TOP
|
特許
|
意匠
|
商標
特許ウォッチ
Twitter
他の特許を見る
10個以上の画像は省略されています。
公開番号
2025144644
公報種別
公開特許公報(A)
公開日
2025-10-03
出願番号
2024044392
出願日
2024-03-21
発明の名称
情報処理装置、情報処理方法、プログラム及び学習支援システム
出願人
カシオ計算機株式会社
代理人
弁理士法人光陽国際特許事務所
主分類
G06Q
50/20 20120101AFI20250926BHJP(計算;計数)
要約
【課題】複数のユーザの中から、所定のユーザに対して問題を教えるのに適切な候補者を選択する。
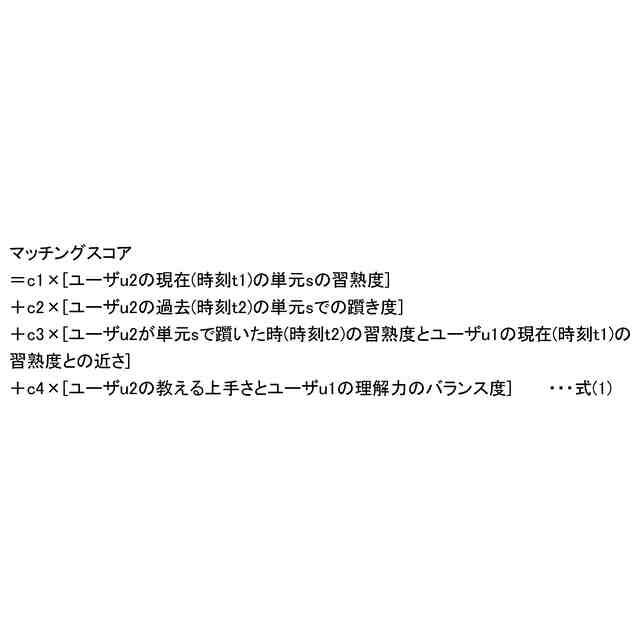
【解決手段】学習者に所定の分野に係る問題を教示する教示者の候補者を出力するサーバ装置(情報処理装置)の制御部は、学習者が第1期間内に解答した所定の分野に係る問題に対する第1正答率を取得する(ステップE11)。制御部は、学習者以外の複数のユーザが第1期間よりも過去の第2期間内に解答した所定の分野に係る問題に対する第2正答率をユーザごとに取得する(ステップE17)。制御部は、学習者の第1正答率、各ユーザの第2正答率等に基づいて、複数のユーザの中から教示者の候補者を少なくとも1人選択する(ステップE22)。
【選択図】図10
特許請求の範囲
【請求項1】
学習者に所定の分野に係る問題を教示する教示者の候補者を出力する情報処理装置であって、
前記学習者が第1期間内に解答した前記所定の分野に係る問題に対する第1正答率を取得し、
前記学習者以外の複数のユーザが前記第1期間よりも過去の第2期間内に解答した前記所定の分野に係る問題に対する第2正答率を前記ユーザごとに取得し、
前記第1正答率及び前記第2正答率に基づいて、前記複数のユーザの中から前記教示者の候補者を少なくとも1人選択する制御部を備える、
ことを特徴とする情報処理装置。
続きを表示(約 1,500 文字)
【請求項2】
前記制御部は、前記複数のユーザのうち、前記第2正答率が低いユーザほど、前記候補者として選択されやすくする、
ことを特徴とする請求項1に記載の情報処理装置。
【請求項3】
前記制御部は、前記複数のユーザのうち、前記第2正答率が前記第1正答率と近いユーザほど、前記候補者として選択されやすくする、
ことを特徴とする請求項1に記載の情報処理装置。
【請求項4】
前記制御部は、前記複数のユーザが前記第1期間内に解答した前記所定の分野に係る問題に対する第3正答率を更に取得し、
前記複数のユーザのうち、前記第3正答率が高いユーザほど、前記候補者として選択されやすくする、
ことを特徴とする請求項1に記載の情報処理装置。
【請求項5】
前記第1正答率は、前記所定の分野に係る問題に加えて前記所定の分野以外の問題に対する正答率を含むとともに、
前記第2正答率は、前記所定の分野に係る問題に加えて前記所定の分野以外の問題に対する正答率を含む、
ことを特徴とする請求項1に記載の情報処理装置。
【請求項6】
前記制御部は、前記問題に係る所定の指標値を前記候補者ごとに対応付けた、前記候補者のリストを出力し、
前記リストの中からいずれかの候補者が前記教示者として前記学習者により選択された場合に、当該選択された教示者に対して教示依頼通知を送信する、
ことを特徴とする請求項1に記載の情報処理装置。
【請求項7】
学習者に所定の分野に係る問題を教示する教示者の候補者を出力する情報処理方法であって、
前記学習者が第1期間内に解答した前記所定の分野に係る問題に対する第1正答率を取得する工程と、
前記学習者以外の複数のユーザが前記第1期間よりも過去の第2期間内に解答した前記所定の分野に係る問題に対する第2正答率を前記ユーザごとに取得する工程と、
前記第1正答率及び前記第2正答率に基づいて、前記複数のユーザの中から前記教示者の候補者を少なくとも1人選択する工程と、を含む、
ことを特徴とする情報処理方法。
【請求項8】
学習者に所定の分野に係る問題を教示する教示者の候補者を出力する情報処理装置のコンピュータを、
前記学習者が第1期間内に解答した前記所定の分野に係る問題に対する第1正答率を取得する手段、
前記学習者以外の複数のユーザが前記第1期間よりも過去の第2期間内に解答した前記所定の分野に係る問題に対する第2正答率を前記ユーザごとに取得する手段、
前記第1正答率及び前記第2正答率に基づいて、前記複数のユーザの中から前記教示者の候補者を少なくとも1人選択する手段、
として機能させるためのプログラム。
【請求項9】
学習者に所定の分野に係る問題を教示する教示者の候補者を出力する情報処理装置と、端末装置と、がデータ通信可能に接続された学習支援システムであって、
前記情報処理装置は、
前記学習者が第1期間内に解答した前記所定の分野に係る問題に対する第1正答率を取得し、
前記学習者以外の複数のユーザが前記第1期間よりも過去の第2期間内に解答した前記所定の分野に係る問題に対する第2正答率を前記ユーザごとに取得し、
前記第1正答率及び前記第2正答率に基づいて、前記複数のユーザの中から前記教示者の候補者を少なくとも1人選択し、
当該選択された候補者のリストを前記学習者が使用する前記端末装置の表示部に対して出力する制御部を備える、
ことを特徴とする学習支援システム。
発明の詳細な説明
【技術分野】
【0001】
本発明は、情報処理装置、情報処理方法、プログラム及び学習支援システムに関する。
続きを表示(約 1,900 文字)
【背景技術】
【0002】
特許文献1には、ユーザが使用する言語、ユーザが提供可能な物事等を含むユーザプロファイルに基づくマッチングシステムが開示されている。このシステムは、目的別のカテゴリーでユーザを検索し、ユーザのニーズに応じたマッチングを行う。
【先行技術文献】
【特許文献】
【0003】
特許第5970739号公報
【発明の概要】
【発明が解決しようとする課題】
【0004】
しかしながら、上記の従来技術においては、複数のユーザの中から学習者が求める問題を教えるのに適切な候補者を選択することは困難であった。
【0005】
本発明は、上記の従来技術における問題に鑑みてなされたものであって、複数のユーザの中から、所定のユーザに対して問題を教えるのに適切な候補者を選択することを課題とする。
【課題を解決するための手段】
【0006】
上記課題を解決するために、本発明は、学習者に所定の分野に係る問題を教示する教示者の候補者を出力する情報処理装置であって、前記学習者が第1期間内に解答した前記所定の分野に係る問題に対する第1正答率を取得し、前記学習者以外の複数のユーザが前記第1期間よりも過去の第2期間内に解答した前記所定の分野に係る問題に対する第2正答率を前記ユーザごとに取得し、前記第1正答率及び前記第2正答率に基づいて、前記複数のユーザの中から前記教示者の候補者を少なくとも1人選択する制御部を備える、ことを特徴とする。
【発明の効果】
【0007】
本発明によれば、複数のユーザの中から、所定のユーザに対して問題を教えるのに適切な候補者を選択することができる。
【図面の簡単な説明】
【0008】
本発明の第1の実施形態に係る学習支援システムの構成例を示す図である。
サーバ装置の記憶部のストレージに設けられているデータベースの構成例である。
問題正誤テーブルのデータ構成例を示す図である。
マッチング履歴テーブルのデータ構成例を示す図である。
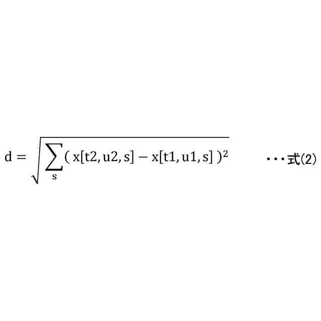
習熟度ベクトルを説明するための図である。
学習支援画面の例である。
教示者登録画面の例である。
学習者から見た全体の流れを示すフローチャートである。
学習支援システムにおいて実行される教え合い処理を示すラダーチャートである。
学習対象選択画面の例である。
マッチング条件選択画面の例である。
サーバ装置により実行される候補者選択処理を示すフローチャートである。
候補者リスト画面の例である。
教示依頼画面の例である。
マッチング成立画面の例である。
教え合い評価画面の例である。
理解力の高さ通知画面の例である。
フィードバック画面の例である。
【発明を実施するための形態】
【0009】
以下、本発明に係る情報処理装置、情報処理方法、プログラム及び学習支援システムの実施形態について、図面を参照して詳細に説明する。なお、以下に述べる実施形態には、本発明を実施するために技術的に好ましい種々の限定が付されているが、本発明の技術的範囲を以下の実施形態及び図示例に限定するものではない。以下の実施形態において、学習支援システムは、学校の生徒及び先生によって使用されるものとする。なお、学校とは、正規の小学校、中学校、高校、大学に限らず、専門学校、学習塾、予備校等を含むものである。
【0010】
図1に示すように、学習支援システム100は、サーバ装置10と、複数の端末装置20と、を含む。サーバ装置10と各端末装置20とは、ネットワーク30を介してデータ通信可能に接続される。端末装置20は、各ユーザ(生徒、先生)が使用する端末装置である。端末装置20は、パーソナルコンピュータ、タブレット等の携帯端末装置、スマートフォン等の移動体通信装置のいずれであってもよい。なお、端末装置20の台数は、特に限定されない。ネットワーク30は、例えば、インターネット、無線LAN(Local Area Network)、有線LAN、移動体通信ネットワーク、近距離無線通信網、あるいは、これらの一部又は全部の組み合わせといった、任意の電気通信ネットワークであればよい。
(【0011】以降は省略されています)
この特許をJ-PlatPat(特許庁公式サイト)で参照する
関連特許
カシオ計算機株式会社
支持台
1日前
カシオ計算機株式会社
減音器具
3日前
カシオ計算機株式会社
減音器具
3日前
カシオ計算機株式会社
電子鍵盤楽器
1日前
カシオ計算機株式会社
装飾板及び時計
2日前
カシオ計算機株式会社
光源装置及び投影装置
15日前
カシオ計算機株式会社
光源装置及び投影装置
15日前
カシオ計算機株式会社
光源装置及び投影装置
3日前
カシオ計算機株式会社
光源装置及び投影装置
3日前
カシオ計算機株式会社
端末装置及びプログラム
3日前
カシオ計算機株式会社
外装部品ユニット及び時計
1日前
カシオ計算機株式会社
電子時計及び電子時計本体
16日前
カシオ計算機株式会社
電子機器、及び表示制御方法
5日前
カシオ計算機株式会社
カッターユニット及び切断装置
1日前
カシオ計算機株式会社
電子時計、外装部材及びバンド
16日前
カシオ計算機株式会社
補助バスマスタ回路及び電子機器
5日前
カシオ計算機株式会社
制御装置、方法およびプログラム
5日前
カシオ計算機株式会社
演奏装置、方法およびプログラム
2日前
カシオ計算機株式会社
制御装置、方法およびプログラム
5日前
カシオ計算機株式会社
発音装置及び音出力制御システム
15日前
カシオ計算機株式会社
演奏装置、方法およびプログラム
3日前
カシオ計算機株式会社
ロボット、及びロボットの製造方法
1日前
カシオ計算機株式会社
情報処理装置、方法およびプログラム
1日前
カシオ計算機株式会社
外装部品、外装部品ユニット及び時計
1日前
カシオ計算機株式会社
制御装置、制御方法、及びプログラム
2日前
カシオ計算機株式会社
電子機器、登録処理方法及びプログラム
1日前
カシオ計算機株式会社
プログラム、電子機器及び登録処理方法
1日前
カシオ計算機株式会社
発音装置、接続装置及び音出力システム
15日前
カシオ計算機株式会社
情報処理装置、表示方法、及びプログラム
5日前
カシオ計算機株式会社
切断制御装置、切断制御方法及びプログラム
15日前
カシオ計算機株式会社
音声提供装置、音声提供方法及びプログラム
1日前
カシオ計算機株式会社
情報処理装置、プログラム及び情報処理方法
1日前
カシオ計算機株式会社
情報提供装置、情報提供方法及びプログラム
3日前
カシオ計算機株式会社
電子時計、電子時計の制御方法及びプログラム
5日前
カシオ計算機株式会社
学習支援装置、学習支援方法およびプログラム
15日前
カシオ計算機株式会社
電子機器、電子機器の制御方法及びプログラム
5日前
続きを見る
他の特許を見る