TOP
|
特許
|
意匠
|
商標
特許ウォッチ
Twitter
他の特許を見る
公開番号
2025114156
公報種別
公開特許公報(A)
公開日
2025-08-05
出願番号
2024008665
出願日
2024-01-24
発明の名称
冷凍米飯弁当
出願人
味の素株式会社
代理人
個人
,
個人
,
個人
,
個人
,
個人
,
個人
,
個人
,
個人
主分類
A23B
2/80 20250101AFI20250729BHJP(食品または食料品;他のクラスに包含されないそれらの処理)
要約
【課題】冷凍・解凍の過程での米飯における水分減少・風味劣化が抑制された冷凍米飯弁当、冷凍・解凍の過程での米飯における食感の低下が改善された冷凍米飯弁当等を提供すること。
【解決手段】容器中の下部に敷き詰められた調理済みの米飯およびその上に重ねて配置された調理済みの副食を有する、容器入り冷凍米飯弁当であって、該容器中の該調理済みの米飯の高さが該容器の内寸における高さの2分の1未満であり、該調理済みの副食が該調理済みの米飯の表面の85%以上を覆っていることを特徴とする、該冷凍米飯弁当等を提供する。
【選択図】なし
特許請求の範囲
【請求項1】
容器中の下部に敷き詰められた調理済みの米飯およびその上に重ねて配置された調理済みの副食を有する、容器入り冷凍米飯弁当であって、該容器中の該調理済みの米飯の高さが該容器の内寸における高さの8分の5未満であり、該調理済みの副食が該調理済みの米飯の表面の80%以上を覆っていることを特徴とする、該冷凍米飯弁当。
続きを表示(約 480 文字)
【請求項2】
調理済みの米飯が、5重量%~40重量%の、麦、もち米および雑穀米から選択される1つ以上を含むうるち米を調理して得られる米飯である、請求項1に記載の弁当。
【請求項3】
調理済みの米飯が、5重量%~40重量%の押し麦を含むうるち米を調理して得られる米飯である、請求項1に記載の弁当。
【請求項4】
容器中の下部に調理済みの米飯を、該容器中の該調理済みの米飯の高さが該容器の内寸における高さの8分の5未満となるように敷き詰める工程、および、その上に調理済みの副食を、該調理済みの副食が該調理済みの米飯の表面の80%以上を覆うように配置する工程を含む、冷凍米飯弁当の製造方法。
【請求項5】
調理済みの米飯が、5重量%~40重量%の、麦、もち米および雑穀米から選択される1つ以上を含むうるち米を調理して得られる米飯である、請求項4に記載の製造方法。
【請求項6】
調理済みの米飯が、5重量%~40重量%の押し麦を含むうるち米を調理して得られる米飯である、請求項4に記載の製造方法。
発明の詳細な説明
【技術分野】
【0001】
本発明は、冷凍米飯弁当等に関する。
続きを表示(約 3,300 文字)
【背景技術】
【0002】
近年、電子レンジによる加熱調理を行うだけで簡単に喫食できるという利便性の高さ等が消費者に好まれ、冷凍弁当を含む、数多くの冷凍食品が市販されている。一方、冷凍米飯については、冷凍・解凍の過程で水分および風味が失われること、解凍時の加熱ムラにより加熱食感と呈味が劣化すること等が知られており、市場に存在する冷凍弁当のうち米飯を含む商品は非常に少ない。
【0003】
特許文献1は、米飯を含む固形食品を冷凍固化した冷凍固形食品部の上に流動性食品を冷凍固化した冷凍流動性食品部が重ねて配され、冷凍流動性食品部の表面に具材を冷凍固化した冷凍具材が露出している調理済み冷凍食品において、それぞれを特定の質量比で含むこと等により、解凍した調理済み食品において、流動性食品が固形食品の上に見栄えよく配され、且つ解凍ムラが無く食感が良好な調理済み冷凍食品が得られることを開示している。しかしながら、実施例において具体的に記載されているのは、固形食品としてスパゲティを用いた調理済み冷凍食品のみである。
【先行技術文献】
【特許文献】
【0004】
特開2018-121586号公報
【発明の概要】
【発明が解決しようとする課題】
【0005】
本発明は、上述の事情に鑑みてなされたものであり、冷凍米飯に特有の、冷凍・解凍の過程での米飯における水分減少・風味劣化が抑制された冷凍米飯弁当、冷凍・解凍の過程での米飯における食感の低下が改善された冷凍米飯弁当等を提供することにある。
【課題を解決するための手段】
【0006】
本発明者らは、上記課題に対して鋭意検討した結果、冷凍米飯弁当において、容器中の米飯の高さを該容器の内寸の高さの8分の5未満とし、副食を米飯の表面を覆うように配置することにより、冷凍米飯特有の、冷凍・解凍の過程での米飯における水分減少・風味劣化を抑制し、冷凍・解凍の過程での米飯における食感の低下を改善できることを見出し、かかる知見に基づいてさらに研究を進めることによって、本発明を完成するに至った。
すなわち、本発明は、以下のとおりである。
【0007】
[1] 容器中の下部に敷き詰められた調理済みの米飯およびその上に重ねて配置された調理済みの副食を有する、容器入り冷凍米飯弁当であって、該容器中の該調理済みの米飯の高さが該容器の内寸における高さの8分の5未満であり、該調理済みの副食が該調理済みの米飯の表面の80%以上を覆っていることを特徴とする、該冷凍米飯弁当。
[2] 調理済みの米飯が、5重量%~40重量%の、麦、もち米および雑穀米から選択される1つ以上を含むうるち米を調理して得られる米飯である、上記[1]に記載の弁当。
[3] 調理済みの米飯が、5重量%~40重量%の押し麦を含むうるち米を調理して得られる米飯である、上記[1]に記載の弁当。
[4] 容器中の下部に調理済みの米飯を、該容器中の該調理済みの米飯の高さが該容器の内寸における高さの8分の5未満となるように敷き詰める工程、および、その上に調理済みの副食を、該調理済みの副食が該調理済みの米飯の表面の80%以上を覆うように配置する工程を含む、冷凍米飯弁当の製造方法。
[5] 調理済みの米飯が、5重量%~40重量%の、麦、もち米および雑穀米から選択される1つ以上を含むうるち米を調理して得られる米飯である、上記[4]に記載の製造方法。
[6]調理済みの米飯が、5重量%~40重量%の押し麦を含むうるち米を調理して得られる米飯である、上記[4]に記載の製造方法。
【発明の効果】
【0008】
本発明により、冷凍・解凍の過程での米飯における水分減少・風味劣化が抑制された冷凍米飯弁当、冷凍・解凍の過程での米飯における食感の低下が改善された冷凍米飯弁当等を提供することができる。
【図面の簡単な説明】
【0009】
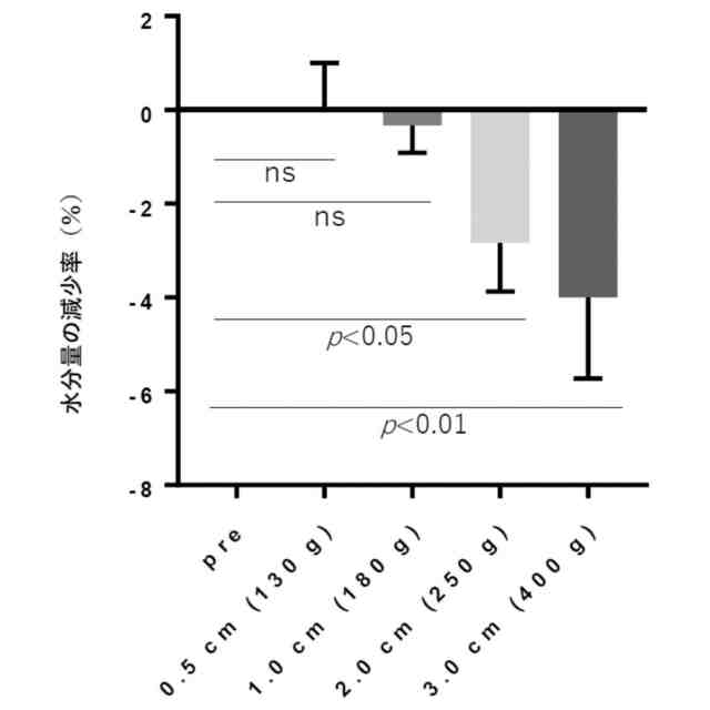
図1は、実施例1において測定した、冷凍・解凍前後での炊飯した白米における水分量の減少率を示す図である。縦軸は、冷凍・解凍前からの水分量の減少率を表し、横軸は、炊飯した白米の高さ(白米の重量)を表す(preは、冷凍・解凍前を表す)。また、nsは、冷凍・解凍前の水分量と有意差がなかったことを示し、p<0.05およびp<0.01は、それぞれ冷凍・解凍前の水分量と有意差(Dunnett’s multiple comparisons test)があったことを示し、エラーバーは、標準誤差を示す。
図2は、実施例2において、餃子(未解凍品)を10個、8個、6個、4個または0個(左上から右下)、米飯の表面に配置した状態を示す写真である。
図3は、実施例2において測定した、冷凍・解凍前後での炊飯した白米における水分量の減少率を示す図である。縦軸は、冷凍・解凍前からの水分量の減少率を表し、横軸は、餃子で覆われた炊飯した白米の割合を表す(preは、冷凍・解凍前を表す)。また、エラーバーは、標準誤差を示す。
図4は、試験例1において試験した、官能評価の結果を示す図である。縦軸は、評価スコアを表し、横軸は、白米(R)と押し麦(O)との比率を表し(例えば、「R100:O0」は、「白米:押し麦=100:0」を表す)、「w/o Gyoza」は、表面に餃子を1個も配置していないことを意味する。また、nsは、白米:押し麦=100:0の場合と比較して有意差がなかったことを示し、*、**および***は、白米:押し麦=100:0の場合とそれぞれp<0.05、p<0.01およびp<0.001で有意差(Dunnett’s multiple comparisons test)があったことを示し、エラーバーは、標準誤差を示す。
図5は、実施例4において、唐揚げ(未解凍品)を11個、10個、9個または7個(左から右)、米飯の表面に配置した状態を示す写真である。
図6は、実施例4において測定した、冷凍・解凍前後での炊飯した白米における水分量の減少率を示す図である。縦軸は、冷凍・解凍前からの水分量の減少率を表し、横軸は、唐揚げで覆われた炊飯した白米の割合を表す(preは、冷凍・解凍前を表す)。また、nsは、冷凍・解凍前の水分量と有意差がなかったことを示し、p<0.01およびp<0.001は、それぞれ冷凍・解凍前の水分量と有意差(Dunnett’s multiple comparisons test)があったことを示し、エラーバーは、標準誤差を示す。
図7は、試験例2において試験した、官能評価の結果を示す図である。縦軸は、評価スコアを表し、横軸は、唐揚げで覆われた炊飯した白米の割合を表す。また、nsは、唐揚げがない場合と比較して有意差がなかったことを示し、*、**および***は、唐揚げがない場合とそれぞれp<0.05、p<0.01およびp<0.001で有意差(Dunnett’s multiple comparisons test)があったことを示し、エラーバーは、標準誤差を示す。
【発明を実施するための形態】
【0010】
1.冷凍米飯弁当
本発明は、容器中の下部に敷き詰められた調理済みの米飯およびその上に重ねて配置された調理済みの副食を有する、容器入り冷凍米飯弁当であって、該容器中の該調理済みの米飯の高さが該容器の内寸における高さの8分の5未満であり、該調理済みの副食が該調理済みの米飯の表面の80%以上を覆っていることを特徴とする、該冷凍米飯弁当(以下、「本発明の弁当」ともいう)を提供する。
(【0011】以降は省略されています)
この特許をJ-PlatPat(特許庁公式サイト)で参照する
関連特許
味の素株式会社
樹脂組成物
1か月前
味の素株式会社
樹脂組成物
2か月前
味の素株式会社
樹脂組成物
1か月前
味の素株式会社
樹脂組成物
2か月前
味の素株式会社
樹脂シート
1か月前
味の素株式会社
樹脂組成物
1か月前
味の素株式会社
樹脂組成物
1か月前
味の素株式会社
樹脂組成物
2か月前
味の素株式会社
樹脂組成物
2か月前
味の素株式会社
樹脂組成物
1か月前
味の素株式会社
樹脂組成物
1か月前
味の素株式会社
樹脂組成物
1か月前
味の素株式会社
樹脂組成物
2か月前
味の素株式会社
樹脂組成物
7日前
味の素株式会社
樹脂シート
3日前
味の素株式会社
樹脂シート
3日前
味の素株式会社
樹脂組成物
3か月前
味の素株式会社
樹脂組成物
3か月前
味の素株式会社
樹脂組成物
7日前
味の素株式会社
冷凍米飯弁当
1か月前
味の素株式会社
風味増強方法
2か月前
味の素株式会社
シリコーン樹脂
2か月前
味の素株式会社
感光性樹脂組成物
21日前
味の素株式会社
豆腐調理用組成物
2か月前
味の素株式会社
積層体の製造方法
13日前
味の素株式会社
感光性樹脂組成物
1か月前
味の素株式会社
熱硬化性樹脂組成物
7日前
味の素株式会社
改ざん防止用シール
2か月前
味の素株式会社
光導波路の製造方法
2か月前
味の素株式会社
乾麺用調味料組成物
2か月前
味の素株式会社
金属箔付き樹脂シート
3か月前
味の素株式会社
金属箔付き樹脂シート
3か月前
味の素株式会社
グリシンを含有する飲料
2か月前
味の素株式会社
プリント配線板の製造方法
22日前
味の素株式会社
乾燥麺の製造方法及び酵素製剤
1か月前
味の素株式会社
金属箔を含まない密閉容器入り調味料
1か月前
続きを見る
他の特許を見る