TOP
|
特許
|
意匠
|
商標
特許ウォッチ
Twitter
他の特許を見る
10個以上の画像は省略されています。
公開番号
2025146770
公報種別
公開特許公報(A)
公開日
2025-10-03
出願番号
2025043875
出願日
2025-03-18
発明の名称
レジスト組成物及びレジストパターンの製造方法並びに化合物
出願人
住友化学株式会社
代理人
弁理士法人新樹グローバル・アイピー
主分類
G03F
7/004 20060101AFI20250926BHJP(写真;映画;光波以外の波を使用する類似技術;電子写真;ホログラフイ)
要約
【課題】良好なラインエッジラフネスのレジストパターンを製造し得る化合物、レジスト組成物等を提供することを目的とする。
【解決手段】式(I)で表される化合物、レジスト組成物等。
<com:Image com:imageContentCategory="Drawing"> <com:ImageFormatCategory>TIFF</com:ImageFormatCategory> <com:FileName>2025146770000185.tif</com:FileName> <com:HeightMeasure com:measureUnitCode="Mm">34</com:HeightMeasure> <com:WidthMeasure com:measureUnitCode="Mm">131</com:WidthMeasure> </com:Image> [式中、R
5A
及びR
5B
はそれぞれ-X
2
-R
10
等、X
2
は-CO-O-、-O-CO-O-等、R
10
は置換基を有してもよい酸安定炭化水素基;L
1A
、L
1B
、L
2
及びL
3
はそれぞれ単結合又は置換/非置換のアルカンジイル基;X
3
は-O-、-CO-等;Ar
1
及びAr
2
はそれぞれ芳香族炭化水素基;R
3
及びR
6
はそれぞれハロゲン原子、ハロアルキル基又は炭化水素基;m2は1~6、m3、m6は0~5、但し、1≦(m3+m6)≦10、式(I)の化合物は、1以上のハロゲン原子を有する、m4、m5は0~5、但し、1≦(m4+m5)≦10である。]
【選択図】なし
特許請求の範囲
【請求項1】
式(I)で表される化合物を含有するレジスト組成物。
TIFF
2025146770000174.tif
34
130
[式(I)中、
R
5A
及びR
5B
は、それぞれ独立に、-X
2
-R
10
又は-X
1
-L
10
-X
2
-R
10
を表す。
X
1
は、*-CO-O-、*-O-CO-、*-O-CO-O-又は*-O-(但し、*は、L
1A
もしくはAr
1
との結合部位又はL
1B
もしくはAr
2
との結合部位を表す。)を表す。
X
2
は、*-CO-O-、*-O-CO-、*-O-CO-O-又は*-O-(但し、*は、L
1A
、Ar
1
もしくはL
10
との結合部位又はL
1B
、Ar
2
もしくはL
10
との結合部位を表す。)を表す。
L
10
は、置換基を有してもよい炭素数1~28の炭化水素基を表し、該炭化水素基に含まれる-CH
2
-は、-O-、-S-、-SO
2
-、-SO-、-NR
7
-又は-CO-に置き換わっていてもよい。
R
7
は、水素原子又は炭素数1~6のアルキル基を表す。
R
10
は、置換基を有してもよい酸安定炭化水素基を表す。
L
1A
、L
1B
、L
2
及びL
3
は、それぞれ独立に、単結合又は置換基を有してもよい炭素数1~6のアルカンジイル基を表す。
X
3
は、-O-、-CO-、-S-、-SO-、-SO
2
-、-NR
7
-又はこれらを組み合わせた基を表す。
Ar
1
及びAr
2
は、それぞれ独立に、炭素数6~18の芳香族炭化水素基を表す。
m2は、1~6のいずれかの整数を表し、m2が2以上のとき、複数の括弧内の基はそれぞれ互いに同一であっても異なってもよい。
R
3
及びR
6
は、それぞれ独立に、ハロゲン原子、炭素数1~12のハロアルキル基又は炭素数1~48の炭化水素基を表し、該炭化水素基は、置換基を有してもよく、該ハロアルキル基及び該炭化水素基に含まれる-CH
続きを表示(約 4,800 文字)
【請求項2】
L
1A
、L
1B
、L
2
及びL
3
は、それぞれ独立に、単結合又はハロゲン原子を有してもよい炭素数1~4のアルカンジイル基である請求項1に記載のレジスト組成物。
【請求項3】
m3が1以上の整数であり、R
3
がフッ素原子、ヨウ素原子、ヒドロキシ基、カルボキシ基、炭素数1~4のヒドロキシアルキル基、炭素数1~4のアルコキシ基又は炭素数1~3のペルフルオロアルキル基である請求項1又は2に記載のレジスト組成物。
【請求項4】
m6が1以上の整数であり、R
6
がフッ素原子、ヨウ素原子、ヒドロキシ基、カルボキシ基、炭素数1~4のヒドロキシアルキル基、炭素数1~4のアルコキシ基又は炭素数1~3のペルフルオロアルキル基である請求項1又は2に記載のレジスト組成物。
【請求項5】
m2が1~3のいずれかの整数である請求項1又は2に記載のレジスト組成物。
【請求項6】
Ar
1
及びAr
2
が、それぞれ独立に、炭素数6~14の芳香族炭化水素基である請求項1又は2に記載のレジスト組成物。
【請求項7】
R
10
の置換基を有してもよい酸安定炭化水素基が、式(10a-1)で表される基である請求項1に記載の請求項1又は2に記載のレジスト組成物。
TIFF
2025146770000175.tif
8
94
[式(10a-1)中、
L
11
は、単結合又は炭素数1~6のアルカンジイル基を表す。
Ar
11
は、炭素数6~18の芳香族炭化水素基を表す。
R
11a
は、ハロゲン原子又はハロゲン原子を有してもよい炭素数1~12のアルキル基を表し、該アルキル基に含まれる-CH
2
-は、-O-又は-CO-に置き換わっていてもよい。
m11aは、0~8のいずれかの整数を表し、m11aが2以上のとき、複数のR
11a
は互いに同一であっても異なってもよい。
*は、結合部位を表す。]
【請求項8】
R
10
の置換基を有してもよい酸安定炭化水素基が、式(10a-2)で表される基である請求項1又は2に記載のレジスト組成物。
TIFF
2025146770000176.tif
15
69
[式(10a-2)中、
L
11
は、単結合又は炭素数1~6のアルカンジイル基を表す。
R
11b
、R
11c
及びR
11d
は、
R
11b
及びR
11c
が、それぞれ独立に、水素原子又は炭素数1~18の炭化水素基であり、R
11d
が、水素原子であるか、
R
11b
及びR
11c
が、互いに結合し、ハロゲン原子又はハロゲン原子を有してもよい炭素数1~12のアルキル基(該アルキル基に含まれる-CH
2
-は、-O-又は-CO-に置き換わっていてもよい。)を有してもよい炭素数3~36の脂環式炭化水素基を形成し、R
11d
が、水素原子であるか、
R
11b
、R
11c
及びR
11d
が、互いに結合し、ハロゲン原子又はハロゲン原子を有してもよい炭素数1~12のアルキル基(該アルキル基に含まれる-CH
2
-は、-O-又は-CO-に置き換わっていてもよい。)を有してもよい炭素数3~36の脂環式炭化水素基を形成する。
*は結合部位を表す。]
【請求項9】
さらに、酸発生剤を含有し、該酸発生剤が、式(B1)で表される塩又は式(B2)で表される塩を含む請求項1又は2に記載のレジスト組成物。
TIFF
2025146770000177.tif
13
94
[式(B1)中、
L
b1
は、単結合又は置換基を有してもよい(nb1+1)価の炭化水素基を表し、該炭化水素基に含まれる-CH
2
-は、-O-、-S-、-CO-又は-SO
2
-に置き換わっていてもよい。
L
b2
は、単結合又は置換基を有してもよい炭素数1~24の2価の炭化水素基を表し、該炭化水素基に含まれる-CH
2
-は、-O-、-S-、-CO-又は-SO
2
-で置き換わっていてもよい。
Y
b1
は、置換基を有していてもよいメチル基又は置換基を有していてもよい炭素数3~24の環状炭化水素基を表し、該環状炭化水素基に含まれる-CH
2
-は、-O-、-S-、-SO
2
-又は-CO-に置き換わっていてもよい。
nb1は、1~6のいずれかの整数を表す。nb1が2以上のとき、複数の括弧内の基は、互いに同一であっても異なっていてもよい。
Z1
+
は、有機カチオンを表す。]
TIFF
2025146770000178.tif
10
92
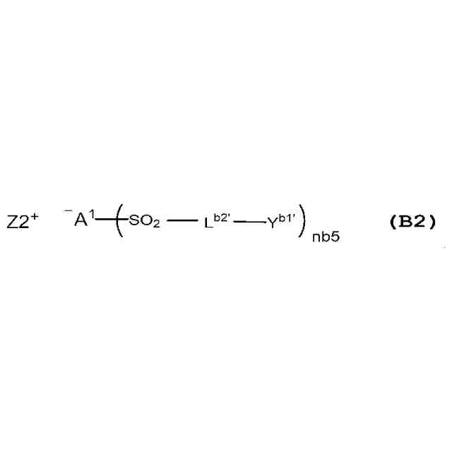
[式(B2)中、
A
1
は、窒素原子又は炭素原子を表す。
L
b2’
は、単結合又は置換基を有してもよい炭素数1~24の2価の炭化水素基を表し、該炭化水素基に含まれる-CH
2
-は、-O-、-S-、-CO-又は-SO
2
-で置き換わっていてもよい。
Y
b1’
は、置換基を有してもよいメチル基又は置換基を有してもよい炭素数3~24の環状炭化水素基を表し、該環状炭化水素基に含まれる-CH
2
-は、-O-、-S-、-CO-又は-SO
2
-で置き換わっていてもよい。
nb5は、2又は3の整数を表す。A
1
が窒素原子の場合、nb5が2であり、A
1
が炭素原子の場合、nb5が3である。複数の括弧内の基は、互いに同一であっても異なっていてもよく、2つの括弧内の基が結合してA
1
を含む環を形成してもよい。
Z2
+
は、有機カチオンを表す。]
【請求項10】
さらに、酸不安定基を有する構造単位を含む樹脂を含有し、
前記酸不安定基を有する構造単位が、式(a1-0)で表される構造単位、式(a1-1)で表される構造単位、式(a1-2)で表される構造単位、式(a1-4)で表される構造単位、式(a1-5)で表される構造単位及び式(a1-6)で表される構造単位からなる群より選ばれる少なくとも1種を含む請求項1又は2に記載のレジスト組成物。
TIFF
2025146770000179.tif
44
145
[式(a1-0)、式(a1-1)及び式(a1-2)中、
L
a01
、L
a1
及びL
a2
は、それぞれ独立に、-O-又は*-O-(CH
2
)
k1
-CO-O-を表し、k1は1~7のいずれかの整数を表し、*は-CO-との結合部位を表す。
R
a01
、R
a4
及びR
a5
は、それぞれ独立に、水素原子、ハロゲン原子又はハロゲン原子を有していてもよい炭素数1~6のアルキル基を表す。
R
a02
、R
a03
及びR
a04
は、それぞれ独立に、炭素数1~8のアルキル基、炭素数3~18の脂環式炭化水素基、炭素数6~18の芳香族炭化水素基又はこれらを組み合わせた基を表し、該アルキル基、該脂環式炭化水素基及び該芳香族炭化水素基は、ハロゲン原子を有してもよい。
R
a6
及びR
a7
は、それぞれ独立に、炭素数1~8のアルキル基、炭素数2~8のアルケニル基、炭素数3~18の脂環式炭化水素基、炭素数6~18の芳香族炭化水素基又はこれらを組合せることにより形成される基を表し、該アルキル基、該アルケニル基、該脂環式炭化水素基及び該芳香族炭化水素基は、ハロゲン原子を有してもよい。
m1’は0~14のいずれかの整数を表す。
n1は0~10のいずれかの整数を表す。
n1’は0~3のいずれかの整数を表す。]
TIFF
2025146770000180.tif
31
117
[式(a1-4)中、
R
a1
は、水素原子、ハロゲン原子、又は、ハロゲン原子を有していてもよい炭素数1~6のアルキル基を表す。
R
a17
は、ハロゲン原子、ヒドロキシ基、カルボキシ基、ハロゲン原子を有していてもよい炭素数1~6のアルキル基、炭素数1~6のアルコキシ基、炭素数2~12のアルコキシアルキル基、炭素数2~12のアルコキシアルコキシ基、炭素数2~4のアルキルカルボニル基、炭素数2~4のアルキルカルボニルオキシ基、アクリロイルオキシ基又はメタクリロイルオキシ基を表す。
A
a11
は、単結合又は炭素数1~12のアルカンジイル基を表し、該アルカンジイル基に含まれる-CH
2
-は、-O-、-CO-又は-NR
a18
-に置き換わってもよい。
R
a18
は、水素原子又は炭素数1~6のアルキル基を表す。
X
a1
は、単結合又はカルボニル基を表す。
R
a34
及びR
a35
は、それぞれ独立に、水素原子又は炭素数1~12の炭化水素基を表し、R
a36
は、炭素数1~20の炭化水素基を表すか、R
a35
及びR
a36
は互いに結合してそれらが結合する-C-O-とともに炭素数2~20の2価の炭化水素基を形成し、該炭化水素基及び該2価の炭化水素基に含まれる-CH
2
-は、-O-又は-S-で置き換わってもよい。
na1は、1~5のいずれかの整数を表し、na1が2以上のとき、複数の括弧内の基は、互いに同一であっても異なっていてもよい。
na11は、0~4のいずれかの整数を表し、na11が2以上のとき、複数のR
a17
は、互いに同一であっても異なっていてもよい。
mcは、0~2のいずれかの整数を表す。]
TIFF
2025146770000181.tif
45
58
[式(a1-5)中、
R
(【請求項11】以降は省略されています)
発明の詳細な説明
【技術分野】
【0001】
本発明は、化合物、該化合物を含むレジスト組成物及び該レジスト組成物を用いるレジストパターンの製造方法等に関する。
続きを表示(約 3,200 文字)
【背景技術】
【0002】
特許文献1には、下記構造式の化合物が記載されている。
TIFF
2025146770000001.tif
23
38
【先行技術文献】
【特許文献】
【0003】
特開2020-070435号公報
【発明の概要】
【発明が解決しようとする課題】
【0004】
上記化合物を含有するレジスト組成物から形成されたレジストパターンよりも、ラインエッジラフネス(LER)が良好なレジストパターンを形成するレジスト組成物を提供することを課題とする。
【課題を解決するための手段】
【0005】
本発明は、以下の発明を含む。
〔1〕式(I)で表される化合物を含有するレジスト組成物。
TIFF
2025146770000002.tif
34
130
[式(I)中、
R
5A
及びR
5B
は、それぞれ独立に、-X
2
-R
10
又は-X
1
-L
10
-X
2
-R
10
を表す。
X
1
は、*-CO-O-、*-O-CO-、*-O-CO-O-又は*-O-(但し、*は、L
1A
もしくはAr
1
との結合部位又はL
1B
もしくはAr
2
との結合部位を表す。)を表す。
X
2
は、*-CO-O-、*-O-CO-、*-O-CO-O-又は*-O-(但し、*は、L
1A
、Ar
1
もしくはL
10
との結合部位又はL
1B
、Ar
2
もしくはL
10
との結合部位を表す。)を表す。
L
10
は、置換基を有してもよい炭素数1~28の炭化水素基を表し、該炭化水素基に含まれる-CH
2
-は、-O-、-S-、-SO
2
-、-SO-、-NR
7
-又は-CO-に置き換わっていてもよい。
R
7
は、水素原子又は炭素数1~6のアルキル基を表す。
R
10
は、置換基を有してもよい酸安定炭化水素基を表す。
L
1A
、L
1B
、L
2
及びL
3
は、それぞれ独立に、単結合又は置換基を有してもよい炭素数1~6のアルカンジイル基を表す。
X
3
は、-O-、-CO-、-S-、-SO-、-SO
2
-、-NR
7
-又はこれらを組み合わせた基を表す。
Ar
1
及びAr
2
は、それぞれ独立に、炭素数6~18の芳香族炭化水素基を表す。
m2は、1~6のいずれかの整数を表し、m2が2以上のとき、複数の括弧内の基はそれぞれ互いに同一であっても異なってもよい。
R
3
及びR
【発明の効果】
【0006】
本発明のレジスト組成物を用いることにより、良好なラインエッジラフネス(LER)でレジストパターンを製造することができる。
【発明を実施するための形態】
【0007】
本明細書において、「(メタ)アクリル系モノマー」とは、「アクリル系モノマー及びメタクリル系モノマーの少なくとも1種」を意味する。「(メタ)アクリレート」及び「(メタ)アクリル酸」等の記載も同様の意味を表す。本明細書中に記載する基において、直鎖構造と分岐構造の両方をとり得るものについては、そのいずれでもよい。炭化水素基等に含まれる-CH
2
-が-O-、-S-、-CO-、-SO-、-NR
X
-(Xは任意の符号)又は-SO
2
-で置き換わる場合、各基において同様の例を適用するものとし、置き換わる前の炭素数を炭化水素基等の炭素数とし、置き換わる前の炭素数を炭化水素基等の炭素数とする。「組み合わせた基」とは、例示した基を2種以上結合させた基を意味し、それら基の価数は結合形態によって適宜変更してもよい。「由来する」又は「誘導される」とは、その分子中に含まれる重合性C=C結合が重合により-C-C-基(単結合)となることを指す。立体異性体が存在する場合は、全ての立体異性体を含む。各基は、置換基の数等によって、その基に含まれる任意の位置及び数の水素原子が結合手に置き換わることがある。置換基における炭素数は、被置換基の炭素数には含めない。「酸不安定基」とは、酸(例えば、トリフルオロメタンスルホン酸等)と接触すると、脱離基が脱離して、親水性基(例えば、ヒドロキシ基又はカルボキシ基等)を形成する基を意味する。「塩基不安定基」とは、塩基(例えば、トリメチルアミン、テトラメチルアンモニウムヒドロキシド等)と接触すると、脱離基が脱離して、親水性基(例えば、カルボキシ基又はヒドロキシ基等)を形成する基を意味する。
本明細書において、「レジスト組成物の固形分」とは、レジスト組成物の総量から、後述する溶剤(E)を除いた成分の合計を意味する。
【0008】
<レジスト組成物>
本発明のレジスト組成物は、式(I)で表される化合物(以下「化合物(I)」という場合がある)を含有する。
本発明のレジスト組成物は、さらに、酸発生剤(以下、「酸発生剤(B)」という場合がある)、樹脂、酸発生剤から発生する酸よりも酸性度の弱い酸を発生する塩等のクエンチャー(以下「クエンチャー(C)」という場合がある)等を含有していてもよい。樹脂としては、酸不安定基を有する構造単位を含む樹脂(以下「樹脂(A)」という場合がある)及び/又は樹脂(A)以外の樹脂が挙げられる。
本発明のレジスト組成物は、溶剤(以下「溶剤(E)」という場合がある)を含有することが好ましい。
【0009】
〈化合物(I)〉
本発明のレジスト組成物は、化合物(I)を含有する。
TIFF
2025146770000012.tif
34
130
[式(I)中、全ての符号は、それぞれ前記と同じ意味を表す。]
【0010】
R
5A
及びR
5B
のそれぞれに含まれるX
1
は、*-CO-O-、*-O-CO-又は*-O-であることが好ましく、*-O-CO-又は*-O-であることがより好ましい(但し、*は、L
1A
もしくはAr
1
との結合部位又はL
1B
もしくはAr
2
との結合部位を表す。)。
R
5A
及びR
5B
のそれぞれに含まれるX
2
は、*-CO-O-、*-O-CO-又は*-O-CO-O-であることが好ましく、*-CO-O-又は*-O-CO-であることがより好ましい(但し、*は、L
1A
、Ar
1
もしくはL
10
との結合部位又はL
1B
、Ar
2
もしくはL
10
との結合部位を表す。)。
(【0011】以降は省略されています)
この特許をJ-PlatPat(特許庁公式サイト)で参照する
関連特許
住友化学株式会社
偏光板
1か月前
住友化学株式会社
化合物
16日前
住友化学株式会社
着色剤
16日前
住友化学株式会社
樹脂組成物
2日前
住友化学株式会社
芳香族ポリスルホン
16日前
住友化学株式会社
体液に由来する試料
6日前
住友化学株式会社
成形原料及びフィルム
1か月前
住友化学株式会社
複合偏光板及び画像表示装置
4日前
住友化学株式会社
光学積層体及びその製造方法
18日前
住友化学株式会社
粘着剤付き偏光板及び表示装置
26日前
住友化学株式会社
着色剤及び着色硬化性樹脂組成物
3日前
住友化学株式会社
接着剤組成物及び偏光板の製造方法
26日前
住友化学株式会社
高分子化合物、組成物、及び発光素子
1か月前
住友化学株式会社
芳香族ポリスルホン及び耐熱フィルム
16日前
住友化学株式会社
非水電解液二次電池用積層セパレータ
6日前
住友化学株式会社
リチウム二次電池用正極活物質の製造方法
27日前
住友化学株式会社
膜、積層体、素子、デバイス、及び、構造体
1か月前
住友化学株式会社
複素環化合物を用いる有害節足動物防除方法
2日前
住友化学株式会社
リチウム二次電池用負極及びリチウム二次電池
27日前
住友化学株式会社
レジスト組成物及びレジストパターンの製造方法
2日前
住友化学株式会社
除草剤耐性作物の栽培地における雑草の防除方法
16日前
住友化学株式会社
化合物、樹脂組成物、光学フィルタ及び固体撮像素子
1か月前
住友化学株式会社
着色硬化性樹脂組成物、カラーフィルタ及び表示装置
2日前
住友化学株式会社
カラーフィルタ及び該カラーフィルタを含む表示装置
27日前
住友化学株式会社
ジホスファイト系化合物、その製造方法およびその用途
16日前
住友化学株式会社
レジスト組成物及びレジストパターンの製造方法並びに化合物
2日前
住友化学株式会社
レジスト組成物及びレジストパターンの製造方法並びに化合物
2日前
住友化学株式会社
レジスト組成物及びレジストパターンの製造方法並びに化合物
1か月前
住友化学株式会社
レジスト組成物及びレジストパターンの製造方法並びに化合物
2日前
住友化学株式会社
レジスト組成物及びレジストパターンの製造方法並びに化合物
1か月前
住友化学株式会社
レジスト組成物及びレジストパターンの製造方法並びに化合物
2日前
住友化学株式会社
化合物、組成物、カラーフィルタ、表示装置、及び固体撮像素子
4日前
住友化学株式会社
着色樹脂組成物
1か月前
住友化学株式会社
塩、酸発生剤、レジスト組成物及びレジストパターンの製造方法
6日前
住友化学株式会社
酸発生剤、塩、レジスト組成物及びレジストパターンの製造方法
25日前
住友化学株式会社
酸発生剤、塩、レジスト組成物及びレジストパターンの製造方法
1か月前
続きを見る
他の特許を見る