TOP
|
特許
|
意匠
|
商標
特許ウォッチ
Twitter
他の特許を見る
10個以上の画像は省略されています。
公開番号
2025139541
公報種別
公開特許公報(A)
公開日
2025-09-26
出願番号
2024194183
出願日
2024-11-06
発明の名称
システム、情報処理装置、プログラム、及び方法
出願人
ソフトバンク株式会社
代理人
弁理士法人RYUKA国際特許事務所
主分類
G01S
3/20 20060101AFI20250918BHJP(測定;試験)
要約
【解決手段】テラヘルツ波帯又は高SHF帯の電波を放射する電波放射部を有する第1アンテナ装置と、電波受信部と、外部からの電波を反射し且つ形状が板状である反射部と、前記反射部を前記電波受信部に対して回転移動させることによって、前記反射部が外部からの電波を反射するときの前記反射部の回転角度を変更する角度変更部とを有する第2アンテナ装置と、前記第2アンテナ装置が前記第1アンテナ装置によって放射される電波を前記反射部の複数の測定角度で受信することによって測定された複数の測定データを取得する取得部と、前記複数の測定データに基づいて、前記第1アンテナ装置によって放射され且つ前記反射部の回転角度が前記複数の測定角度に含まれないターゲット回転角度であるときの前記第2アンテナ装置によって受信される電波を決定する決定部とを有する情報処理装置とを備える、システムを提供する。
【選択図】図1
特許請求の範囲
【請求項1】
テラヘルツ波帯又は高SHF(Super High Frequency)帯の電波を放射する電波放射部を有する第1アンテナ装置と、
電波受信部と、外部からの電波を反射し且つ形状が板状である反射部と、前記反射部を前記電波受信部に対して回転移動させることによって、前記反射部が外部からの電波を反射するときの前記反射部の回転角度を変更する角度変更部とを有する第2アンテナ装置と、
前記第2アンテナ装置が前記第1アンテナ装置によって放射される電波を複数の測定角度の前記反射部で反射して受信することによって測定された複数の測定データを取得する取得部と、前記複数の測定データに基づいて、前記第1アンテナ装置によって放射され且つ前記反射部の回転角度が前記複数の測定角度に含まれないターゲット回転角度であるときの前記第2アンテナ装置によって受信される電波を決定する決定部とを有する情報処理装置と
を備える、システム。
続きを表示(約 2,500 文字)
【請求項2】
前記電波放射部は、前記第2アンテナ装置が電波を受信している間、位置及び角度が固定された状態で電波を放射する、請求項1に記載のシステム。
【請求項3】
前記決定部は、前記第1アンテナ装置によって放射され且つ前記反射部の回転角度が前記複数の測定角度の各測定角度であるときの前記第2アンテナ装置によって受信される電波を合成させた場合の電波に基づいて、前記第1アンテナ装置によって放射され且つ前記反射部の回転角度が前記ターゲット回転角度であるときの前記第2アンテナ装置によって受信される電波を決定する、請求項1又は2に記載のシステム。
【請求項4】
前記決定部は、前記複数の測定データに基づいて合成開口処理を実行することにより、前記反射部が反射して前記電波受信部が受信する電波を、前記反射部に関して前記電波受信部の位置と対称な位置に位置する仮想アンテナが受信する電波とみなすことによって、前記第1アンテナ装置によって放射され且つ前記反射部の回転角度が前記ターゲット回転角度であるときの前記第2アンテナ装置によって受信される電波を決定する、請求項3に記載のシステム。
【請求項5】
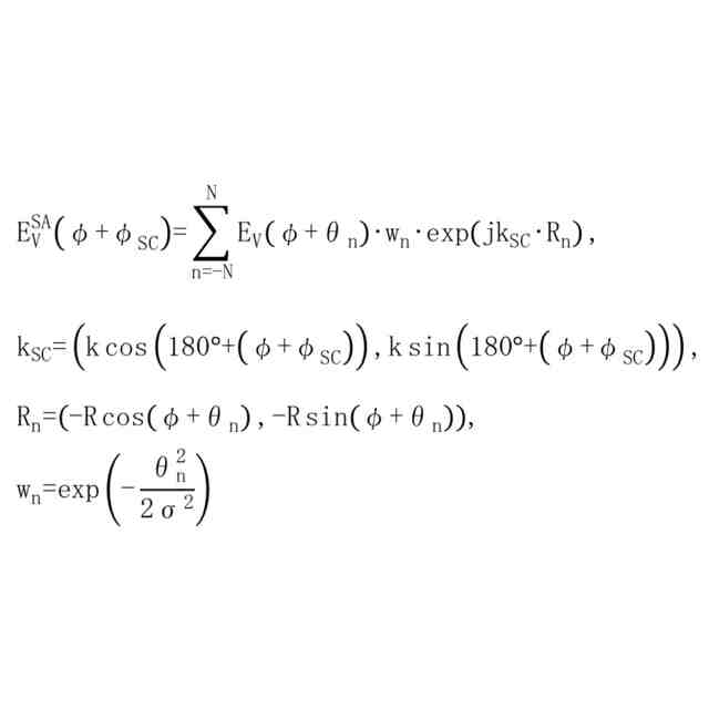
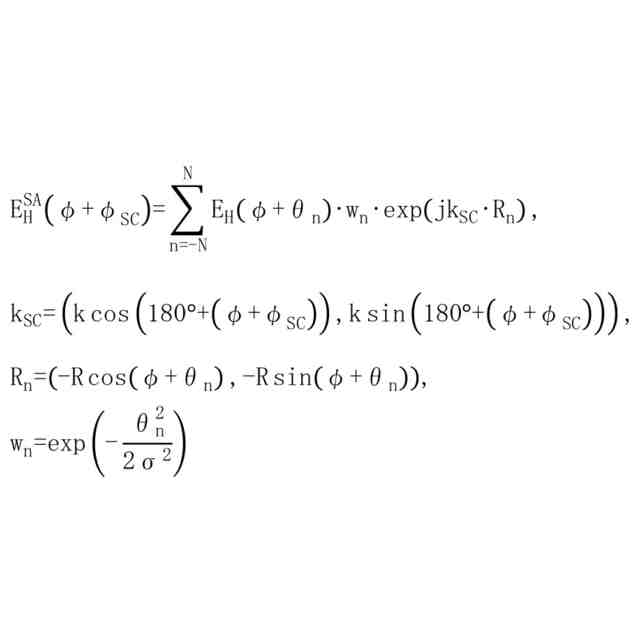
前記決定部は、下記の数式を用いて、前記合成開口処理を実行し、
JPEG
2025139541000010.jpg
59
118
ここで、
JPEG
2025139541000011.jpg
11
30
は前記第1アンテナ装置によって放射され且つ前記反射部の回転角度が前記ターゲット回転角度であるときの前記仮想アンテナによって受信される電波の垂直偏波成分の電界強度であり、φ+φ
SC
は前記ターゲット回転角度であり、φは前記複数の測定角度の中心の測定角度であり、φ
SC
はオフセット角度であり、E
V
(φ+θ
n
)は前記第1アンテナ装置によって放射され且つ前記反射部の測定角度がφ+θ
n
であるときの前記仮想アンテナによって受信される電波の垂直偏波成分の電界強度であり、θ
n
はn×ASであり、ASは前記複数の測定角度の第1角度間隔であり、w
n
はガウス窓であり、k
SC
は前記反射部の回転角度が前記ターゲット回転角度であるときの前記仮想アンテナによって受信される電波の波数ベクトルであり、R
n
は前記反射部の測定角度がφ+θ
n
であるときの前記仮想アンテナの位置ベクトルであり、Rは前記反射部から前記仮想アンテナまでの距離であり、σは前記ガウス窓の幅を定める標準偏差である、
請求項4に記載のシステム。
【請求項6】
前記角度変更部は、前記反射部を前記電波受信部に対して1回転以上回転移動させ、
前記情報処理装置は、前記第2アンテナ装置が前記反射部を前記電波受信部に対して1回転以上回転移動させて前記第1アンテナ装置によって放射される電波を受信することによって測定された複数の測定データのうち、前記第1アンテナ装置によって放射され且つ前記反射部の回転角度が前記ターゲット回転角度であるときの前記第2アンテナ装置によって受信される電波を決定するために用いられる前記複数の測定データを選択する選択部をさらに有し、
前記決定部は、前記選択部によって選択された前記複数の測定データに基づいて、前記第1アンテナ装置によって放射され且つ前記反射部の回転角度が前記ターゲット回転角度であるときの前記第2アンテナ装置によって受信される電波を決定する、
請求項1又は2に記載のシステム。
【請求項7】
前記角度変更部は、前記反射部が前記第1アンテナ装置によって放射される電波を予め定められた第1角度間隔の前記複数の測定角度で反射するように、前記反射部を前記電波受信部に対して回転移動させ、
前記決定部は、前記第1アンテナ装置によって放射され且つ前記反射部の回転角度が予め定められた第2角度間隔の複数の前記ターゲット回転角度の各ターゲット回転角度であるときの前記第2アンテナ装置によって受信される電波を決定する、
請求項1又は2に記載のシステム。
【請求項8】
前記第2角度間隔は、前記第1角度間隔より短い角度間隔である、請求項7に記載のシステム。
【請求項9】
前記決定部は、前記第1アンテナ装置によって放射され且つ前記反射部の回転角度が前記複数の測定角度の各測定角度であるときの前記第2アンテナ装置によって受信される電波の電界強度と、前記第1アンテナ装置によって放射され且つ前記反射部の回転角度が複数の前記ターゲット回転角度の各ターゲット回転角度であるときの前記第2アンテナ装置によって受信される電波の電界強度とに基づいて、前記第1アンテナ装置によって放射される電波が最大の電界強度で前記第2アンテナ装置に到来する場合の前記反射部の回転角度を決定する、請求項1又は2に記載のシステム。
【請求項10】
電波受信部と、外部からの電波を反射し且つ形状が板状である反射部と、前記反射部を前記電波受信部に対して回転移動させることによって、前記反射部が外部からの電波を反射するときの前記反射部の回転角度を変更する角度変更部とを有する、第2アンテナ装置が、第1アンテナ装置が有する電波放射部によって放射されるテラヘルツ波帯又は高SHF帯の電波を複数の測定角度の前記反射部で反射して受信することによって測定された複数の測定データを取得する取得部と、
前記複数の測定データに基づいて、前記第1アンテナ装置によって放射され且つ前記反射部の回転角度が前記複数の測定角度に含まれないターゲット回転角度であるときの前記第2アンテナ装置によって受信される電波を決定する決定部と
を備える、情報処理装置。
(【請求項11】以降は省略されています)
発明の詳細な説明
【技術分野】
【0001】
本発明は、システム、情報処理装置、プログラム、及び方法に関する。
続きを表示(約 2,600 文字)
【背景技術】
【0002】
特許文献1には、テラヘルツ波帯の電波の出射方向と受信指向方向との組み合わせを特定する技術について記載されている。特許文献2には、アンテナ装置の反射部の調整に応じて電波の偏波を変更する技術について記載されている。特許文献3には、方位走査を回転駆動装置で行う反射鏡方式のアンテナ装置において、電気的な可動接点をなくすとともに、反射鏡と自由空間の間の電波路を一次放射器が遮蔽しないように構成したアンテナ装置について記載されている。非特許文献1には、回転反射鏡を用いた測定法に合成開口型到来方向測定法を適用する技術について記載されている。
[先行技術文献]
[特許文献]
[特許文献1]特許第7246537号公報
[特許文献2]特許第7301911号
[特許文献3]特開2007-251664号公報
[非特許文献]
「非特許文献1」山口 良、豊見本 和馬著、「回転反射鏡を用いた合成開口型到来方向測定法の検討―1次放射器鏡像による凹形円弧仮想アレー合成ビーム生成法―」電子情報通信学会、2020年12月、p.29-32
【発明の概要】
【課題を解決するための手段】
【0003】
本発明の一実施態様によれば、システムが提供される。前記システムは、テラヘルツ波帯又は高SHF(Super High Frequency)帯の電波を放射する電波放射部を有する第1アンテナ装置を備えてよい。前記システムは、電波受信部と、外部からの電波を反射し且つ形状が板状である反射部と、前記反射部を前記電波受信部に対して回転移動させることによって、前記反射部が外部からの電波を反射するときの前記反射部の回転角度を変更する角度変更部とを有する第2アンテナ装置を備えてよい。前記システムは、前記第2アンテナ装置が前記第1アンテナ装置によって放射される電波を複数の測定角度の前記反射部で反射して受信することによって測定された複数の測定データを取得する取得部と、前記複数の測定データに基づいて、前記第1アンテナ装置によって放射され且つ前記反射部の回転角度が前記複数の測定角度に含まれないターゲット回転角度であるときの前記第2アンテナ装置によって受信される電波を決定する決定部とを有する情報処理装置を備えてよい。
【0004】
前記システムにおいて、前記電波放射部は、前記第2アンテナ装置が電波を受信している間、位置及び角度が固定された状態で電波を放射してよい。
【0005】
前記いずれかのシステムにおいて、前記決定部は、前記第1アンテナ装置によって放射され且つ前記反射部の回転角度が前記複数の測定角度の各測定角度であるときの前記第2アンテナ装置によって受信される電波を合成させた場合の電波に基づいて、前記第1アンテナ装置によって放射され且つ前記反射部の回転角度が前記ターゲット回転角度であるときの前記第2アンテナ装置によって受信される電波を決定してよい。
【0006】
前記いずれかのシステムにおいて、前記決定部は、前記複数の測定データに基づいて合成開口処理を実行することにより、前記反射部が反射して前記電波受信部が受信する電波を、前記反射部に関して前記電波受信部の位置と対称な位置に位置する仮想アンテナが受信する電波とみなすことによって、前記第1アンテナ装置によって放射され且つ前記反射部の回転角度が前記ターゲット回転角度であるときの前記第2アンテナ装置によって受信される電波を決定してよい。
【0007】
前記いずれかのシステムにおいて、前記決定部は、下記の数式を用いて、前記合成開口処理を実行してよい。
【0008】
JPEG
2025139541000002.jpg
60
116
【0009】
JPEG
2025139541000003.jpg
9
30
は前記第1アンテナ装置によって放射され且つ前記反射部の回転角度が前記ターゲット回転角度であるときの前記仮想アンテナによって受信される電波の垂直偏波成分の電界強度であってよく、φ+φ
SC
は前記ターゲット回転角度であってよく、φは前記複数の測定角度の中心の測定角度であってよく、φ
SC
はオフセット角度であってよく、E
V
(φ+θ
n
)は前記第1アンテナ装置によって放射され且つ前記反射部の測定角度がφ+θ
n
であるときの前記仮想アンテナによって受信される電波の垂直偏波成分の電界強度であってよく、θ
n
はn×ASであってよく、ASは前記複数の測定角度の第1角度間隔であってよく、w
n
はガウス窓であってよく、k
SC
は前記反射部の回転角度が前記ターゲット回転角度であるときの前記仮想アンテナによって受信される電波の波数ベクトルであってよく、R
n
は前記反射部の測定角度がφ+θ
n
であるときの前記仮想アンテナの位置ベクトルであってよく、Rは前記反射部から前記仮想アンテナまでの距離であってよく、σは前記ガウス窓の幅を定める標準偏差であってよい。
【0010】
前記いずれかのシステムにおいて、前記角度変更部は、前記反射部を前記電波受信部に対して1回転以上回転移動させてよく、前記情報処理装置は、前記第2アンテナ装置が前記反射部を前記電波受信部に対して1回転以上回転移動させて前記第1アンテナ装置によって放射される電波を受信することによって測定された複数の測定データのうち、前記第1アンテナ装置によって放射され且つ前記反射部の回転角度が前記ターゲット回転角度であるときの前記第2アンテナ装置によって受信される電波を決定するために用いられる前記複数の測定データを選択する選択部をさらに有してよく、前記決定部は、前記選択部によって選択された前記複数の測定データに基づいて、前記第1アンテナ装置によって放射され且つ前記反射部の回転角度が前記ターゲット回転角度であるときの前記第2アンテナ装置によって受信される電波を決定してよい。
(【0011】以降は省略されています)
この特許をJ-PlatPat(特許庁公式サイト)で参照する
関連特許
ソフトバンク株式会社
情報処理装置及び情報処理プログラム
1日前
ソフトバンク株式会社
情報処理装置及び情報処理プログラム
1日前
ソフトバンク株式会社
システム、プログラム、及び認証方法
1日前
ソフトバンク株式会社
電子機器、プログラム、及び制御方法
1日前
ソフトバンク株式会社
電子機器、プログラム、及び制御方法
1日前
ソフトバンク株式会社
画像処理装置、プログラム、及び画像処理方法
1日前
ソフトバンク株式会社
画像処理装置、プログラム、及び画像処理方法
1日前
ソフトバンク株式会社
画像処理装置、プログラム、及び画像処理方法
1日前
ソフトバンク株式会社
システム、情報処理装置、プログラム、及び方法
4日前
ソフトバンク株式会社
システム、情報処理装置、プログラム、及び方法
4日前
ソフトバンク株式会社
情報処理装置、システム、情報処理方法及び制御プログラム
1日前
ソフトバンク株式会社
管理システム、管理システムの制御方法、及び管理システムの制御プログラム
5日前
ソフトバンク株式会社
管理システム、管理システムの制御方法、及び管理システムの制御プログラム
5日前
ソフトバンク株式会社
情報処理装置、情報処理装置の制御方法、情報処理装置の制御プログラム、通信端末、通信端末の制御方法、及び通信端末の制御プログラム
1日前
個人
計量スプーン
21日前
個人
微小振動検出装置
1か月前
株式会社イシダ
X線検査装置
1か月前
大和製衡株式会社
組合せ秤
4日前
大和製衡株式会社
組合せ秤
4日前
株式会社辰巳菱機
システム
1か月前
アンリツ株式会社
分光器
27日前
アンリツ株式会社
分光器
27日前
株式会社東芝
センサ
1か月前
株式会社ユーシン
操作検出装置
1日前
株式会社東芝
センサ
4日前
トヨタ自動車株式会社
表示装置
13日前
ダイハツ工業株式会社
測定用具
25日前
トヨタ自動車株式会社
検査装置
1日前
株式会社東芝
センサ
4日前
TDK株式会社
磁気センサ
21日前
TDK株式会社
磁気センサ
28日前
株式会社ナリス化粧品
角層細胞採取用具
11日前
株式会社ヨコオ
コンタクタ
25日前
個人
粘塑性を用いた有限要素法の定式化
13日前
東レエンジニアリング株式会社
計量装置
1日前
日本精工株式会社
分注装置
1か月前
続きを見る
他の特許を見る