TOP
|
特許
|
意匠
|
商標
特許ウォッチ
Twitter
他の特許を見る
10個以上の画像は省略されています。
公開番号
2025144719
公報種別
公開特許公報(A)
公開日
2025-10-03
出願番号
2024044545
出願日
2024-03-21
発明の名称
情報処理装置、情報処理方法、及びプログラム
出願人
日本電気株式会社
代理人
個人
主分類
G06Q
10/08 20240101AFI20250926BHJP(計算;計数)
要約
【課題】製造設備に入荷されたある原料がどのロットの製品に含まれているかを推定することができる情報処理装置等を提供する。
【解決手段】情報処理装置は、製品の製造設備に入荷した原料の種類、量、及び原料ロット番号と、原料の入荷日とを原料の入荷情報として記憶する入荷データベースと、原料から製造した製品の1日当たりの製造数と、製造した製品の各々の製品ロット番号及びその製造日とを製品の製造情報として記憶する製品データベースと、1つの製品に使用される原料の量及び製造設備の情報を記憶する記憶部と、所定の期間における、原料の入荷情報と、製造設備に滞留している原料の量と、製品の製造情報とに基づいて、ある製品ロット番号の製品に含まれる原料の原料ロット番号と、ある製品ロット番号の製品に含まれる原料全体に対する該原料ロット番号の原料の比率とを推定する推定部と、を備える。
【選択図】図1
特許請求の範囲
【請求項1】
製品の製造設備に入荷した原料の種類、量、及び原料ロット番号と、前記原料の入荷日とを前記原料の入荷情報として記憶する入荷データベースと、
前記原料から製造した前記製品の1日当たりの製造数と、前記製造した製品の各々の製品ロット番号及びその製造日とを前記製品の製造情報として記憶する製品データベースと、
1つの前記製品に使用される前記原料の量及び前記製造設備の情報を記憶する記憶部と、
所定の期間における、前記原料の入荷情報と、前記製造設備に滞留している前記原料の量と、前記製品の製造情報とに基づいて、ある製品ロット番号の前記製品に含まれる前記原料の原料ロット番号と、前記ある製品ロット番号の製品に含まれる前記原料全体に対する前記原料ロット番号の原料の比率とを推定する推定部と、
を備える、情報処理装置。
続きを表示(約 2,000 文字)
【請求項2】
前記製品データベースは、前記ある製品ロット番号と、推定した前記原料ロット番号及びその比率とを関連付けて記憶する、
請求項1に記載の情報処理装置。
【請求項3】
複数種類の原料を混合して、前記製品の材料を作製し、前記材料から前記製品を製造する場合には、前記推定部は、前記複数種類の原料の各々に対して、前記ある製品ロット番号の前記製品に含まれる前記複数種類の原料の各々の前記原料ロット番号と、前記ある製品ロット番号の製品に含まれる対応する前記原料全体に対する該原料ロット番号の原料の比率とを推定する、
請求項1に記載の情報処理装置。
【請求項4】
複数のベンダから入荷された前記原料を混合して、混合原料から前記製品を製造する場合には、前記推定部は、前記複数のベンダの各々からの前記原料に対して、前記ある製品ロット番号の前記製品に含まれる前記複数のベンダの各々の前記原料の原料ロット番号と、前記ある製品ロット番号の製品に含まれる前記原料全体に対する該原料ロット番号の原料の比率とを推定する、
請求項1に記載の情報処理装置。
【請求項5】
前記製造設備に滞留している前記原料の量には、前記原料を入荷したままの状態で保管している保管量と、前記原料を貯蔵槽に投入した状態で貯蔵している貯蔵量とが含まれる、
請求項1に記載の情報処理装置。
【請求項6】
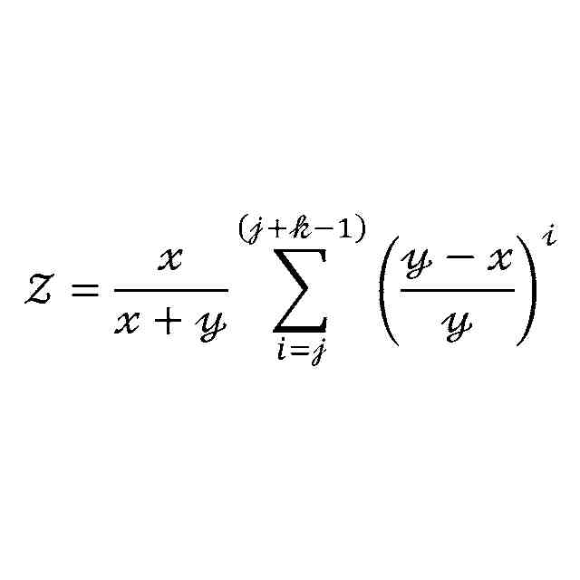
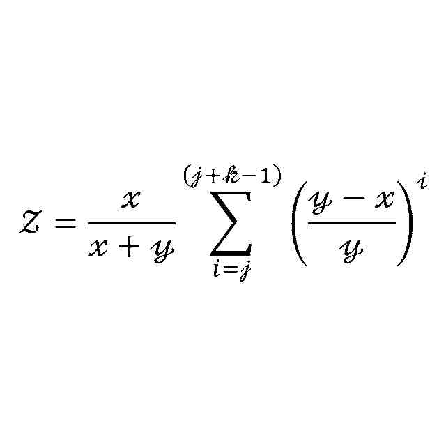
前記貯蔵槽に貯蔵されている前記原料が所定の貯蔵量yまで減ったとき、既にk回投入した投入用の原料ロット番号の原料から1回に所定の投入量xだけ投入した場合の対象となる前記原料ロット番号の含有比率zは、前記対象となる原料以外の別の原料がj回投入されていたとすると、前記推定部は、前記含有比率zを
TIFF
2025144719000010.tif
22
75
と推定する、
請求項5に記載の情報処理装置。
【請求項7】
前記推定部は、推定した前記原料の原料ロット番号及びその比率と、前記製品の前記ある製品ロット番号とを紐付けて、前記製品データベースに登録し、
前記製品データベースは、前記原料ロット番号に基づく問い合わせに応じて、前記原料ロット番号の原料が最も多く含まれる1つの前記製品ロット番号、又は前記原料ロット番号の原料を含む複数の前記製品ロット番号を出力する、
請求項1乃至6のいずれか一項に記載の情報処理装置。
【請求項8】
前記推定部は、推定した前記原料の原料ロット番号及びその比率と、前記製品の前記ある製品ロット番号とを紐付けて、前記製品データベースに登録し、
前記製品データベースは、前記製品ロット番号に基づく問い合わせに応じて、前記製品ロット番号の製品に最も多く含まれる1つの前記原料ロット番号、又は前記製品ロット番号の製品に含まれる複数の前記原料ロット番号を出力する、
請求項1乃至6のいずれか一項に記載の情報処理装置。
【請求項9】
製品の製造設備に入荷した原料の種類、量、及び原料ロット番号と、前記原料の入荷日とを前記原料の入荷情報として記憶するステップと、
前記原料から製造した前記製品の1日当たりの製造数と、前記製造した製品の各々の製品ロット番号及びその製造日とを前記製品の製造情報として記憶するステップと、
1つの前記製品に使用される前記原料の量及び前記製造設備の情報を記憶するステップと、
所定の期間における、前記原料の入荷情報と、前記製造設備に滞留している前記原料の量と、前記製品の製造情報とに基づいて、ある製品ロット番号の前記製品に含まれる前記原料の原料ロット番号と、前記ある製品ロット番号の製品に含まれる前記原料全体に対する該原料ロット番号の原料の比率とを推定するステップと、
を含む、情報処理方法。
【請求項10】
コンピュータに、
製品の製造設備に入荷した原料の種類、量、及び原料ロット番号と、前記原料の入荷日とを前記原料の入荷情報として記憶する処理と、
前記原料から製造した前記製品の1日当たりの製造数と、前記製造した製品の各々の製品ロット番号及びその製造日とを前記製品の製造情報として記憶する処理と、
1つの前記製品に使用される前記原料の量及び前記製造設備の情報を記憶する処理と、
所定の期間における、前記原料の入荷情報と、前記製造設備に滞留している前記原料の量と、前記製品の製造情報とに基づいて、ある製品ロット番号の前記製品に含まれる前記原料の原料ロット番号と、前記ある製品ロット番号の製品に含まれる前記原料全体に対する該原料ロット番号の原料の比率とを推定する処理と、
を実行させる、プログラム。
発明の詳細な説明
【技術分野】
【0001】
本開示は、情報処理装置、情報処理方法、及びプログラムに関する。
続きを表示(約 2,300 文字)
【背景技術】
【0002】
近年、大量生産、大量消費、大量廃棄からの脱却という観点から、製品に耐久性やリサイクルの容易性といった情報を付与する「DPP(Digital Product Passport:デジタルプロダクトパスポート)」と呼ばれる制度が注目されている。そして、廃棄物や汚染を取り除いて、製品・素材に含まれる高い価値を維持したまま社会で循環させるサーキュラーエコノミーが着目されている。
【0003】
例えば、原料そのものであるバージン材と、そのリサイクル材とを原料として用いて、新たな製品を製造する場合には、それらの混合比率の情報などを管理して、製造した製品に添付することが考えられる。特許文献1は、リサイクル率を向上するために、製品に含まれている有用物を高い回収率で回収可能なシステムを開示する。
【先行技術文献】
【特許文献】
【0004】
特開2009-134655号公報
【発明の概要】
【発明が解決しようとする課題】
【0005】
サーキュラーエコノミーを実現するために、今後リサイクル材の混合比率の義務化等がなされる可能性がある。このような状況下では、製品にどれだけのリサイクル材が含まれているか等を証明するための証明書を発行することが望まれる。また、ロット毎に品質が異なるリサイクル材を原料として用いる場合には、ロット単位で製品の原料情報を管理することが求められる。
【0006】
しかしながら、材料のDPP(ロット毎のID)と製品のDPP(製品毎のID)とを厳密に紐付けることは、実際には困難であるという問題がある。また、上記のようなリサイクル材の混合比率の義務化が法整備された場合には、最低混合比率を証明することができるように、エビデンス情報を提供する必要が生じると考えられる。一方、製品をリサイクル業者等に提供するユーザにとっては、その製品がどのようにリサイクルされたかを追跡する情報を得たいという要望があると考えられる。特許文献1に記載の技術では、このような課題を想定しておらず、この課題の解決方法については何ら開示されていない。
【0007】
本開示は、このような問題点を解決するためになされたものであり、その目的は、ある製品にどのような原料が用いられているか、また、ある原料がどのロットの製品に含まれているかを推定することができる情報処理装置、情報処理方法、及びプログラムを提供することにある。
【課題を解決するための手段】
【0008】
本開示の一態様における情報処理装置は、
製品の製造設備に入荷した原料の種類、量、及び原料ロット番号と、前記原料の入荷日とを前記原料の入荷情報として記憶する入荷データベースと、
前記原料から製造した前記製品の1日当たりの製造数と、前記製造した製品の各々の製品ロット番号及びその製造日とを前記製品の製造情報として記憶する製品データベースと、
1つの前記製品に使用される前記原料の量及び前記製造設備の情報を記憶する記憶部と、
所定の期間における、前記原料の入荷情報と、前記製造設備に滞留している前記原料の量と、前記製品の製造情報とに基づいて、ある製品ロット番号の前記製品に含まれる前記原料の原料ロット番号と、前記ある製品ロット番号の製品に含まれる前記原料全体に対する該原料ロット番号の原料の比率とを推定する推定部と、
を備えるものである。
【0009】
本開示の一態様における情報処理方法は、
製品の製造設備に入荷した原料の種類、量、及び原料ロット番号と、前記原料の入荷日とを前記原料の入荷情報として記憶するステップと、
前記原料から製造した前記製品の1日当たりの製造数と、前記製造した製品の各々の製品ロット番号及びその製造日とを前記製品の製造情報として記憶するステップと、
1つの前記製品に使用される前記原料の量及び前記製造設備の情報を記憶するステップと、
所定の期間における、前記原料の入荷情報と、前記製造設備に滞留している前記原料の量と、前記製品の製造情報とに基づいて、ある製品ロット番号の前記製品に含まれる前記原料の原料ロット番号と、前記ある製品ロット番号の製品に含まれる前記原料全体に対する該原料ロット番号の原料の比率とを推定するステップと、
を含むものである。
【0010】
本開示の一態様におけるプログラムは、
コンピュータに、
製品の製造設備に入荷した原料の種類、量、及び原料ロット番号と、前記原料の入荷日とを前記原料の入荷情報として記憶する処理と、
前記原料から製造した前記製品の1日当たりの製造数と、前記製造した製品の各々の製品ロット番号及びその製造日とを前記製品の製造情報として記憶する処理と、
1つの前記製品に使用される前記原料の量及び前記製造設備の情報を記憶する処理と、
所定の期間における、前記原料の入荷情報と、前記製造設備に滞留している前記原料の量と、前記製品の製造情報とに基づいて、ある製品ロット番号の前記製品に含まれる前記原料の原料ロット番号と、前記ある製品ロット番号の製品に含まれる前記原料全体に対する該原料ロット番号の原料の比率とを推定する処理と、
を実行させるものである。
【発明の効果】
(【0011】以降は省略されています)
この特許をJ-PlatPat(特許庁公式サイト)で参照する
関連特許
日本電気株式会社
分析装置
7日前
日本電気株式会社
学習装置
1か月前
日本電気株式会社
学習装置
1か月前
日本電気株式会社
原子発振器
1か月前
日本電気株式会社
超伝導量子回路
27日前
日本電気株式会社
マルチバンドバラン
25日前
日本電気株式会社
量子回路装置と制御方法
7日前
日本電気株式会社
検知装置および検知方法
7日前
日本電気株式会社
通信装置および通信方法
3日前
日本電気株式会社
量子回路装置と制御方法
7日前
日本電気株式会社
送信装置および通信装置
3日前
日本電気株式会社
端末装置および無線通信方法
18日前
日本電気株式会社
分析方法および分析システム
4日前
日本電気株式会社
機器冷却装置及びその冷却方法
19日前
日本電気株式会社
TS合成装置および放送システム
1か月前
日本電気株式会社
処理装置、方法、及びプログラム
1か月前
日本電気株式会社
共振器及びそれを備えた導波回路
5日前
日本電気株式会社
プログラム、算出装置、及び方法
19日前
日本電気株式会社
リング共振器、およびその製造方法
1か月前
日本電気株式会社
システム及びマイグレーション方法
7日前
日本電気株式会社
推定装置、推定方法及びプログラム
10日前
日本電気株式会社
ピーク抑圧装置及びピーク抑圧方法
17日前
日本電気株式会社
リング共振器、およびその製造方法
1か月前
日本電気株式会社
推定装置、推定方法及びプログラム
10日前
日本電気株式会社
処理装置、処理方法、及びプログラム
7日前
日本電気株式会社
推定装置、推定方法、及び、記録媒体
4日前
日本電気株式会社
画像管理システムおよび画像管理方法
5日前
日本電気株式会社
波長可変レーザ装置及びその構成方法
3日前
日本電気株式会社
処理装置、処理方法、及びプログラム
1か月前
日本電気株式会社
通信システム及びパケット順序補正方法
18日前
日本電気株式会社
注文端末、注文受付方法及びプログラム
3日前
日本電気株式会社
予測システム、予測方法及びプログラム
10日前
日本電気株式会社
通信装置、通信方法及び通信プログラム
4日前
日本電気株式会社
管理システム、管理方法及びプログラム
17日前
日本電気株式会社
判定装置、判定方法、及び、プログラム
27日前
日本電気株式会社
情報処理装置、情報処理方法、プログラム
1か月前
続きを見る
他の特許を見る