共重合体を提供することを課題とする。
【解決手段】 本発明の一態様は、酸無水物単量体単位と、マレイミド系単量体単位とを含む共重合体である。上述の共重合体中に残存するアミン化合物の含有量は、3000ppm以下である。
【選択図】 なし
特許請求の範囲
【請求項1】
酸無水物単量体単位と、マレイミド系単量体単位とを含む共重合体であって、
前記共重合体中に残存するアミン化合物の含有量が3000ppm以下である、共重合体。
続きを表示(約 770 文字)
【請求項2】
前記アミン化合物が、以下式(1)で表される第1級アミンを含み、
JPEG
2025155395000007.jpg
8
53
式(1)中、Rはアルキル基である、請求項1に記載の共重合体。
【請求項3】
前記アミン化合物がシクロヘキシルアミンを含む、請求項1に記載の共重合体。
【請求項4】
前記アミン化合物の含有量が10~3000ppmである、請求項1に記載の共重合体。
【請求項5】
炭化水素系単量体単位(但し、スチレン単量体単位を除く)をさらに含む、請求項1に記載の共重合体。
【請求項6】
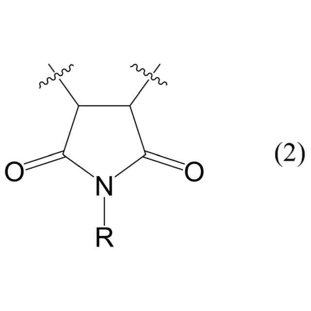
前記マレイミド系単量体単位が、以下の式(2)で表され、
JPEG
2025155395000008.jpg
58
128
式(2)中、Rはアルキル基である、請求項1に記載の共重合体。
【請求項7】
前記マレイミド系単量体単位が、N-シクロヘキシルマレイミド単位である、請求項6に記載の共重合体。
【請求項8】
前記共重合体100質量%において、前記酸無水物単量体単位を2~25質量%、前記マレイミド系単量体単位を2~50質量%、炭化水素系単量体単位(但し、スチレン単量体単位を除く)を5~50質量%、スチレン単量体単位を0~40質量%含む、請求項1に記載の共重合体。
【請求項9】
重量平均分子量が5万以下である、請求項1に記載の共重合体。
【請求項10】
重量平均分子量をMw、数平均分子量をMnとした場合、Mw/Mnが1.5~3.5である、請求項1に記載の共重合体。
(【請求項11】以降は省略されています)
発明の詳細な説明
【技術分野】
【0001】
本発明は、共重合体、エポキシ樹脂用硬化剤、及び銅張積層板用硬化物に関する。
続きを表示(約 2,000 文字)
【背景技術】
【0002】
回路を構成する電子部品同士の電気的な接続/絶縁、部品の機械的な配置/固定をするプリント基板として、銅張積層板(CCL:Copper Clad Laminate)が知られている。CCLは、ガラスファイバーにエポキシ樹脂又はポリフェニレンエーテル樹脂と反応性硬化剤とを含有する熱硬化性樹脂組成物を含浸させて、半硬化状態の樹脂シートであるプリプレグを得て、このプリプレグの両面を銅箔で挟んだものを複数枚重ね、加熱圧着して得られるものである。
【0003】
反応性硬化剤としては、誘電体損失が小さいことからスチレン-無水マレイン酸共重合体(SMA)が用いられることが多い。また、反応性硬化剤としてスチレン(St)-無水マレイン酸(MAH)-Nフェニルマレイミド(NPMI)共重合体が使用可能であることも知られている(特許文献1~2)。
【先行技術文献】
【特許文献】
【0004】
特開2020-169276号公報
特開2009-197242号公報
【発明の概要】
【発明が解決しようとする課題】
【0005】
近年、信号の高周波化に伴い、基板材料の低誘電正接化のニーズが高まっている。また、樹脂シートを銅箔と張り合わせるため、高温で寸法差が生じ、反り等が起きる場合がある。
【0006】
本発明は、このような事情に鑑みてなされたものであり、硬化物の低誘電性及び耐熱性を向上させることが可能な共重合体を提供することを目的とする。
【課題を解決するための手段】
【0007】
本発明者らが鋭意検討を行ったところ、共重合体のモノマーとして特定の成分を採用し、かつ共重合体中の残存化合物を特定量とすることで、上記の課題を解決できることを見出し、本発明を完成させた。
【0008】
本発明によれば、以下が提供される。
[1]酸無水物単量体単位と、マレイミド系単量体単位とを含む共重合体であって、上記共重合体中に残存するアミン化合物の含有量が3000ppm以下である、共重合体。
[2]上記アミン化合物が、以下式(1)で表される第1級アミンを含み、
JPEG
2025155395000001.jpg
9
53
式(1)中、Rはアルキル基である、[1]に記載の共重合体。
[3]上記アミン化合物がシクロヘキシルアミンを含む、[1]又は[2]に記載の共重合体。
[4]上記アミン化合物の含有量が10~3000ppmである、[1]~[3]のいずれかに記載の共重合体。
[5]炭化水素系単量体単位(但し、スチレン単量体単位を除く)をさらに含む、[1]~[4]のいずれかに記載の共重合体。
[6]上記マレイミド系単量体単位が、以下の式(2)で表され、
JPEG
2025155395000002.jpg
58
128
式(2)中、Rはアルキル基である、[1]~[5]のいずれかに記載の共重合体。
[7]上記マレイミド系単量体単位が、N-シクロヘキシルマレイミド単位である、[1]~[6]のいずれかに記載の共重合体。
[8]上記共重合体100質量%において、上記酸無水物単量体単位を2~25質量%、上記マレイミド系単量体単位を2~50質量%、炭化水素系単量体単位(但し、スチレン単量体単位を除く)を5~50質量%、スチレン単量体単位を0~40質量%含む、[1]~[7]のいずれかに記載の共重合体。
[9]重量平均分子量が5万以下である、[1]~[8]のいずれかに記載の共重合体。
[10]重量平均分子量をMw、数平均分子量をMnとした場合、Mw/Mnが1.5~3.5である、[1]~[9]のいずれかに記載の共重合体。
[11][1]~[10]のいずれかに記載の共重合体を含む、エポキシ樹脂用硬化剤。
[12][11]に記載のエポキシ樹脂用硬化剤と、エポキシ樹脂とを含む、銅張積層板用硬化物。
【発明の効果】
【0009】
本発明によれば、硬化物の低誘電性及び耐熱性を向上させることが可能な共重合体を提供することができる。
【発明を実施するための形態】
【0010】
以下、本発明について、詳細に説明する。本発明は、これらの記載に限定されるものではない。以下に示す実施形態の各特徴事項は、互いに組み合わせ可能である。また、各特徴事項について独立して発明が成立する。さらに、以下の実施形態のうち、特許請求の範囲で規定されていない要素は、任意の要素であるので、省略可能である。
(【0011】以降は省略されています)
この特許をJ-PlatPat(特許庁公式サイト)で参照する
関連特許
デンカ株式会社
窒化ケイ素粉末
1か月前
デンカ株式会社
窒化ケイ素粉末
1か月前
デンカ株式会社
窒化ケイ素粉末
1か月前
デンカ株式会社
繊維束、及び布
1か月前
デンカ株式会社
重合体粒子の製造方法
1か月前
デンカ株式会社
摩擦力可変体及び吸着具
19日前
デンカ株式会社
放熱部材および電子装置
1か月前
デンカ株式会社
放熱部材および電子装置
1か月前
デンカ株式会社
シート及び食品包装容器
1か月前
デンカ株式会社
窒化ケイ素粉末の製造方法
1か月前
デンカ株式会社
耐熱付与材及び樹脂組成物
28日前
デンカ株式会社
蛍光体、及びインク組成物
1か月前
デンカ株式会社
積層シート及び食品包装容器
1か月前
デンカ株式会社
セラミックス粉末の製造方法
1か月前
デンカ株式会社
樹脂組成物および複合材料セット
19日前
デンカ株式会社
樹脂組成物および複合材料セット
19日前
デンカ株式会社
窒化ホウ素粉末、及び樹脂成形体
1か月前
デンカ株式会社
窒化ホウ素粉末、及び樹脂成形体
1か月前
デンカ株式会社
容器の製造方法及び容器の製造装置
29日前
デンカ株式会社
窒化ケイ素粉末、及びその製造方法
1か月前
デンカ株式会社
窒化ケイ素粉末、及びその製造方法
1か月前
デンカ株式会社
無機粉末及びそれを用いた樹脂組成物
19日前
デンカ株式会社
バッテリー被覆用パテ、及びバッテリー
8日前
デンカ株式会社
アルミナ粉末、無機粉末および樹脂組成物
14日前
デンカ株式会社
アルミナ粉末、無機粉末および樹脂組成物
14日前
デンカ株式会社
アルミナ粉末、無機粉末および樹脂組成物
14日前
デンカ株式会社
真贋判定システム、真贋判定方法、及び、印刷層
19日前
デンカ株式会社
窒化ケイ素粉末、及び窒化ケイ素焼結体の製造方法
1か月前
デンカ株式会社
バッテリー用耐火ウレタンフォーム、及びバッテリー
12日前
デンカ株式会社
複合粉体、複合粉体の製造方法及び乾式電極の製造方法
1か月前
デンカ株式会社
共重合体、エポキシ樹脂用硬化剤、及び銅張積層板用硬化物
1か月前
デンカ株式会社
共重合体、エポキシ樹脂用硬化剤、及び銅張積層板用硬化物
1か月前
デンカ株式会社
熱電変換用p型材料及びその製造方法、並びに熱電変換素子
19日前
デンカ株式会社
モルタル材料
1か月前
デンカ株式会社
セラミック板及びその製造方法、回路基板、並びにパワーモジュール
27日前
デンカ株式会社
光電変換素子用封止材、ダム材、およびダム材を用いた装置の製造方法
27日前
続きを見る
他の特許を見る