TOP
|
特許
|
意匠
|
商標
特許ウォッチ
Twitter
他の特許を見る
10個以上の画像は省略されています。
公開番号
2025151157
公報種別
公開特許公報(A)
公開日
2025-10-09
出願番号
2024052433
出願日
2024-03-27
発明の名称
着色剤分散液、着色硬化性組成物、カラーフィルタ、及び表示装置
出願人
住友化学株式会社
代理人
弁理士法人アスフィ国際特許事務所
主分類
C09B
67/46 20060101AFI20251002BHJP(染料;ペイント;つや出し剤;天然樹脂;接着剤;他に分類されない組成物;他に分類されない材料の応用)
要約
【課題】本発明は、特定のフェノキシ置換フタロシアニン系着色剤について、異物の発生を抑制することが可能な着色剤分散液を提供することを課題とする。
【解決手段】本発明は、着色剤、分散剤、樹脂及び溶剤を含有し、着色剤が、式(1)で表される化合物を含み、樹脂が、不飽和カルボン酸及び不飽和カルボン酸無水物からなる群から選ばれる少なくとも一種に由来する構造単位を含む樹脂であり、Fedors法から求められる溶剤のSP値が8.8未満であり、実質的に、重合性化合物及び重合開始剤を含まない着色剤分散液に関する。
【選択図】なし
特許請求の範囲
【請求項1】
着色剤、分散剤、樹脂及び溶剤を含有し、
着色剤が、式(1)で表される化合物を含み、
樹脂が、不飽和カルボン酸及び不飽和カルボン酸無水物からなる群から選ばれる少なくとも一種に由来する構造単位を含む樹脂であり、
Fedors法から求められる溶剤のSP値が8.8未満であり、
実質的に、重合性化合物及び重合開始剤を含まない着色剤分散液。
TIFF
2025151157000013.tif
84
109
[式(1)中、
A
1
、A
4
、A
5
、A
8
、A
9
、A
12
、A
13
、及びA
16
は、各々独立に、水素原子又はハロゲン原子を表し、
A
2
、A
3
、A
6
、A
7
、A
10
、A
11
、A
14
、及びA
15
は、各々独立に、水素原子、ハロゲン原子、又は下記式(2)で表される基を表し、A
2
、A
3
、A
6
、A
7
、A
10
、A
11
、A
14
、及びA
15
の少なくとも1つは下記式(2)で表される基を表す。]
TIFF
2025151157000014.tif
23
81
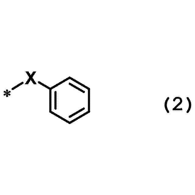
[式(2)中、
Xは-O-、-S-又は-NR-(Rは水素原子又は炭化水素基を表す)を表し、式(2)で表される基はハロゲン原子を除く置換基を有していてもよい。]
続きを表示(約 370 文字)
【請求項2】
樹脂が、酸価90mgKOH/g以上200mgKOH/g以下、重量平均分子量6000以上50000以下を有する請求項1に記載の着色剤分散液。
【請求項3】
溶剤がグリコールアルキルエーテル及びグリコールアルキルエーテルアセテートからなる群より選択される請求項1に記載の着色剤分散液。
【請求項4】
分散剤の含有量が、着色剤100質量部に対して5質量部以上である請求項1に記載の着色剤分散液。
【請求項5】
請求項1~4のいずれかに記載の着色剤分散液、重合性化合物及び重合開始剤を含有する着色硬化性組成物。
【請求項6】
請求項5に記載の着色硬化性組成物から形成されるカラーフィルタ。
【請求項7】
請求項6に記載のカラーフィルタを含む表示装置。
発明の詳細な説明
【技術分野】
【0001】
本発明は、着色剤分散液、着色硬化性組成物、カラーフィルタ、及び表示装置に関するものである。
続きを表示(約 3,800 文字)
【背景技術】
【0002】
着色剤としてフタロシアニン系着色剤はよく知られており、またフタロシアニンのイソインドール環にフェノキシ基が置換した着色剤(以下、フェノキシ置換フタロシアニン系着色剤という)も知られている。例えば、フェノキシ置換フタロシアニン系着色剤を、ジメチルホルムアミド(SP値12)などに溶解して着色剤濃度2.4%程度の溶解系の着色分散液にする技術(特許文献1)が知られている。また、同様の着色剤と溶剤の組み合わせで着色剤濃度10%程度の分散系の着色分散液とする技術(特許文献2)も知られている。しかし、いずれも、異物が発生するという問題がある。
【先行技術文献】
【特許文献】
【0003】
特開2014-125460号公報
国際公開第2022/024876号
【発明の概要】
【発明が解決しようとする課題】
【0004】
以上の様に、フェノキシ置換フタロシアニン系着色剤の濃度を高めることができる技術は知られておらず、かつ濃度を高めても異物の発生を抑制できる技術も知られていなかった。
よって、本願は、特定のフェノキシ置換フタロシアニン系着色剤について、異物の発生を抑制することが可能な着色剤分散液を提供することを課題とする。
【課題を解決するための手段】
【0005】
すなわち、本発明の要旨は以下の通りである。
[1]着色剤、分散剤、樹脂及び溶剤を含有し、
着色剤が、式(1)で表される化合物を含み、
樹脂が、不飽和カルボン酸及び不飽和カルボン酸無水物からなる群から選ばれる少なくとも一種に由来する構造単位を含む樹脂であり、
Fedors法から求められる溶剤のSP値が8.8未満であり、
実質的に、重合性化合物及び重合開始剤を含まない着色剤分散液。
TIFF
2025151157000001.tif
94
121
[式(1)中、
A
1
、A
4
、A
5
、A
8
、A
9
、A
12
、A
13
、及びA
16
は、各々独立に、水素原子又はハロゲン原子を表し、
A
2
、A
3
、A
6
、A
7
、A
10
、A
11
、A
14
、及びA
15
は、各々独立に、水素原子、ハロゲン原子、又は下記式(2)で表される基を表し、A
2
、A
3
、A
6
、A
7
、A
10
、A
11
、A
14
、及びA
15
の少なくとも1つは下記式(2)で表される基を表す。]
TIFF
2025151157000002.tif
26
90
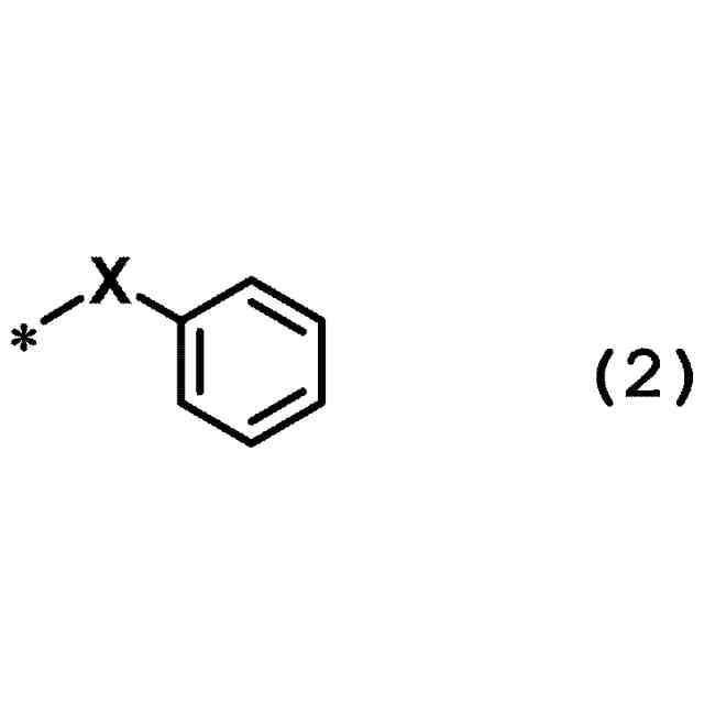
[式(2)中、
Xは-O-、-S-又は-NR-(Rは水素原子又は炭化水素基を表す)を表し、式(2)で表される基はハロゲン原子を除く置換基を有していてもよい。]
[2]樹脂が、酸価90mgKOH/g以上200mgKOH/g以下、重量平均分子量6000以上50000以下を有する[1]に記載の着色剤分散液。
[3]溶剤がグリコールアルキルエーテル及びグリコールアルキルエーテルアセテートからなる群より選択される[1]又は[2]に記載の着色剤分散液。
[4]分散剤の含有量が、着色剤100質量部に対して5質量部以上である[1]~[3]のいずれかに記載の着色剤分散液。
[5][1]~[4]のいずれかに記載の着色剤分散液、重合性化合物及び重合開始剤を含有する着色硬化性組成物。
[6][5]に記載の着色硬化性組成物から形成されるカラーフィルタ。
[7][6]に記載のカラーフィルタを含む表示装置。
【発明の効果】
【0006】
本発明の着色剤分散液によれば、フェノキシ置換フタロシアニン系着色剤を低濃度で分散させても高濃度で分散させても異物の発生を抑制できる。
【発明を実施するための形態】
【0007】
<着色剤分散液>
本発明の着色剤分散液は、着色剤(以下、着色剤(A)という場合がある)、分散剤、樹脂(以下、樹脂(B)という場合がある)、及び溶剤(E)を含有し、実質的に、重合性化合物(以下、重合性化合物(C)という場合がある)及び重合開始剤(以下、重合開始剤(D)という場合がある)を含まない。
なお、本明細書において、各成分として例示する化合物は、特に断りのない限り、単独で又は複数種を組み合わせて使用することができる。
【0008】
<着色剤(A)>
着色剤(A)は、式(1)で表される化合物(化合物(1)ともいいます。)を含む。式(1)で表される化合物は、1種又は2種以上であってもよい。
【0009】
TIFF
2025151157000003.tif
81
105
[式(1)中、
A
1
、A
4
、A
5
、A
8
、A
9
、A
12
、A
13
、及びA
16
は、各々独立に、水素原子又はハロゲン原子を表し、
A
2
、A
3
、A
6
、A
7
、A
10
、A
11
、A
14
、及びA
15
は、各々独立に、水素原子、ハロゲン原子、又は下記式(2)で表される基を表し、A
2
、A
3
、A
6
、A
7
、A
10
、A
11
、A
14
、及びA
15
の少なくとも1つは下記式(2)で表される基を表す。]
TIFF
2025151157000004.tif
23
79
[式(2)中、
Xは-O-、-S-又は-NR-(Rは水素原子又は炭化水素基を表す)を表し、式(2)で表される基はハロゲン原子を除く置換基を有していてもよい。]
【0010】
式(1)において、A
1
~A
16
で表されるハロゲン原子として、塩素原子、フッ素原子、臭素原子、及びヨウ素原子が挙げられる。中でも、A
1
、A
4
、A
5
、A
8
、A
9
、A
12
、A
13
、及びA
16
の少なくとも1つがハロゲン原子を表すことが好ましく、A
1
、A
4
、A
5
、A
8
、A
9
、A
12
、A
13
、及びA
16
の少なくとも2つがハロゲン原子を表すことがより好ましく、A
1
、A
4
、A
5
、A
8
、A
9
、A
12
、A
13
、及びA
16
の少なくとも4つがハロゲン原子を表すことがさらに好ましく、A
1
、A
4
、A
5
、A
8
、A
9
、A
12
、A
13
、及びA
16
の少なくとも6つがハロゲン原子を表すことがさらにより好ましく、A
1
、A
4
、A
5
、A
8
、A
9
、A
12
、A
13
、及びA
16
は、ハロゲン原子であることが特に好ましい。
A
1
~A
16
においてハロゲン原子が複数存在する場合、ハロゲン原子は、異なっていてもよく同じであってもよく、同一であることが好ましい。
A
1
~A
16
で表されるハロゲン原子は、塩素原子、又はフッ素原子であることが好ましく、フッ素原子であることがより好ましい。
(【0011】以降は省略されています)
この特許をJ-PlatPat(特許庁公式サイト)で参照する
関連特許
住友化学株式会社
積層体
2日前
住友化学株式会社
樹脂組成物
9日前
住友化学株式会社
体液に由来する試料
13日前
住友化学株式会社
積層体および表示装置
2日前
住友化学株式会社
膜エレメントの製造方法
3日前
住友化学株式会社
偏光板及び画像表示装置
4日前
住友化学株式会社
装置、方法及びプログラム
3日前
住友化学株式会社
粘着剤組成物および粘着剤層
3日前
住友化学株式会社
複合偏光板及び画像表示装置
11日前
住友化学株式会社
着色剤及び着色硬化性樹脂組成物
10日前
住友化学株式会社
リサイクル正極活物質の製造方法
3日前
住友化学株式会社
リサイクル正極活物質の製造方法
3日前
住友化学株式会社
リサイクル正極活物質の製造方法
3日前
住友化学株式会社
偏光板およびこれを含む円偏光板
4日前
住友化学株式会社
リサイクル正極活物質の製造方法
3日前
住友化学株式会社
リサイクル正極活物質の製造方法
3日前
住友化学株式会社
リサイクル正極活物質の製造方法
3日前
住友化学株式会社
リサイクル正極活物質の製造方法
3日前
住友化学株式会社
リサイクル正極活物質の製造方法
3日前
住友化学株式会社
液晶性高分子膜及びその製造方法
2日前
住友化学株式会社
リサイクル正極活物質の製造方法
3日前
住友化学株式会社
リサイクル正極活物質の製造方法
3日前
住友化学株式会社
リサイクル正極活物質の製造方法
3日前
住友化学株式会社
リサイクル正極活物質の製造方法
3日前
住友化学株式会社
リサイクル正極活物質の製造方法
2日前
住友化学株式会社
リサイクル正極活物質の製造方法
3日前
住友化学株式会社
液晶ポリエステル組成物及びフィルム
5日前
住友化学株式会社
非水電解液二次電池用積層セパレータ
13日前
住友化学株式会社
アルミニウム加工材およびその製造方法
3日前
住友化学株式会社
複素環化合物を用いる有害節足動物防除方法
9日前
住友化学株式会社
レジスト組成物及びレジストパターンの製造方法
9日前
住友化学株式会社
除草剤耐性作物の栽培地における雑草の防除方法
23日前
住友化学株式会社
着色硬化性樹脂組成物、カラーフィルタ及び表示装置
9日前
住友化学株式会社
化合物、組成物、インク、光電変換素子、及び光センサー
2日前
住友化学株式会社
レジスト組成物及びレジストパターンの製造方法並びに化合物
9日前
住友化学株式会社
レジスト組成物及びレジストパターンの製造方法並びに化合物
9日前
続きを見る
他の特許を見る