TOP
|
特許
|
意匠
|
商標
特許ウォッチ
Twitter
他の特許を見る
公開番号
2025139308
公報種別
公開特許公報(A)
公開日
2025-09-26
出願番号
2024038164
出願日
2024-03-12
発明の名称
感光性組成物
出願人
株式会社日本触媒
代理人
弁理士法人WisePlus
主分類
C08F
220/30 20060101AFI20250918BHJP(有機高分子化合物;その製造または化学的加工;それに基づく組成物)
要約
【課題】優れた破断強度と靭性を有する硬化物を与えることができる感光性組成物を提供する。
【解決手段】一般式(1)で表される多官能(メタ)アクリレート(A)と、脂環式構造を有する単官能(メタ)アクリレート(B)と、芳香族構造を有する単官能(メタ)アクリレート(C)と、光重合開始剤(D)とを含む感光性組成物。
<com:Image com:imageContentCategory="Drawing"> <com:ImageFormatCategory>TIFF</com:ImageFormatCategory> <com:FileName>2025139308000007.tif</com:FileName> <com:HeightMeasure com:measureUnitCode="Mm">53</com:HeightMeasure> <com:WidthMeasure com:measureUnitCode="Mm">156</com:WidthMeasure> </com:Image>
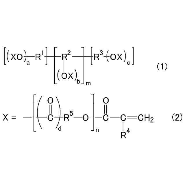
(R
1
及びR
3
は、同一又は異なって、1~4価の芳香環を含まない有機基、R
2
は、2~4価の芳香環を含まない有機基、Xは、一般式(2)で表される構造を表す。)
【選択図】なし
特許請求の範囲
【請求項1】
下記一般式(1)で表される多官能(メタ)アクリレート(A)と、脂環式構造を有する単官能(メタ)アクリレート(B)と、下記一般式(3)で表される芳香族構造を有する単官能(メタ)アクリレート(C)と、光重合開始剤(D)とを含む感光性組成物。
TIFF
2025139308000005.tif
53
156
(式(1)中、R
1
及びR
3
は、同一又は異なって、1~4価の芳香環を含まない有機基を表す。R
2
は、2~4価の芳香環を含まない有機基を表す。Xは、一般式(2)で表される構造を表す。a及びcは、同一又は異なって、0~3の整数を表し、bは0~2の整数を表し、mは、0~6の整数を表し、a+bm+c≧5を満たす。
式(2)中、R
4
は、水素原子又はメチル基を表す。R
5
は、炭素数1~8のアルキレン基を表す。dは、同一又は異なって、0又は1の整数を表す。nは、1~3の整数を表す。)
TIFF
2025139308000006.tif
42
156
(式(3)中、R
6
は、水素原子又はメチル基を表す。R
7
は、炭素数1~3のアルキレン基を表す。R
8
、R
9
及びR
10
は、同一又は異なって、水素原子、アルコキシ基、又は、置換基を有してもよい、アルキル基、アリール基、アラルキル基もしくはアリールオキシ基を表す。R
8
、R
9
及びR
10
のうち少なくとも1つは、アルコキシ基、又は、置換基を有してもよい、アルキル基、アリール基、アラルキル基もしくはアリールオキシ基を表す。R
8
とR
9
、又は、R
9
とR
10
は互いに結合して芳香環を形成していてもよい。eは、同一又は異なって、0又は1の整数を表し、fは1~3の整数を表す。)
続きを表示(約 520 文字)
【請求項2】
前記光重合開始剤(D)は、アシルフォスフィンオキサイド系光重合開始剤である請求項1に記載の感光性組成物。
【請求項3】
前記多官能(メタ)アクリレート(A)の含有割合は、感光性組成物100質量%中、40~90質量%である請求項1に記載の感光性組成物。
【請求項4】
前記芳香族構造を有する単官能(メタ)アクリレート(C)の含有割合は、感光性組成物100質量%中、4~30質量%である請求項1に記載の感光性組成物。
【請求項5】
前記脂環式構造を有する単官能(メタ)アクリレート(B)の含有割合は、感光性組成物100質量%中、5~30質量%である請求項1に記載の感光性組成物。
【請求項6】
前記光重合開始剤(D)の含有割合は、感光性組成物100質量%中、0.1~2質量%である請求項1に記載の感光性組成物。
【請求項7】
25℃における粘度は、100mPa・s以上である請求項1に記載の感光性組成物。
【請求項8】
前記感光性組成物を硬化してなる硬化物のガラス転移温度が、10~60℃である請求項1に記載の感光性組成物。
発明の詳細な説明
【技術分野】
【0001】
本発明は、感光性組成物に関する。より詳しくは、優れた破断強度、及び靭性を有する硬化物を与えることができる感光性組成物に関する。
続きを表示(約 1,800 文字)
【背景技術】
【0002】
光によって反応・硬化しうる感光性組成物は、例えば、液晶表示装置等に用いられるカラーフィルター、フォトレジスト、インク、ハードコート、光学フィルム等の、各種の光学部材や電機・電子機器等の様々な用途への適用が検討され、各用途で要求される特性に優れた樹脂組成物の開発がなされている。近年では、光学部材や電機・電子機器等の小型化・薄型化・省エネルギー化が進みつつあり、それに伴って、使用される各種部材等にはより高品位な性能が要望されている。そのような要望に応えるため、各種部材等の材料となる感光性組成物について研究が行われている。
【0003】
これまでに、様々な感光性組成物が提案されている。
例えば、特許文献1には、活性エネルギー線に対する反応性に優れ、優れた耐候性及び耐摩耗性を有する硬化被膜を形成しうるものとして、ラジカル重合性化合物100質量%中、特定の、カプロラクトンにより変性されたモノ又はポリペンタエリスリトールポリ(メタ)アクリレート化合物10~80質量%、イソシアヌレート骨格含有ウレタン(メタ)アクリレート化合物20~40質量%を含んでなる活性エネルギー線硬化型被覆組成物が開示されている。
【0004】
また、例えば、特許文献2には、光重合性モノマーと光重合性オリゴマーとのうち少なくとも一方を含む光重合性化合物、酸化チタン、重合開始剤を含有し、上記重合開始剤として、アシルフォスフィンオキサイド系重合開始剤とフェニルグリオキシレート系重合開始剤を含有する感光性樹脂組成物が開示されている。また、特許文献3には、ε-カプロラクトンを開環した構造を有する(メタ)アクリレート化合物と、炭素数8以上の炭化水素基及びエチレンオキサイド基を有するリン酸エステル化合物とを含む活性エネルギー線硬化型コーティング樹脂組成物が記載されている。
【0005】
また、例えば、特許文献4には、硬化後に金型からの離型性に優れ、かつ耐水性に優れる硬化性組成物として、特定の4~6官能の(メタ)アクリレートと、脂環式骨格を有する2官能(メタ)アクリレートと、特定の2価の有機基を分子内に有する3~6官能(メタ)アクリレートと、特定の光重合開始剤とを含む活性エネルギー線硬化性組成物が記載されている。また、特許文献5には、単官能ラジカル重合性不飽和化合物と、多官能ラジカル重合性不飽和化合物と、特定の重合開始剤と、着色剤を含むラジカル重合性インク組成物が記載されている。
【先行技術文献】
【特許文献】
【0006】
特開2010-111810号公報
国際公開第2016/092718号
特開2017-025217号公報
特開2019-94484号公報
特開2016-176043号公報
【発明の概要】
【発明が解決しようとする課題】
【0007】
ところで、このような感光性組成物をハードコートやオーバーコート、光学フィルム等の形成に使用する場合、破断強度が高く、靭性にも優れることが望ましい。しかしながら、従来の感光性組成物では、破断強度と靭性のいずれにも優れた硬化物を得ることは容易ではなかった。
【0008】
本発明は、上記現状に鑑みてなされたものであり、優れた破断強度と靭性を有する硬化物を与えることができる感光性組成物を提供することを目的とする。
【課題を解決するための手段】
【0009】
本発明者は、感光性組成物について種々検討したところ、特定の多官能(メタ)アクリレートと、脂環式構造を有する単官能(メタ)アクリレートと、特定の芳香族構造を有する単官能(メタ)アクリレートと、光重合開始剤を含むことにより、優れた破断強度と靭性を有する硬化物を与えることができることを見いだし、本発明を完成するに至った。
【0010】
すなわち、本発明は、下記の態様を含む。
<1>下記一般式(1)で表される多官能(メタ)アクリレート(A)と、脂環式構造を有する単官能(メタ)アクリレート(B)と、下記一般式(3)で表される芳香族構造を有する単官能(メタ)アクリレート(C)と、光重合開始剤(D)とを含む感光性組成物。
(【0011】以降は省略されています)
この特許をJ-PlatPat(特許庁公式サイト)で参照する
関連特許
株式会社カネカ
断熱材
1か月前
東ソー株式会社
ペレット
1か月前
ユニチカ株式会社
透明シート
3か月前
ユニチカ株式会社
透明シート
2か月前
株式会社コバヤシ
成形体
2か月前
東ソー株式会社
エチレン系重合体
2日前
東ソー株式会社
ゴム用接着性改質剤
1か月前
東レ株式会社
引抜成形品の製造方法
3か月前
東レ株式会社
ポリエステルフィルム
1か月前
東レ株式会社
ポリエステルフィルム
2か月前
東ソー株式会社
プラスチゾル組成物
1か月前
丸住製紙株式会社
変性パルプ
2か月前
住友精化株式会社
吸水剤の製造方法
2か月前
東ソー株式会社
エチレン系重合用触媒
1か月前
東ソー株式会社
樹脂組成物および蓋材
2か月前
東ソー株式会社
樹脂組成物および蓋材
2か月前
横浜ゴム株式会社
重荷重タイヤ
2か月前
東レ株式会社
ポリプロピレンフィルム
2か月前
UBE株式会社
衝撃吸収材
2か月前
株式会社信日康
香料を含有するポリマー
2日前
株式会社信日康
香料を含有するポリマー
2日前
日本特殊陶業株式会社
樹脂成形体
2か月前
アイカ工業株式会社
光硬化性樹脂組成物
2か月前
株式会社スリーボンド
硬化性樹脂組成物
2か月前
住友ベークライト株式会社
ポリマー
1か月前
株式会社カネカ
硬化性組成物
3か月前
住友化学株式会社
樹脂組成物
2か月前
株式会社カネカ
シーリング材
1か月前
ノリタケ株式会社
担体構造体
1か月前
住友ベークライト株式会社
ポリマー
1か月前
東レ株式会社
シート、硬化物、硬化接着物
2日前
株式会社カネカ
硬化性組成物
2か月前
三洋化成工業株式会社
熱成形用樹脂組成物
2か月前
日本特殊陶業株式会社
賦形体
18日前
株式会社サンエー化研
フィルム
1か月前
東レ株式会社
ポリエステル組成物の製造方法
2か月前
続きを見る
他の特許を見る