TOP
|
特許
|
意匠
|
商標
特許ウォッチ
Twitter
他の特許を見る
10個以上の画像は省略されています。
公開番号
2025120572
公報種別
公開特許公報(A)
公開日
2025-08-18
出願番号
2024015447
出願日
2024-02-05
発明の名称
ドライバ状態推定装置
出願人
マツダ株式会社
代理人
個人
,
個人
,
個人
,
個人
,
個人
主分類
B60W
40/08 20120101AFI20250808BHJP(車両一般)
要約
【課題】ドライバが漫然状態であることを、疾患等の他の異常状態と区別して推定することが可能な、ドライバ状態推定装置を提供する。
【解決手段】ドライバ状態推定装置(100)は、走行環境情報とドライバの視線とに基づき、ドライバが漫然状態か否かを推定するように構成されたコントローラ(10)を備え、コントローラは、走行環境情報とドライバの視線とに基づき、ドライバの状態に応じて変化する探索行動の複数の指標について、各々の特徴量x
i
(i=1,...,n)を取得し、取得した特徴量x
i
と、特徴量x
i
の各々について予め設定された重み係数a
i
と、予め設定された定数a
0
とを用いて、シグモイド関数によりドライバが漫然状態である確率を表す漫然確率pを算出し、算出した漫然確率pが所定値以上である状態が所定時間以上継続した場合、ドライバが漫然状態であると推定する。
【選択図】図4
特許請求の範囲
【請求項1】
車両を運転するドライバの状態を推定するドライバ状態推定装置であって、
前記車両の走行環境情報を取得する走行環境情報取得装置と、
前記ドライバの視線を検出する視線検出装置と、
前記走行環境情報と前記ドライバの視線とに基づき、前記ドライバが漫然状態か否かを推定するように構成されたコントローラと、を備え、
前記コントローラは、
前記走行環境情報と前記ドライバの視線とに基づき、前記ドライバの状態に応じて変化する探索行動の複数の指標について、各々の特徴量x
i
(i=1,...,n)を取得し、
取得した前記特徴量x
i
と、前記特徴量x
i
の各々について予め設定された重み係数a
i
と、予め設定された定数a
0
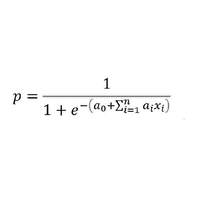
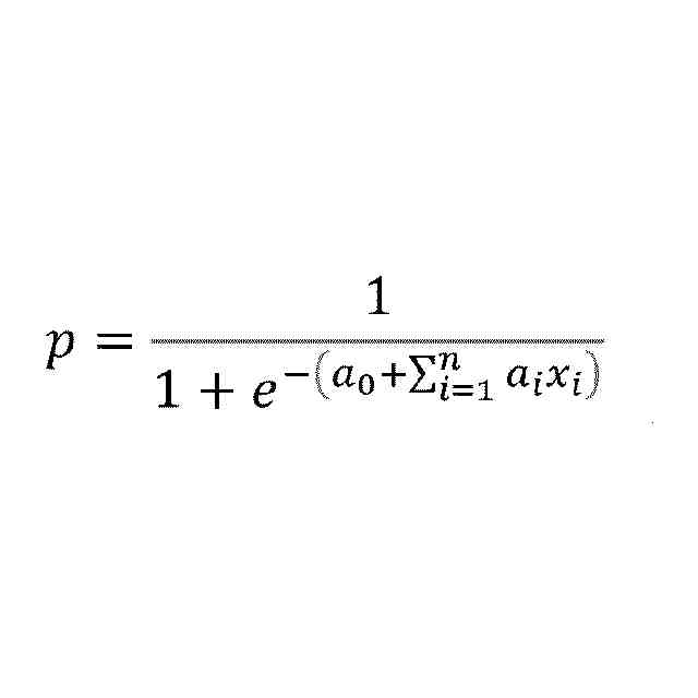
とを用いて、以下の式により前記ドライバが漫然状態である確率を表す漫然確率pを算出し、
TIFF
2025120572000004.tif
20
76
算出した前記漫然確率pが所定値以上である状態が所定時間以上継続した場合、前記ドライバが漫然状態であると推定するように構成されている、
ドライバ状態推定装置。
続きを表示(約 670 文字)
【請求項2】
前記コントローラは、取得した前記特徴量x
i
の各々を、前記走行環境情報に基づき補正するように構成されている、請求項1に記載のドライバ状態推定装置。
【請求項3】
前記コントローラは、前記走行環境情報に基づき、前記車両が走行している道路の勾配を取得し、前記勾配が大きいほど、前記ドライバが漫然状態であると推定され難くなる方向に前記特徴量x
i
を補正するように構成されている、請求項2に記載のドライバ状態推定装置。
【請求項4】
前記コントローラは、前記走行環境情報に基づき、前記車両が走行している道路の曲率を取得し、前記曲率が大きいほど、前記ドライバが漫然状態であると推定され難くなる方向に前記特徴量x
i
を補正するように構成されている、請求項2に記載のドライバ状態推定装置。
【請求項5】
前記コントローラは、前記走行環境情報に基づき、前記車両の外部の照度を取得し、前記照度が低いほど、前記ドライバが漫然状態であると推定され難くなる方向に前記特徴量x
i
を補正するように構成されている、請求項2に記載のドライバ状態推定装置。
【請求項6】
前記コントローラは、前記走行環境情報に基づき、前記車両の速度を取得し、前記速度が高いほど、前記ドライバが漫然状態であると推定され難くなる方向に前記特徴量x
i
を補正するように構成されている、請求項2に記載のドライバ状態推定装置。
発明の詳細な説明
【技術分野】
【0001】
本発明は、車両を運転するドライバの状態を推定するドライバ状態推定装置に関する。
続きを表示(約 1,800 文字)
【背景技術】
【0002】
交通事故の主な原因のひとつとして、運転に対するドライバの集中が欠けている状態、いわゆる漫然状態が挙げられる。従来、漫然状態を検出する技術としては、ドライバの視線が動くときに生じる急激な眼球運動であるサッケードの振幅あたりの移動速度や持続時間が、意識のわき見のときと正常に前方を視認しているときとで相違する、という知見に着目した技術(例えば、特許文献1参照)等が提案されている。
【先行技術文献】
【特許文献】
【0003】
特開2017-224066号公報
【発明の概要】
【発明が解決しようとする課題】
【0004】
しかしながら、上述したような従来の技術では、ドライバが漫然状態ではない場合においても、疾患や加齢等によりドライバの視線の動きの頻度や変化量が変化した場合に、ドライバが漫然状態にあると推定してしまう可能性がある。即ち、従来の技術では、ドライバが漫然状態であることを、疾患等の他の異常状態と区別して正確に推定することが難しい。
【0005】
本発明は、このような問題を解決するためになされたものであり、ドライバが漫然状態であることを、疾患等の他の異常状態と区別して推定することが可能な、ドライバ状態推定装置を提供することを目的としている。
【課題を解決するための手段】
【0006】
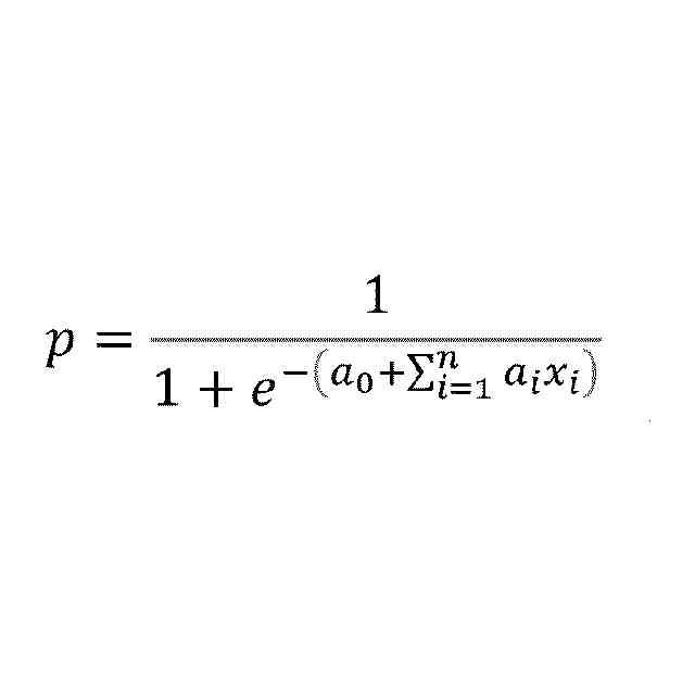
上述した課題を解決するために、本発明は、車両を運転するドライバの状態を推定するドライバ状態推定装置であって、車両の走行環境情報を取得する走行環境情報取得装置と、ドライバの視線を検出する視線検出装置と、走行環境情報とドライバの視線とに基づき、ドライバが漫然状態か否かを推定するように構成されたコントローラと、を備え、コントローラは、走行環境情報とドライバの視線とに基づき、ドライバの状態に応じて変化する探索行動の複数の指標について、各々の特徴量x
i
(i=1,...,n)を取得し、取得した特徴量x
i
と、特徴量x
i
の各々について予め設定された重み係数a
i
と、予め設定された定数a
0
とを用いて、以下の式によりドライバが漫然状態である確率を表す漫然確率pを算出し、
TIFF
2025120572000002.tif
20
76
算出した漫然確率pが所定値以上である状態が所定時間以上継続した場合、ドライバが漫然状態であると推定するように構成されている。
【0007】
このように構成された本発明によれば、コントローラは、ドライバの状態に応じて変化する探索行動の複数の指標について、各々の特徴量x
i
を取得し、取得した特徴量x
i
と、特徴量x
i
の各々について予め設定された重み係数a
i
と、予め設定された定数a
0
とを用いて、シグモイド関数により漫然確率pを算出するので、ドライバの探索行動のいずれかの指標だけに着目するのではなく、複数の指標の各特徴量におけるドライバが漫然状態であるとき特有の変化を総合的に捉えて、ドライバが漫然状態である確率を定量的に評価することにより、ドライバの疾患や加齢等による各特徴量の変化とは区別して漫然状態を推定することができる。
【0008】
本発明において、好ましくは、コントローラは、取得した特徴量x
i
の各々を、走行環境情報に基づき補正するように構成されている。
【0009】
このように構成された本発明によれば、コントローラは、取得した特徴量x
i
の各々を、走行環境情報に基づき補正するので、車両の走行環境による影響を打ち消すように特徴量x
i
を補正し、漫然確率pをより正確に算出することができ、走行環境に起因するドライバ状態の誤推定を防止することができる。
【0010】
本発明において、好ましくは、コントローラは、走行環境情報に基づき、車両が走行している道路の勾配を取得し、勾配が大きいほど、ドライバが漫然状態であると推定され難くなる方向に特徴量x
i
を補正するように構成されている。
(【0011】以降は省略されています)
この特許をJ-PlatPat(特許庁公式サイト)で参照する
関連特許
マツダ株式会社
車載機器
3日前
マツダ株式会社
二次電池
24日前
マツダ株式会社
エンジン
4日前
マツダ株式会社
二次電池
3日前
マツダ株式会社
二次電池
3日前
マツダ株式会社
排気浄化装置
1か月前
マツダ株式会社
運転支援装置
3日前
マツダ株式会社
運転支援装置
3日前
マツダ株式会社
運転支援装置
3日前
マツダ株式会社
排気システム
5日前
マツダ株式会社
排気システム
5日前
マツダ株式会社
排気浄化装置
1か月前
マツダ株式会社
インバータ装置
4日前
マツダ株式会社
インバータ装置
4日前
マツダ株式会社
インバータ装置
4日前
マツダ株式会社
インバータ装置
4日前
マツダ株式会社
車両の前部構造
3日前
マツダ株式会社
車両用駆動装置
1か月前
マツダ株式会社
車両用駆動装置
1か月前
マツダ株式会社
車両用駆動装置
1か月前
マツダ株式会社
車両用駆動装置
1か月前
マツダ株式会社
車両用駆動装置
1か月前
マツダ株式会社
冷媒循環システム
26日前
マツダ株式会社
エンジンシステム
1か月前
マツダ株式会社
エンジンシステム
1か月前
マツダ株式会社
冷媒循環システム
26日前
マツダ株式会社
冷媒循環システム
26日前
マツダ株式会社
冷媒循環システム
26日前
マツダ株式会社
冷媒循環システム
26日前
マツダ株式会社
冷媒循環システム
26日前
マツダ株式会社
冷媒循環システム
26日前
マツダ株式会社
冷媒循環システム
26日前
マツダ株式会社
車両の下部車体構造
14日前
マツダ株式会社
車両の下部車体構造
14日前
マツダ株式会社
車両の下部車体構造
10日前
マツダ株式会社
車両の下部車体構造
10日前
続きを見る
他の特許を見る