TOP
|
特許
|
意匠
|
商標
特許ウォッチ
Twitter
他の特許を見る
10個以上の画像は省略されています。
公開番号
2025158430
公報種別
公開特許公報(A)
公開日
2025-10-17
出願番号
2024060952
出願日
2024-04-04
発明の名称
管路推定システム、管路推定方法、および管路推定プログラム
出願人
株式会社日立製作所
代理人
青稜弁理士法人
主分類
G06Q
50/08 20120101AFI20251009BHJP(計算;計数)
要約
【課題】埋設管路の実在位置について、管理データと実測データに基づく推定データとを精度よく整合させ、高い信頼性で、管路の実在位置を推定する。
【解決手段】地中に埋設された管路に対して、実測データに基づき推定された推定部分管路を有する推定部分管路データと、管理データとして記録された複数の管路の位置を含む管路管理データとを入力し、管路管理データが有する少なくとも1つの管路を候補管路とし、推定部分管路データが有する推定部分管路について、候補管路の位置との距離をそれぞれ算出し対応付けた距離データを出力する距離データ算出部と、推定部分管路データと距離データとを入力し、候補管路ごとに所定の距離を満たす推定部分管路データを抽出する第一の処理と、抽出した推定部分管路データを基に管路の実在位置を推定する第二の処理と、第二の処理によって推定される管路の実在位置を推定管路データとして出力する管路推定部とを有する。
【選択図】 図1
特許請求の範囲
【請求項1】
地中に埋設された管路に対して、
実測データに基づき推定された推定部分管路を有する推定部分管路データと、
管理データとして記録された複数の管路の位置を含む管路管理データとを入力し、
前記管路管理データが有する少なくとも1つの管路を候補管路とし、
前記推定部分管路データが有する前記推定部分管路について、
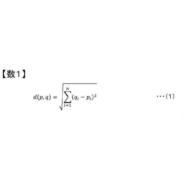
前記候補管路の位置との距離をそれぞれ算出し対応付けた距離データを出力する距離データ算出部と、
前記推定部分管路データと前記距離データとを入力し、
前記候補管路ごとに所定の距離を満たす前記推定部分管路データを抽出する第一の処理と、
抽出した前記推定部分管路データを基に管路の実在位置を推定する第二の処理と、
前記第二の処理によって推定される管路の実在位置を推定管路データとして出力する管路推定部とを有する
ことを特徴とする管路推定システム。
続きを表示(約 1,400 文字)
【請求項2】
前記実測データは、前記地中に埋設された管路に対して地上から電波を照射し、その反射信号を取得することにより生成され、
前記実測データを入力し、前記実測データから前記反射信号を検出することによって前地中に埋設された管路の位置について一部分を推定した前記推定部分管路データを出力する部分管路推定部を有すること
を特徴とする請求項1に記載の管路推定システム。
【請求項3】
前記管路管理データは、記録された複数管路の夫々に対して管種、管径、管材のうち少なくとも1つの管情報を対応付けて有し、
前記管路推定部において、前記管情報をも用いて管路の実在位置を推定すること
を特徴とする請求項1に記載の管路推定システム。
【請求項4】
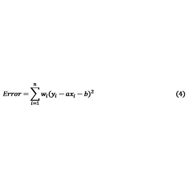
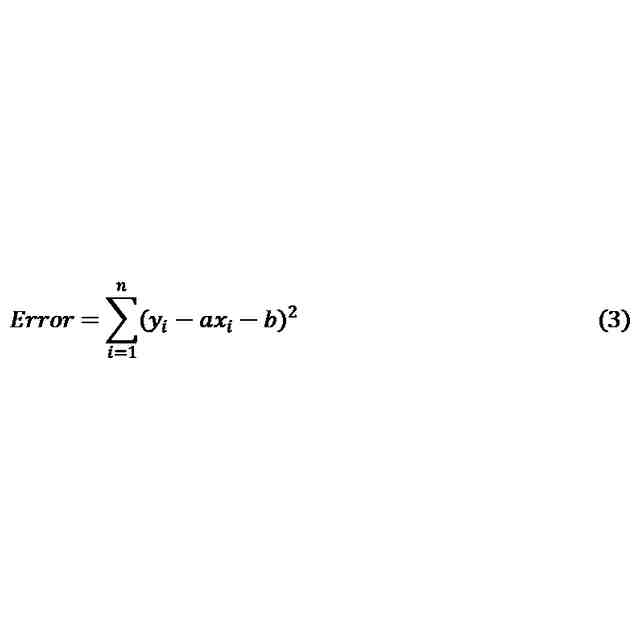
前記管路推定部の第二の処理において、
前記距離データを基に重みを計算し、
前記重みと推定部分管路データとから重み付きの回帰分析により、
管路の実在位置を推定すること
を特徴とする請求項1に記載の管路推定システム。
【請求項5】
前記管路管理データ又は前記推定部分管路データ又はその両方の地理的空間の位置整合性を、
縮尺変換、位置オフセットの加減算、回転、座標参照系変換のうち少なくとも1つの方法を用いて合わせる位置合わせ部を有すること
を特徴とする請求項1に記載の管路推定システム。
【請求項6】
前記管路推定部は、
前記推定部分管路について、各候補管路との距離が所定の距離以上であるか否かを判定し、
前記判定において肯定結果を得た前記推定部分管路の集合を不明部分管路データとして分類し、
前記不明部分管路データをさらに出力すること
を特徴とする請求項1に記載の管路推定システム。
【請求項7】
周囲の物体の位置情報を含む物体管理データをさらに入力し、
前記物体管理データに記録される物体の位置と前記推定管路の距離に基づいて、前記推定管路データを補正する補正部を有すること
を特徴とする請求項1に記載の管路推定システム。
【請求項8】
前記補正部は、
前記推定管路を、予め既定した周辺領域に対して再計算し、
再計算推定管路と前記物体管理データに記録される物体との距離を算定し、
前記物体と前記再計算推定管路の距離が所定未満である前記物体が存在する場合、
前記物体の位置と前記推定管路を構成する前記部分推定管路とから前記推定管路を再推定すること
を特徴とする請求項7に記載の管路推定システム。
【請求項9】
前記推定管路データと前記管路管理データとを入力し、
諸データに記録される管路のデータを図面データとして生成し出力する図面生成部を有すること
を特徴とする請求項1に記載の管路推定システム。
【請求項10】
前記推定管路データと前記管路管理データとを入力し、
諸データに記録される管路情報を図面データとして生成し出力する図面生成部を有すること
を特徴とする請求項2に記載の管路推定システム。
(【請求項11】以降は省略されています)
発明の詳細な説明
【技術分野】
【0001】
本発明は、地中に埋設される管路の実在位置を推定する技術に関する。
続きを表示(約 1,900 文字)
【背景技術】
【0002】
従来、建柱や無電柱化の計画や工事に際して、該当箇所の埋設物や周辺の物体の情報を集約した設計図や施工図が用いられる。これらの図面は、コンピュータ支援設計(Computer-Aided Design、CAD)技術を用いて管理、編集、閲覧される。一方で、管理された各種のデータは、その整備時期が計画・施工時期と異なることによって、該当箇所の実態と乖離することがある。そこで、一般に、該当領域における埋設物の調査が行われる。埋設物の調査においては、種々の方法で測定した埋設物の位置を含む情報を実測に基づいて取得する。これにより、設計情報等の管理データと実態との乖離が解消され、計画や工事の手戻りが軽減される。
【0003】
特許文献1には、埋設物の調査において一つの実測手法として、地中レーダ装置で取得された地中探査画像に基づき、埋設物学習モデルを利用し、自動的に埋設物を推定する技術が開示されている。埋設物学習モデルは、検知対象の地中探査データを学習したニューラルネットワークによって構成される人工知能(Artificial Intelligence、AI)モデルである。
【0004】
また、特許文献2には、実測データと設計情報を基に、設計情報を補正する支援システムが開示されている。当該支援システムでは、設計データと実測データとの間にずれが生じた場合に設計データを実測データに近づけるように自動で修正する手法が公開されている。
【先行技術文献】
【特許文献】
【0005】
特開2022-1203327号公報
特開2020-149386号公報
【発明の概要】
【発明が解決しようとする課題】
【0006】
特許文献1に開示された発明では、実測データとして地中探査画像を用いる。地中探査手法に限らない各種の実測では該当箇所に埋設される管路の位置について、その部分的な情報を得ることしかできない。そのため、ある調査エリアについて、管理データと実測データや実測データのみから推定された推定データの間に差が生じる。
【0007】
特許文献2に開示された発明では、設計データと実測データとの間に生じるずれを算定することで、算定したずれに基づく補正処理をかける。しかしながら、当該発明で想定されない複数の対象物を含む設計、実測データにおいては適用ができない。また、実測データの取得方法によっては、例えば、遮蔽物の存在などにより測定原理に由来する実測不可領域が存在したり、管理データの作成時期によっては、その後新設された管路が当該エリアに存在する。そのため、管理データと実測データあるいは、実測データから推定されたデータ間の対応は、データ全体の差をとることでは判別できない。
【0008】
よって、実測データに基づく推定結果と、管理データの整合性を人手で取りながら、当該エリアの設計や施工に反映させるという作業が必要になるという効率性の問題があった。すなわち、管理データと実測データに基づく推定データとの整合性を保ちつつ、埋設管路の実在位置を推定するための高い信頼性を有した技術が求められている。
【0009】
本発明は、埋設管路の実在位置について、管理データと実測データに基づく推定データとを精度よく整合させ、高い信頼性で、管路の実在位置を推定することが可能な管路推定システム、管路推定方法、および管路推定プログラムを提供することを目的とする。
【課題を解決するための手段】
【0010】
本発明にかかる管路推定システムは、地中に埋設された管路に対して、実測データに基づき推定された推定部分管路を有する推定部分管路データと、管理データとして記録された複数の管路の位置を含む管路管理データとを入力し、前記管路管理データが有する少なくとも1つの管路を候補管路とし、前記推定部分管路データが有する前記推定部分管路について、前記候補管路の位置との距離をそれぞれ算出し対応付けた距離データを出力する距離データ算出部と、前記推定部分管路データと前記距離データとを入力し、前記候補管路ごとに所定の距離を満たす前記推定部分管路データを抽出する第一の処理と、抽出した前記推定部分管路データを基に管路の実在位置を推定する第二の処理と、前記第二の処理によって推定される管路の実在位置を推定管路データとして出力する管路推定部とを有することを特徴とする管路推定システムとして構成される。
【発明の効果】
(【0011】以降は省略されています)
この特許をJ-PlatPat(特許庁公式サイト)で参照する
関連特許
個人
詐欺保険
5日前
個人
縁伊達ポイン
5日前
個人
QRコードの彩色
9日前
個人
地球保全システム
18日前
個人
工程設計支援装置
2か月前
個人
冷凍食品輸出支援構造
1か月前
個人
為替ポイント伊達夢貯
1か月前
個人
表変換編集支援システム
1か月前
個人
農作物用途分配システム
4日前
個人
残土処理システム
11日前
個人
携帯情報端末装置
2か月前
個人
知財出願支援AIシステム
1か月前
個人
結婚相手紹介支援システム
2か月前
個人
知的財産出願支援システム
12日前
個人
パスワード管理支援システム
1か月前
個人
AIによる情報の売買の仲介
1か月前
個人
行動時間管理システム
1か月前
個人
AIキャラクター制御システム
1か月前
個人
パスポートレス入出国システム
1か月前
株式会社キーエンス
受発注システム
17日前
株式会社アジラ
進入判定装置
1か月前
個人
食品レシピ生成システム
17日前
日本精機株式会社
施工管理システム
1か月前
株式会社キーエンス
受発注システム
17日前
株式会社キーエンス
受発注システム
17日前
個人
システム及びプログラム
1か月前
個人
海外支援型農作物活用システム
1か月前
個人
SaaS型勤務調整支援システム
1か月前
個人
音声・通知・再配達UX制御構造
12日前
大同特殊鋼株式会社
疵判定方法
24日前
個人
人格進化型対話応答制御システム
1か月前
個人
食事受注会計処理システム
1か月前
個人
社会還元・施設向け供給支援構造
1か月前
個人
音声対話型帳票生成支援システム
1か月前
大阪瓦斯株式会社
住宅設備機器
1か月前
キヤノン株式会社
表示システム
17日前
続きを見る
他の特許を見る