TOP
|
特許
|
意匠
|
商標
特許ウォッチ
Twitter
他の特許を見る
10個以上の画像は省略されています。
公開番号
2025144177
公報種別
公開特許公報(A)
公開日
2025-10-02
出願番号
2024043833
出願日
2024-03-19
発明の名称
粒子及び粒子の製造方法と、樹脂組成物及びその製造方法
出願人
三菱ケミカル株式会社
代理人
個人
,
個人
主分類
C08F
265/06 20060101AFI20250925BHJP(有機高分子化合物;その製造または化学的加工;それに基づく組成物)
要約
【課題】粉体流動性及び耐ブロッキング性に優れた粒子を提供する。
【解決手段】ブロック共重合体及び/又はグラフト共重合体(A)を含む粒子であって、該ブロック共重合体及び/又はグラフト共重合体(A)が、(メタ)アクリル系重合体(A1)及び(メタ)アクリル系重合体(A2)を含み、該(メタ)アクリル系重合体(A1)が、単独重合体のガラス転移温度(Tg)が80℃より大きいメタクリレートに由来する構造単位及び単独重合体の屈折率(nD20)が1.50以上である(メタ)アクリレートに由来する構造単位を含み、安息角が50°以下である、粒子。
【選択図】図1
特許請求の範囲
【請求項1】
ブロック共重合体及び/又はグラフト共重合体(A)を含む粒子であって、
該ブロック共重合体及び/又はグラフト共重合体(A)が、(メタ)アクリル系重合体(A1)及び(メタ)アクリル系重合体(A2)を含み、
該(メタ)アクリル系重合体(A1)が、単独重合体のガラス転移温度(Tg)が80℃より大きいメタクリレートに由来する構造単位及び単独重合体の屈折率(nD20)が1.50以上である(メタ)アクリレートに由来する構造単位を含み、
以下の方法で測定された安息角が50°以下である、粒子。
<安息角の測定方法>
筒井理化学器械社製のA,B,D粉体特性測定器(A,B,D-72型)を使用し、直径80mmの円板上に粒子を静かに流し落とし山状になるように盛る。この時の円板上に生じた山の左裾の角度を安息角として測定する。
続きを表示(約 1,400 文字)
【請求項2】
前記(メタ)アクリル系重合体(A2)が、単独重合体のガラス転移温度(Tg)が0℃未満であるアルキルアクリレートに由来する構造単位と、芳香族ビニルに由来する構造単位とを含む、請求項1に記載の粒子。
【請求項3】
前記ブロック共重合体及び/又はグラフト共重合体(A)とは異なる(メタ)アクリル系共重合体(B)をさらに含み、該(メタ)アクリル系共重合体(B)のガラス転移温度(Tg)が40℃以上75℃以下である、請求項1に記載の粒子。
【請求項4】
前記ブロック共重合体及び/又はグラフト共重合体(A)の質量平均分子量(Mw)が、20,000以上10,000,000以下である、請求項1に記載の粒子。
【請求項5】
前記(メタ)アクリル系重合体(A2)が、芳香族アクリレート単位に由来する構造単位をさらに含む、請求項1又は2に記載の粒子。
【請求項6】
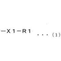
前記(メタ)アクリル系重合体(A1)が、下記一般式(1)で表されるマクロモノマー(a1)に由来する構造単位を含む、請求項1に記載の粒子。
TIFF
2025144177000014.tif
44
142
(式(1)中、R
0
~R
n
は、それぞれ独立に、水素原子、アルキル基、シクロアルキル基、アリール基又は複素環基である。X
1
~X
n
は、それぞれ独立に、水素原子又はメチル基である。Zは、末端基である。nは、1~10,000の自然数である。)
【請求項7】
請求項1~6のいずれかに記載の粒子の製造方法であって、
前記(メタ)アクリル系重合体(A1)及び前記(メタ)アクリル系重合(A2)を含む重合性組成物(X)を懸濁重合によって重合することで、前記ブロック共重合体及び/又はグラフト共重合体(A)を得る工程と、
前記ブロック共重合体及び/又はグラフト共重合体(A)と前記(メタ)アクリル系共重合体(B)とを混合した後に、前記(メタ)アクリル系共重合体(B)のガラス転移温度(Tg)以上の温度で加熱処理する工程とを含む、粒子の製造方法。
【請求項8】
さらに前記(メタ)アクリル系共重合体(B)を乳化重合法で製造する工程を含む、請求項7に記載の粒子の製造方法。
【請求項9】
前記重合性組成物(X)が、下記一般式(1)で表されるマクロモノマー(a1)を含む、請求項7に記載の粒子の製造方法。
TIFF
2025144177000015.tif
44
142
(式(1)中、R
0
~R
n
は、それぞれ独立に、水素原子、アルキル基、シクロアルキル基、アリール基又は複素環基である。X
1
~X
n
は、それぞれ独立に、水素原子又はメチル基である。Zは、末端基である。nは、1~10,000の自然数である。)
【請求項10】
前記重合性組成物(X)がモノマー(a2)を含み、該モノマー(a2)が単独重合体のガラス転移温度(Tg)が0℃未満であるアルキルアクリレートと、芳香族ビニルとを含む、請求項7に記載の粒子の製造方法。
(【請求項11】以降は省略されています)
発明の詳細な説明
【技術分野】
【0001】
本発明は、粉体流動性及び耐ブロッキング性に優れた粒子及びその製造方法と、この粒子とポリカーボネート樹脂を含む樹脂組成物及びその製造方法に関する。
続きを表示(約 2,100 文字)
【背景技術】
【0002】
ポリカーボネート樹脂は一般的に石油資源から誘導される原料を用いて製造される。しかしながら、近年、石油資源の枯渇が危惧されており、植物などのバイオマス資源から得られる原料を用いたポリカーボネート樹脂の提供が求められている。また、二酸化炭素排出量の増加、蓄積による地球温暖化が、気候変動などをもたらすことが危惧されていることからも、使用後の廃棄処分をしてもカーボンニュートラルな、植物由来モノマーを原料としたポリカーボネート樹脂の開発が求められている。
例えば、植物由来モノマーとしてイソソルビド(ISB)を使用し、炭酸ジフェニルとのエステル交換により、ポリカーボネート樹脂を得ることが提案されている(例えば、特許文献1参照)。
【0003】
イソソルビドのようなジヒドロキシ化合物から得られるポリカーボネート樹脂は、光学特性に優れるだけでなく、従来汎用されている芳香族ポリカーボネート樹脂に比べて耐候性や表面硬度に極めて優れるのに対して、引張伸びあるいは応力が集中する部分での耐衝撃性などの機械物性のさらなる改善が求められている。かかる課題に対して、耐衝撃性を改善する手法としてポリカーボネート樹脂にコア・シェル型重合体を添加することで耐衝撃性が改良されることが知られている(例えば、特許文献2参照)。
【0004】
また、イソソルビドをモノマーとして用いたポリカーボネート樹脂にブロック共重合体及び/又はグラフト共重合体を添加し、広い温度域での透明性と耐衝撃性を両立させる方法も提案されている(特許文献3)。
【先行技術文献】
【特許文献】
【0005】
英国特許第1079686号明細書
特許第5927299号公報
国際公開第2022/114157号
【発明の概要】
【発明が解決しようとする課題】
【0006】
本発明者らの検討によれば、前記特許文献2のように、イソソルビドをモノマーとして用いたポリカーボネート樹脂にコア・シェル型重合体を含有させた樹脂組成物は、室温で透明で、且つ優れた耐衝撃性を得られる。しかしながら、成形体を温めると透明性が低下し、ヘイズ値が上昇してしまうという課題があった。
【0007】
特許文献3に開示されているイソソルビドをモノマーとして用いたポリカーボネート樹脂にブロック共重合体及び/又はグラフト共重合体を添加した樹脂組成物は、広い温度域での透明性を維持しながら、成形体の耐衝撃性を向上させることが可能である。ここで用いられているブロック共重合体及び/又はグラフト共重合体の製造方法として、懸濁重合法を用いて該共重合体を粒子として得る方法が挙げられる。懸濁重合法は、重合発熱の制御が容易であり、粒子の洗浄によって不純物除去が可能である点などにおいて、乳化重合法や塊状重合法等の他の重合方法よりも優れた重合方法である。
一方で、懸濁重合法で得られる粒子の粉体流動性が良好であることは、製造現場における工程通過性を向上させるために重要である。また、粒子の耐ブロッキング性は長期保存後の粒子の取り扱い性を良好にするために重要である。
しかしながら、特許文献3に記載のブロック共重合体及び/又はグラフト共重合体は、耐ブロッキング性及び工程通過性が不十分であった。
【0008】
本発明は、かかる背景に鑑みてなされたものであり、粉体流動性及び耐ブロッキング性に優れた粒子、該粒子の製造方法、該粒子を含む樹脂組成物、及び該樹脂組成物の製造方法を提供することを目的とするものである。
【課題を解決するための手段】
【0009】
本発明者らは、鋭意検討を重ねた結果、特定の(メタ)アクリル系重合体(A1)と(メタ)アクリル系重合体(A2)とを含むブロック共重合体及び/又はグラフト共重合体(A)を含む粒子により前記課題を解決し得ることを見出した。
即ち、本発明は以下の<1>~<14>を要旨とする。
【0010】
<1> ブロック共重合体及び/又はグラフト共重合体(A)を含む粒子であって、
該ブロック共重合体及び/又はグラフト共重合体(A)が、(メタ)アクリル系重合体(A1)及び(メタ)アクリル系重合体(A2)を含み、
該(メタ)アクリル系重合体(A1)が、単独重合体のガラス転移温度(Tg)が80℃より大きいメタクリレートに由来する構造単位及び単独重合体の屈折率(nD20)が1.50以上である(メタ)アクリレートに由来する構造単位を含み、
以下の方法で測定された安息角が50°以下である、粒子。
<安息角の測定方法>
筒井理化学器械社製のA,B,D粉体特性測定器(A,B,D-72型)を使用し、直径80mmの円板上に粒子を静かに流し落とし山状になるように盛る。この時の円板上に生じた山の左裾の角度を安息角として測定する。
(【0011】以降は省略されています)
この特許をJ-PlatPat(特許庁公式サイト)で参照する
関連特許
三菱ケミカル株式会社
積層体
2日前
三菱ケミカル株式会社
積層体
今日
三菱ケミカル株式会社
積層体
1日前
三菱ケミカル株式会社
粘着剤組成物
2日前
三菱ケミカル株式会社
重合体及び樹脂組成物
今日
三菱ケミカル株式会社
積層体及びその製造方法
6日前
三菱ケミカル株式会社
ポリエステル樹脂組成物
今日
三菱ケミカル株式会社
オルガノポリシロキサン
今日
三菱ケミカル株式会社
ポリウレタンエラストマー
1日前
三菱ケミカル株式会社
積層ポリエステルフィルム
6日前
三菱ケミカル株式会社
チキソ性付与剤、液状組成物
6日前
三菱ケミカル株式会社
液晶組成物及び液晶調光素子
2日前
三菱ケミカル株式会社
ポリエステル及びその製造方法
6日前
三菱ケミカル株式会社
ケイ素及びヘテロ原子含有化合物
1日前
三菱ケミカル株式会社
眼科用医療器具及びその製造方法
7日前
三菱ケミカル株式会社
ポリウレタン樹脂及びその成形品
1日前
三菱ケミカル株式会社
プログラム、方法、情報処理装置
今日
三菱ケミカル株式会社
粘着剤組成物、粘着剤及び粘着シート
6日前
三菱ケミカル株式会社
樹脂分散体、塗料、接着剤及び積層体
6日前
三菱ケミカル株式会社
積層ポリエステルフィルム及びその応用
今日
三菱ケミカル株式会社
ポリエステル系樹脂組成物、及び成形品
今日
三菱ケミカル株式会社
槽の洗浄方法及びシリカ粒子の製造方法
今日
三菱ケミカル株式会社
組成物及び生分解性物質を分解する方法
2日前
三菱ケミカル株式会社
コンポスト袋及び有機廃棄物の処理方法
2日前
三菱ケミカル株式会社
化合物、並びにその製造方法及びその使用
今日
三菱ケミカル株式会社
有機電界発光素子、表示装置及び照明装置
今日
三菱ケミカル株式会社
有機電界発光素子、表示装置及び照明装置
今日
三菱ケミカル株式会社
有機電界発光素子、表示装置及び照明装置
今日
三菱ケミカル株式会社
ポリウレタン又はそのコポリマーの製造方法
1日前
三菱ケミカル株式会社
プログラム、方法、情報処理装置、システム
今日
三菱ケミカル株式会社
食品用シート、容器及び電子レンジ加温用容器
8日前
三菱ケミカル株式会社
コロイド結晶層を含む積層体及びその製造方法
今日
三菱ケミカル株式会社
多孔質支持体-ゼオライト膜複合体の製造方法
1日前
三菱ケミカル株式会社
粒子、成形材料、成形体、およびそれらの製造方法
7日前
三菱ケミカル株式会社
プリプレグ、繊維強化複合材料およびその製造方法
1日前
三菱ケミカル株式会社
(メタ)アクリル系共重合体、及び防汚塗料組成物
今日
続きを見る
他の特許を見る