TOP
|
特許
|
意匠
|
商標
特許ウォッチ
Twitter
他の特許を見る
10個以上の画像は省略されています。
公開番号
2025139292
公報種別
公開特許公報(A)
公開日
2025-09-26
出願番号
2024038141
出願日
2024-03-12
発明の名称
衣類乾燥機
出願人
東芝ライフスタイル株式会社
代理人
弁理士法人サトー
主分類
D06F
58/50 20200101AFI20250918BHJP(繊維または類似のものの処理;洗濯;他に分類されない可とう性材料)
要約
【課題】衣類乾燥の信頼性を向上できる衣類乾燥機を提供する。
【解決手段】衣類乾燥機は、排気口及び給気口を有し、衣類が収容される収容槽と、排気口と給気口とを繋ぐ循環風路と、循環風路を流れる空気を加熱して温風を生成する加熱装置と、循環風路内の空気の温度を検知する温度センサと、循環風路内の空気の湿度を検知する湿度センサと、収容槽内の衣類を乾燥させる乾燥工程の進行又は終了を温度あるいは湿度のいずれか一方又は両方によって検知し、加熱装置を制御して乾燥工程を実行可能な制御部と、を備え、制御部は、乾燥工程の実行中において温度センサ又は湿度センサのうちの一方が故障していると判断された場合に、温度センサ又は湿度センサのうちの他方によって乾燥工程を継続する。
【選択図】図4
特許請求の範囲
【請求項1】
排気口及び給気口を有し、衣類が収容される収容槽と、
前記排気口と前記給気口とを繋ぐ循環風路と、
前記循環風路を流れる空気を加熱して温風を生成する加熱装置と、
前記循環風路内の前記空気の温度を検知する温度センサと、
前記循環風路内の前記空気の湿度を検知する湿度センサと、
前記収容槽内の衣類を乾燥させる乾燥工程の進行又は終了を前記温度あるいは前記湿度のいずれか一方又は両方によって検知し、前記加熱装置を制御して前記乾燥工程を実行可能な制御部と、を備え、
前記制御部は、前記乾燥工程の実行中において前記温度センサ又は前記湿度センサのうちの一方が故障していると判断された場合に、前記温度センサ又は前記湿度センサのうちの他方によって前記乾燥工程を継続する、
衣類乾燥機。
続きを表示(約 730 文字)
【請求項2】
前記制御部は、前記温度センサ又は前記湿度センサのうちの他方の値の変化に対して前記温度センサ又は前記湿度センサのうちの一方の値の変化が異常である場合に、前記温度センサ又は前記湿度センサのうちの一方が故障していると判断する、
請求項1に記載の衣類乾燥機。
【請求項3】
前記制御部は、前記温度センサの値が変化している期間における前記湿度センサの値の変化の度合いに基づいて、前記湿度センサの故障を判断する、
請求項2に記載の衣類乾燥機。
【請求項4】
前記制御部は、前記湿度センサの値が変化している期間における前記温度センサの値の変化の度合いに基づいて、前記温度センサの故障を判断する、
請求項2に記載の衣類乾燥機。
【請求項5】
前記加熱装置に関する温度を検知する加熱装置温度センサを更に備え、
前記制御部は、前記加熱装置温度センサの値が変化している期間における前記温度センサ及び前記湿度センサの変化の度合いに基づいて、前記温度センサ及び前記湿度センサの少なくとも一方の故障を判断する、
請求項1に記載の衣類乾燥機。
【請求項6】
前記循環風路内の空気を前記収容槽に送る送風装置を更に備え、
前記加熱装置は、冷媒を圧縮機、凝縮器、及び蒸発器を通して循環させる冷凍サイクルを含んで構成されており、
前記制御部は、前記送風装置又は前記圧縮機が動作している期間における前記温度センサ及び前記湿度センサの変化の度合いに基づいて、前記温度センサ及び前記湿度センサの少なくとも一方の故障を判断する、
請求項1に記載の衣類乾燥機。
発明の詳細な説明
【技術分野】
【0001】
本発明の実施形態は、衣類乾燥機に関する。
続きを表示(約 2,100 文字)
【背景技術】
【0002】
従来、槽内から排気口を介し送出される気体の湿度を検出する湿度検出部と、槽内から排気口を介し送出される気体の温度を検出する温度検出部と、制御部と、を備える洗濯乾燥機が知られている。従来構成では、制御部は、温風供給部による気体の加熱および乾燥を開始後に、湿度検出部により予め定められた湿度が検出され、且つ温度検出部により予め定められた温度が検出されたとき、加熱および乾燥を停止するように温風供給部を制御する。これにより、被乾燥物の仕上がりを、適切な状態すなわち乾燥状態の過不足を生じないように制御することが図られている。
【先行技術文献】
【特許文献】
【0003】
特開2017-018256号公報
【発明の概要】
【発明が解決しようとする課題】
【0004】
ところで、従来構成では、湿度検出部で検出された湿度と温度検出部で検出された温度の両方を用いて温風供給部を制御して乾燥工程を実行するものであるが、湿度検出部又は温度検出部の一方に故障が発生した場合においても乾燥工程を適切に実行する点については考慮されていない。
【0005】
また、湿度検出部又は温度検出部の一方に故障が発生した場合に、予め設定された最大運転時間が経過したことに応じて乾燥工程を終了させることで、衣類が未乾燥のまま乾燥工程が終了してしまうことを防ぐことが考えられる。しかしながら、最大運転時間によって乾燥工程を終了させようとすると、衣類の未乾燥状態を回避するために、長時間の運転時間を設定する必要があり、電力の浪費や衣類の傷み等が生じるおそれがある。このため、衣類乾燥の信頼性を向上する点において改善の余地があった。
【0006】
そこで、衣類乾燥の信頼性を向上できる衣類乾燥機を提供する。
【課題を解決するための手段】
【0007】
実施形態の衣類乾燥機は、排気口及び給気口を有し、衣類が収容される収容槽と、前記排気口と前記給気口とを繋ぐ循環風路と、前記循環風路を流れる空気を加熱して温風を生成する加熱装置と、前記循環風路内の前記空気の温度を検知する温度センサと、前記循環風路内の前記空気の湿度を検知する湿度センサと、前記収容槽内の衣類を乾燥させる乾燥工程の進行又は終了を前記温度あるいは前記湿度のいずれか一方又は両方によって検知し、前記加熱装置を制御して前記乾燥工程を実行可能な制御部と、を備え、前記制御部は、前記乾燥工程の実行中において前記温度センサ又は前記湿度センサのうちの一方が故障していると判断された場合に、前記温度センサ又は前記湿度センサのうちの他方によって前記乾燥工程を継続する。
【図面の簡単な説明】
【0008】
第1実施形態による衣類乾燥機の構成を概略的に示す断面図
第1実施形態による衣類乾燥機の一例を概略的に示す図
第1実施形態による衣類乾燥機について、電気的構成を示すブロック図
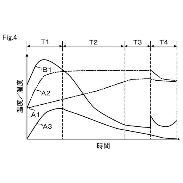
第1実施形態による衣類乾燥機について、乾燥工程における循環風路内の温度及び湿度の経時的変化の一例を示す図
第1実施形態による衣類乾燥機について、温度センサの値の変化に基づいて湿度センサの故障を判断する場合の一例を示す図
第1実施形態による衣類乾燥機について、温度センサの値の変化に基づいて湿度センサの故障を判断する場合の他の例を示す図
第1実施形態による衣類乾燥機について、湿度センサの値の変化に基づいて温度センサの故障を判断する場合の一例を示す図
第2実施形態による衣類乾燥機について、冷凍サイクル各部の温度の変化に基づいて温度センサ及び湿度センサの故障を判断する場合の一例を示す図
第3実施形態による衣類乾燥機について、圧縮機及び送風装置の動作に基づいて温度センサ及び湿度センサの故障を判断する場合の一例を示す図
【発明を実施するための形態】
【0009】
以下、複数の実施形態による衣類乾燥機について、図面を参照しながら説明する。なお、各実施形態において実質的に同一の要素には同一の符号を付し、説明を省略する。
【0010】
(第1実施形態)
まず、第1実施形態について、図1から図7を参照して説明する。
図1に示す衣類乾燥機10は、例えば回転槽14の回転軸が水平方向へ向かう横軸型又は後方へ向かって下降傾斜した斜め軸型のドラム式衣類乾燥機である。衣類乾燥機10は、例えば洗濯機能及び乾燥機能を備え、洗い、すすぎ、脱水、及び乾燥の各工程を含む洗濯乾燥運転を実行可能である。衣類乾燥機10は、洗濯乾燥運転の他に、乾燥のみを行う運転である乾燥運転を実行可能である。乾燥運転には、乾燥工程が含まれる。なお、衣類乾燥機10は、ドラム式衣類乾燥機に限らず、回転槽の回転軸が鉛直方向を向いた縦軸型衣類乾燥機であってもよい。また、衣類乾燥機は、洗濯機能を有さない構成にも適用できる。
(【0011】以降は省略されています)
この特許をJ-PlatPat(特許庁公式サイト)で参照する
関連特許
個人
洗濯機
10日前
個人
洗濯装置
3か月前
個人
洗濯物干しハンガー
26日前
セーレン株式会社
複合表皮材
10日前
株式会社青柳
染め加工方法
2か月前
東レ株式会社
繊維断面の検査方法
1か月前
株式会社アライホーム
物干装置
10日前
東レ株式会社
炭素繊維シートの製造方法
3か月前
株式会社槌屋
加飾用表皮材
1か月前
東レ株式会社
ゴム補強用合成繊維コード
2か月前
リンナイ株式会社
衣類乾燥機
1か月前
株式会社創和
ボックス状洗濯ネット
2か月前
個人
ポリエステル染色物の製造方法
1か月前
株式会社大阪ソーダ
撥水撥油性繊維処理剤
2か月前
シャープ株式会社
洗濯機
3か月前
リンテック株式会社
耐水性基材
1か月前
個人
洗濯用洗剤容器の蓋
3か月前
アイリスオーヤマ株式会社
洗濯機
26日前
大阪瓦斯株式会社
衣類乾燥機
3か月前
松本油脂製薬株式会社
繊維用処理剤及びその利用
3か月前
大阪瓦斯株式会社
衣類乾燥機
3か月前
大阪瓦斯株式会社
衣類乾燥機
3か月前
個人
開閉角度調整可能な角型折畳みピンチハンガー
3か月前
ダイニック株式会社
ターポリン、及びその製造方法
1か月前
株式会社wash-plus
ランドリーシステム
26日前
東芝ライフスタイル株式会社
洗濯機
2か月前
個人
パイプ用係止、固定装置及び洗濯バサミ取り付け具
3か月前
シャープ株式会社
衣類処理システム
3か月前
東レ株式会社
人工皮革およびその製造方法ならびに雑貨
2か月前
株式会社コーワ
乾燥機のフィルター清掃装置及び乾燥機
1か月前
東レ株式会社
抗菌性アクリル系繊維およびその製造方法
2か月前
東芝ライフスタイル株式会社
洗濯機
2か月前
住友金属鉱山株式会社
赤外線遮蔽繊維構造物
1か月前
パナソニックIPマネジメント株式会社
洗濯機
2か月前
パナソニックIPマネジメント株式会社
洗濯機
2か月前
パナソニックIPマネジメント株式会社
洗濯機
1か月前
続きを見る
他の特許を見る