TOP
|
特許
|
意匠
|
商標
特許ウォッチ
Twitter
他の特許を見る
10個以上の画像は省略されています。
公開番号
2025158825
公報種別
公開特許公報(A)
公開日
2025-10-17
出願番号
2024061723
出願日
2024-04-05
発明の名称
殺菌又は殺バクテリア組成物及び病害の防除方法
出願人
日産化学株式会社
代理人
主分類
A01N
43/56 20060101AFI20251009BHJP(農業;林業;畜産;狩猟;捕獲;漁業)
要約
【課題】 新規な有害生物防除剤組成物、特に殺菌剤組成物を提供する。
【解決手段】式(I):
【化1】
<com:Image com:imageContentCategory="Drawing"> <com:ImageFormatCategory>JPEG</com:ImageFormatCategory> <com:FileName>2025158825000032.jpg</com:FileName> <com:HeightMeasure com:measureUnitCode="Mm">28</com:HeightMeasure> <com:WidthMeasure com:measureUnitCode="Mm">130</com:WidthMeasure> </com:Image> [GはG-1を表し、G
1
はC
1
~C
6
ハロアルキル等を表し、Tは酸素原子等を表し、R
X
はC
1
~C
6
アルキル等を表し、R
Y
は水素原子等を表し、R
1
は水素原子等を表し、R
2
は水素原子等を表し、R
3
は水素原子等を表し、R
a
は水素原子等を表し、ZはZ-1等を表し、Z
1
はC
1
~C
6
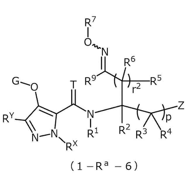
アルキル等を表し、m5及びn5は、0、1、2、3、4又は5の整数を表し、pは0又は1の整数を表す。]で表されるピラゾール化合物又はその塩より選ばれる活性成分Aと、公知の殺菌又は殺バクテリア化合物より選ばれる活性成分Bを含有する、殺菌又は殺バクテリア組成物。
【選択図】 なし
特許請求の範囲
【請求項1】
下記活性成分Aから選ばれる化合物、及び下記活性成分Bから選ばれる化合物を含有する殺菌剤又は殺バクテリア剤組成物。
1)活性成分A:下記式(1)で表されるピラゾール化合物又はその塩。
式(1):
JPEG
2025158825000024.jpg
55
113
[式中、Gは、G-1を表し、
G-1は、下記の構造式で表される構造を表し、
JPEG
2025158825000025.jpg
31
49
G
1
は、ヒドロキシ、ニトロ、シアノ、ハロゲン原子、C
1
~C
6
アルキル、C
3
~C
10
シクロアルキル、C
1
~C
6
ハロアルキル、C
1
~C
6
アルコキシ、R
b
で置換されたC
1
~C
6
アルコキシ、C
1
~C
6
ハロアルコキシ、C
1
~C
6
アルキルチオ、C
1
~C
6
アルキルスルフィニル、C
1
~C
6
アルキルスルホニル、ジ(C
1
~C
6
アルキル)アミノ、C
1
~C
6
アルキルカルボニル、C
1
~C
6
アルコキシカルボニル、C
1
~C
6
アルキルアミノカルボニル、C
3
~C
10
シクロアルキルアミノカルボニル、ジ(C
1
~C
6
アルキル)アミノカルボニル又は-C(=NOR)R’を表し、
G
1
との関係において、m5が2、3、4又は5の整数を示す場合には、各々のG
1
は互いに同一であっても、又は互いに相異なってもよく、
R
b
は、シアノ、C
3
~C
10
シクロアルキル、C
1
~C
6
アルコキシカルボニル、C
1
~C
6
続きを表示(約 1,000 文字)
【請求項2】
前記式(1)で表されるピラゾール化合物において、
G
1
は、ハロゲン原子、C
1
~C
6
アルキル又はC
1
~C
6
ハロアルキルを表し、
Tは、酸素原子を表し、
R
X
は、C
1
~C
6
アルキルを表し、
R
Y
は、水素原子を表し、
R
1
は、水素原子を表し、
R
2
は、水素原子を表し、
R
3
は、水素原子を表し、
R
4
は、水素原子を表し、
R
a
は、水素原子を表し、
Zは、Z-1を表し、
Z
1
は、ハロゲン原子、C
1
~C
6
アルキル又はC
1
~C
6
アルコキシを表し、
m5は、0又は1の整数を表し、
n5は、1又は2の整数を表し、
pは、1の整数を表すピラゾール化合物又はその塩である、請求項1に記載の殺菌剤又は殺バクテリア剤組成物。
【請求項3】
前記活性成分Bが、メタラキシル-M、フルオピラム、フルキサピロキサド、イソピラザム、チフルザミド、ピラクロストロビン、アミスルブロム、フロリルピコキサミド、メチルテトラプロール、ピラプロポイン、キノキシフェン、オキサチアピプロリン、メトコナゾール、プロチオコナゾール、メフェントリフルコナゾール、ジクロベンチアゾクス、マンコゼブ、キャプタン及びシモキサニルから選択される、請求項1又は請求項2に記載の殺菌剤又は殺バクテリア剤組成物。
【請求項4】
請求項1又は請求項2に記載の活性成分Aと、請求項1又は請求項3に記載の活性成分Bとを、同時に又は時間的に近接して処理することによる植物病害又はバクテリアの防除方法。
【請求項5】
請求項1又は請求項2に記載の活性成分Aと、請求項1又は請求項3に記載の活性成分Bとを、同時に又は時間的に近接して種子に処理することによる請求項4に記載の植物病害又はバクテリアの防除方法。
発明の詳細な説明
【技術分野】
【0001】
本発明は、特定の式(1)で表されるピラゾール化合物及びそれらの塩、並びに該化合物及びその塩と、特定の殺菌活性又は殺バクテリア活性を有する化合物とを、混合してなることを特徴とする植物病害防除剤に関するものである。
続きを表示(約 1,200 文字)
【背景技術】
【0002】
本発明の組成物における第1の有効成分化合物である、式(1)で表されるピラゾール化合物は公知化合物であり、その有害生物防除剤としての活性が知られている(例えば、特許文献1参照)。
【0003】
また、本発明の組成物において第2の有効成分化合物である、殺菌活性又は殺バクテリア活性を有する化合物は、全て公知の化合物である(例えば、非特許文献1参照)。
【先行技術文献】
【特許文献】
【0004】
国際公開第2023/243678号
【非特許文献】
【0005】
ザ・ペスティサイド・マニュアル(The Pesticide Manual)16版、The British Crop Protection Council、2012年
【発明の概要】
【発明が解決しようとする課題】
【0006】
農園芸作物の病害に対する防除剤の開発が進み、多種多様な薬剤が今日まで実用に供されてきた。しかしながら、こうした薬剤の長年にわたる使用により、近年、病原菌が薬剤抵抗性を獲得し、従来用いられてきた既存の殺菌剤による防除が困難となる場面が増えてきている。また、既存の薬剤の一部のものは毒性が高く、あるものは環境中に長期間残留することにより、生態系を攪乱するという問題も顕在化しつつある。このような状況下、高度な防除活性ならびに対象となる作物に対する高い安全性を有するのみならず、低毒性且つ低残留性の新規な薬剤の開発が常に期待されている。
【課題を解決するための手段】
【0007】
本発明者らは、上記の課題解決を目標に鋭意研究を重ねた結果、本発明に係る下記式(1)ピラゾール化合物又はその塩(活性成分A)と、特定の殺菌活性又は殺バクテリア活性を有する化合物(活性成分B)とを併せて含有する組成物が、それぞれを単独で用いる場合からは予測し得ない、相加的で、優れた殺菌効果又は殺バクテリア効果を奏することを見い出した。即ち、上記の組成物は、優れた植物病害防除活性を示し、且つ、植物やホ乳動物、魚類、有用昆虫及び天敵等の非標的生物に対してほとんど悪影響の無い、極めて有用であることを見いだし、本発明を完成した。
【0008】
すなわち、本発明は下記〔1〕~〔3〕の組成物(以下、本発明組成物と称する。)、及び〔4〕~〔5〕の防除方法(以下、本発明方法と称する。)に関するものである。
【0009】
〔1〕
下記活性成分Aから選ばれる化合物、及び下記活性成分Bから選ばれる化合物を含有する殺菌剤又は殺バクテリア剤組成物。
1)活性成分A:下記式(1)で表されるピラゾール化合物又はその塩。
【0010】
式(1):
(【0011】以降は省略されています)
この特許をJ-PlatPat(特許庁公式サイト)で参照する
関連特許
日産化学株式会社
導電性結着層形成用組成物
2か月前
日産化学株式会社
イシクラゲ防除剤及びその方法
1か月前
日産化学株式会社
低誘電正接シリカ粒子及びその製造方法
1か月前
国立大学法人九州大学
発光性イオン結晶
1か月前
日産化学株式会社
ポリイミドの製造方法及び感光性樹脂組成物
7日前
日産化学株式会社
殺菌又は殺バクテリア組成物及び病害の防除方法
1か月前
日産化学株式会社
ロタキサン分散中空シリカゾル及びその製造方法
7日前
日産化学株式会社
液晶配向剤、液晶配向膜、液晶表示素子及びその製造方法
1か月前
日産化学株式会社
シリカ二次粒子と該シリカ二次粒子を含む膜形成用組成物
29日前
日産化学株式会社
液晶配向剤、液晶配向膜、液晶表示素子及びその製造方法
1か月前
日産化学株式会社
接着剤組成物、積層体、及び加工された半導体基板の製造方法
1か月前
日産化学株式会社
薬液耐性保護膜
1か月前
日産化学株式会社
含フッ素アニリン誘導体
1か月前
日産化学株式会社
レジスト下層膜形成組成物
22日前
日産化学株式会社
EUVレジスト下層膜形成組成物
9日前
日産化学株式会社
EUVレジスト下層膜形成組成物
1か月前
日産化学株式会社
塑性流体を用いた微生物の保管方法
1か月前
国立大学法人九州大学
有機非線形光学化合物を用いた光変調導波路素子の製造方法
1か月前
日産化学株式会社
炭化水素系アイオノマーおよびフッ素系樹脂を含有する触媒組成物及び固体高分子形燃料電池
8日前
日産化学株式会社
環式カルボニル化合物を用いたレジスト下層膜形成組成物
1か月前
日産化学株式会社
酸二無水物の反応生成物を含むレジスト下層膜形成組成物
1か月前
日産化学株式会社
ジオール構造を末端に有する重合生成物を含む薬液耐性保護膜形成組成物
1か月前
イー-ビジョン スマート オプティックス, インク.
多深度液晶電極層レンズ
1か月前
個人
蠅捕獲器
1か月前
個人
草刈り鋏
1か月前
個人
釣り用錘
11日前
個人
蜜蜂保護装置
22日前
個人
噴霧器ノズル
9日前
個人
草刈機用回転刃
1か月前
個人
種子の製造方法
28日前
個人
昆虫捕集器
28日前
株式会社剛樹
釣り竿
7日前
井関農機株式会社
作業車両
1か月前
個人
可動リップ付きルアー
14日前
株式会社ナベル
表示システム
17日前
個人
餌付き針の餌取り防止具
17日前
続きを見る
他の特許を見る