TOP
|
特許
|
意匠
|
商標
特許ウォッチ
Twitter
他の特許を見る
10個以上の画像は省略されています。
公開番号
2025145159
公報種別
公開特許公報(A)
公開日
2025-10-03
出願番号
2024045197
出願日
2024-03-21
発明の名称
ジオール含有組成物、ポリカーボネートジオール及びポリウレタン
出願人
三菱ケミカル株式会社
代理人
個人
,
個人
主分類
C08G
64/02 20060101AFI20250926BHJP(有機高分子化合物;その製造または化学的加工;それに基づく組成物)
要約
【課題】着色が抑制され色調が良好なポリカーボネートジオールを製造することが可能な、ジオール含有組成物を提供する。
【解決手段】アミン及び下記一般式(I)で表されるジオール(1)を含むジオール含有組成物であって、前記ジオール含有組成物中に含まれる、前記アミンの含有量が、該ジオール含有組成物の総質量に対して、窒素原子換算で0.1質量ppm以上100質量ppm以下である、ポリカーボネートジオールを製造する工程で用いられる、ジオール含有組成物。
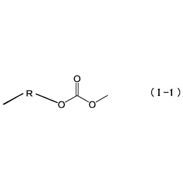
<com:Image com:imageContentCategory="Drawing"> <com:ImageFormatCategory>TIFF</com:ImageFormatCategory> <com:FileName>2025145159000021.tif</com:FileName> <com:HeightMeasure com:measureUnitCode="Mm">16</com:HeightMeasure> <com:WidthMeasure com:measureUnitCode="Mm">140</com:WidthMeasure> </com:Image> (上記一般式(I)中、Rは、置換基又はヘテロ原子を有してもよい、炭素数2~20の炭化水素基を示す。)
【選択図】図1
特許請求の範囲
【請求項1】
ポリカーボネートジオールを製造する工程で用いられるジオール含有組成物であって、
アミン及び下記一般式(I)で表されるジオール(1)を含むジオール含有組成物であり、
前記ジオール含有組成物中に含まれる、前記アミンの含有量が、該ジオール含有組成物の総質量に対して、窒素原子換算で0.1質量ppm以上100質量ppm以下である、ジオール含有組成物。
TIFF
2025145159000018.tif
16
140
(上記一般式(I)中、Rは、置換基又はヘテロ原子を有してもよい、炭素数2~20の炭化水素基を示す。)
続きを表示(約 1,100 文字)
【請求項2】
前記ジオール含有組成物が、さらにアルデヒドを含有する、請求項1に記載のジオール含有組成物。
【請求項3】
前記ジオール(1)が下記一般式(Ia)で表されるジオールを含む、請求項1に記載のジオール含有組成物。
TIFF
2025145159000019.tif
16
140
(上記一般式(1)中、nは、2~20の整数である。)
【請求項4】
前記ジオール(1)が、1,4-ブタンジオール、1,5-ペンタンジオール及び1,6-ヘキサンジオールから選ばれる少なくとも1種を含む、請求項3に記載のジオール含有組成物。
【請求項5】
前記アミンが、1以上のアミノ基及び1以上の官能基を含有し、前記官能基が、水酸基、カルボキシル基、ホルミル基及びアミノ基からなる群より選択される少なくとも1種を含む、請求項1に記載のジオール含有組成物。
【請求項6】
前記アミンが、分子内にアミノ基を有し且つアミノ基以外の官能基を有さないアルキルアミンを含む、請求項1に記載のジオール含有組成物。
【請求項7】
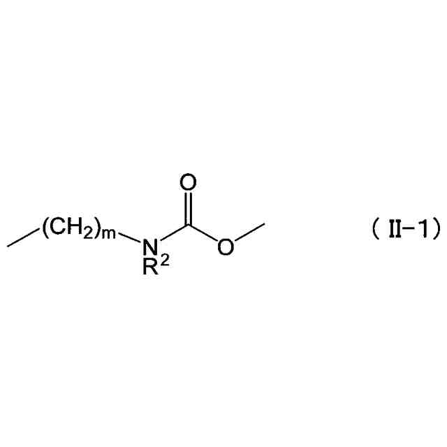
前記アミンが、下記一般式(II)で表されるアミンを含む、請求項1に記載のジオール含有組成物。
TIFF
2025145159000020.tif
17
140
(上記一般式(II)中、R
1
は、X以外の置換基を有していてもよい、r個の置換基Xを有する炭素数2~20のアルキル基を示す。Xは、水酸基、カルボキシル基、ホルミル基、アミノ基のいずれかを示す。rは、1~6の整数である。R
2
は、置換基を有していてもよい、炭素数1~20のアルキル基又は水素原子を示す。一般式(II)中の2個のR
2
は互いに同一であってもよく異なるものであってもよい。)
【請求項8】
前記アミンが、6-アミノ-1-ヘキサノール、6-メチルアミノ-1-ヘキサノール、6-エチルアミノ-1-ヘキサノール、6-ジメチルアミノ-1-ヘキサノール、及び6-ジエチルアミノ-1-ヘキサノールから選ばれる少なくとも1種を含む、請求項7に記載のジオール含有組成物。
【請求項9】
前記ジオール(1)が、バイオマス由来のジオールを含む、請求項1に記載のジオール含有組成物。
【請求項10】
請求項1~9のいずれか一項に記載のジオール含有組成物とカーボネート系化合物を原料とする、ポリカーボネートジオール。
(【請求項11】以降は省略されています)
発明の詳細な説明
【技術分野】
【0001】
本発明は、ジオール含有組成物に関する。
さらに、本発明は、前記ジオール含有組成物を原料とするポリカーボネートジオール、及び、前記ポリカーボネートジオールを原料とするポリウレタンに関する。
続きを表示(約 1,500 文字)
【背景技術】
【0002】
1,6-ヘキサンジオールや1,4-ブタンジオール等のジオールを原料として製造されたポリカーボネートジオールやポリエーテルポリカーボネートジオール、ポリエステルポリカーボネートジオールは、ポリウレタンの原料として広く利用されている(非特許文献1)。
例えば、ポリカーボネートジオールを用いたポリウレタンは、耐熱性及び耐加水分解性に優れるため、耐久性フィルムや自動車用人工皮革、(水系)塗料、接着剤として広く利用されている。
ポリウレタンの製造においては、原料に用いるポリカーボネートジオールの着色が大きいほど、当該ポリカーボネートジオールを用いて製造したポリウレタンの着色も大きくなる傾向があることが知られている。そのため、上述した人工皮革、(水系)塗料、接着剤等の用途においては、ポリウレタンの原料として、着色が抑制され色調の良好なポリカーボネートジオールが要求されている。
【0003】
例えば、特許文献1には、ポリカーボネートジオール含有組成物に特定構造の3級アミノアルコールを配合することで、得られるポリカーボネートの着色を抑え、かつ、ポリイソシアネート化合物との反応性を適度に向上させ、ポリウレタン製造の効率を向上する技術が開示されている。
【先行技術文献】
【特許文献】
【0004】
特開2018-053072号公報
【非特許文献】
【0005】
“ポリウレタンの基礎と応用”96頁~106頁 松永勝治 監修、(株)シーエムシー出版、2006年11月発行
【発明の概要】
【発明が解決しようとする課題】
【0006】
しかしながら、特許文献1に開示されたポリカーボネートジオールは、色調等の品質が不十分という課題があった。また、特許文献1は、ジオール含有組成物に、所定の量のアミンを含有させることによって、着色が抑制され色調が良好なポリカーボネートジオールを得ることについて、何ら言及していない。
そのため、従来技術に従って、1,6-ヘキサンジオール等のジオール含有組成物をポリカーボネートジオールの原料として使用する場合、得られたポリカーボネートジオールの色調や、さらには、当該ポリカーボネートジオールを原料に用いたポリウレタンの色調において、十分に満足し得る結果は得られていない。
【0007】
本発明は、上記課題に鑑みてなされたものであり、着色が抑制され色調が良好なポリカーボネートジオールを製造することが可能な、ジオール含有組成物の提供を課題とする。
【課題を解決するための手段】
【0008】
本発明者らは、上記の課題を解決すべく鋭意研究を重ねた結果、アミンの含有量が特定の範囲内に制御されたジオール含有組成物を、ポリカーボネートジオールの原料として用いることにより、上記課題を解決できることを見出した。
【0009】
本発明は、以下を要旨とする。
【0010】
[1] ポリカーボネートジオールを製造する工程で用いられるジオール含有組成物であって、
アミン及び下記一般式(I)で表されるジオール(1)を含むジオール含有組成物であり、
前記ジオール含有組成物中に含まれる、前記アミンの含有量が、該ジオール含有組成物の総質量に対して、窒素原子換算で0.1質量ppm以上100質量ppm以下である、ジオール含有組成物。
(【0011】以降は省略されています)
この特許をJ-PlatPat(特許庁公式サイト)で参照する
関連特許
三菱ケミカル株式会社
顕色剤及び感熱記録材料
15日前
三菱ケミカル株式会社
積層体及びその製造方法
1日前
三菱ケミカル株式会社
積層ポリエステルフィルム
1日前
三菱ケミカル株式会社
アクリル酸エチルの製造方法
5日前
三菱ケミカル株式会社
チキソ性付与剤、液状組成物
1日前
三菱ケミカル株式会社
硬化性組成物、硬化物、積層体
5日前
三菱ケミカル株式会社
樹脂組成物、硬化物及び接着剤
15日前
三菱ケミカル株式会社
ポリエステル及びその製造方法
1日前
三菱ケミカル株式会社
眼科用医療器具及びその製造方法
2日前
三菱ケミカル株式会社
樹脂分散体、塗料、接着剤及び積層体
1日前
三菱ケミカル株式会社
粘着剤組成物、粘着剤及び粘着シート
1日前
三菱ケミカル株式会社
粘着剤組成物、粘着剤及び粘着シート
15日前
三菱ケミカル株式会社
共重合体、医療用コーティング剤及び医療機器
15日前
三菱ケミカル株式会社
共重合体、感光性樹脂組成物、硬化物、積層体
15日前
三菱ケミカル株式会社
共重合体、感光性樹脂組成物、硬化物、積層体
15日前
三菱ケミカル株式会社
ポリビニルアルコール系樹脂組成物ペレット群
5日前
三菱ケミカル株式会社
食品用シート、容器及び電子レンジ加温用容器
3日前
三菱ケミカル株式会社
組成物、粘着剤組成物、粘着剤、及び粘着シート
8日前
三菱ケミカル株式会社
多孔エレクトレットフィルム及び積層圧電シート
5日前
三菱ケミカル株式会社
エポキシ樹脂組成物、硬化物、及び電気・電子部品
5日前
三菱ケミカル株式会社
活性エネルギー線硬化性粘着剤組成物及びその用途
5日前
三菱ケミカル株式会社
粒子、成形材料、成形体、およびそれらの製造方法
2日前
三菱ケミカル株式会社
酸変性ポリエステル系樹脂、生分解性接着剤、及び積層体
1日前
三菱ケミカル株式会社
粒子及び粒子の製造方法と、樹脂組成物及びその製造方法
2日前
三菱ケミカル株式会社
ビニルアルコール系ブロック共重合体およびその製造方法
1日前
三菱ケミカル株式会社
ポリカーボネート樹脂組成物、成形品、レンズおよびフィルム
5日前
三菱ケミカル株式会社
窒化ホウ素凝集粉末、複合材組成物、放熱部材、半導体デバイス
3日前
三菱ケミカル株式会社
窒化ホウ素凝集粉末、複合材組成物、放熱部材、半導体デバイス
3日前
三菱ケミカル株式会社
繊維強化複合材料
4日前
三菱ケミカル株式会社
ジオール含有組成物、ポリカーボネートジオール及びポリウレタン
2日前
三菱ケミカル株式会社
触媒、触媒の製造方法、芳香族化合物及びアミン化合物の製造方法
1日前
三菱ケミカル株式会社
樹脂組成物、樹脂シート、積層体、シート硬化物及び回路基板材料
1日前
三菱ケミカル株式会社
ジオール含有組成物、ポリカーボネートジオール及びポリウレタン
1日前
三菱ケミカル株式会社
金属間化合物担持炭化ジルコニウム触媒を用いた、化合物の製造方法
3日前
三菱ケミカル株式会社
金属間化合物担持炭化ジルコニウム触媒を用いた、化合物の製造方法
3日前
三菱ケミカル株式会社
粘着剤組成物、それを用いてなる粘着剤、粘着シート、および積層体
5日前
続きを見る
他の特許を見る