TOP
|
特許
|
意匠
|
商標
特許ウォッチ
Twitter
他の特許を見る
10個以上の画像は省略されています。
公開番号
2025115629
公報種別
公開特許公報(A)
公開日
2025-08-07
出願番号
2024010189
出願日
2024-01-26
発明の名称
感光性樹脂組成物
出願人
味の素株式会社
代理人
弁理士法人酒井国際特許事務所
主分類
G03F
7/004 20060101AFI20250731BHJP(写真;映画;光波以外の波を使用する類似技術;電子写真;ホログラフイ)
要約
【課題】硬化物の優れた誘電特性を維持したまま、露光量を大きくしても露光後の絶縁層表面やビアにひび割れが生じにくい、すなわち露光のプロセスウィンドウが広い感光性樹脂組成物を提供する。
【解決手段】(A)ポリイミド前駆体、(B)架橋剤、(C)光ラジカル発生剤、及び(D)下記式(D-1)で表される構造を有する化合物、を含有する感光性樹脂組成物。
【化1】
<com:Image com:imageContentCategory="Drawing"> <com:ImageFormatCategory>TIFF</com:ImageFormatCategory> <com:FileName>2025115629000069.tif</com:FileName> <com:HeightMeasure com:measureUnitCode="Mm">21</com:HeightMeasure> <com:WidthMeasure com:measureUnitCode="Mm">170</com:WidthMeasure> </com:Image> (式中、環Arは置換基を有していてもよい芳香環を表し、*は結合手を表す。)
【選択図】なし
特許請求の範囲
【請求項1】
(A)ポリイミド前駆体、
(B)架橋剤、
(C)光ラジカル発生剤、及び
(D)下記式(D-1)で表される構造を有する化合物、
を含有する感光性樹脂組成物。
TIFF
2025115629000065.tif
21
170
(式中、環Arは置換基を有していてもよい芳香環を表し、*は結合手を表す。)
続きを表示(約 990 文字)
【請求項2】
式(D-1)中、環Arが、置換基を有していてもよい単環式芳香環である、請求項1に記載の感光性樹脂組成物。
【請求項3】
式(D-1)中、環Arが、ベンゼン環である、請求項1に記載の感光性樹脂組成物。
【請求項4】
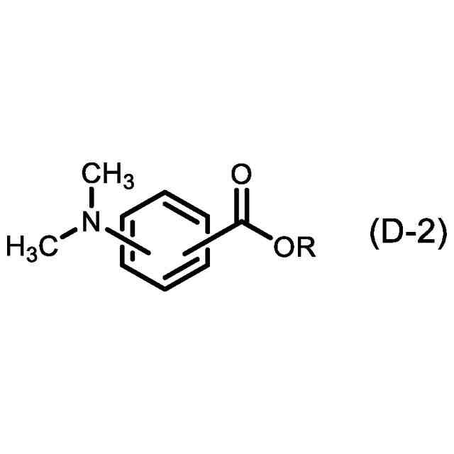
(D)成分が、下記式(D-2)で表される化合物である、請求項3に記載の感光性樹脂組成物。
TIFF
2025115629000066.tif
18
170
(式中、Rは炭素原子数1~20のアルキル基を表す。)
【請求項5】
(D)成分が、下記式(D-3)で表される化合物である、請求項3に記載の感光性樹脂組成物。
TIFF
2025115629000067.tif
18
170
(式中、Xは2価の有機基を表す。)
【請求項6】
式(D-3)中、Xが、炭素原子、窒素原子及び酸素原子から選ばれる骨格原子からなる、骨格原子数1~50の2価の飽和鎖状基である、請求項5に記載の感光性樹脂組成物。
【請求項7】
式(D-3)中、Xが、下記式(D-4)で表される2価の有機基である、請求項5に記載の感光性樹脂組成物。
TIFF
2025115629000068.tif
20
170
(式中、Yはそれぞれ独立に、酸素原子、又は-NR’-(Nは窒素原子、R’は炭素原子数1~20のアルキル基を表す)を表し、*は結合手を表す。pはそれぞれ独立に1~10の整数を表す。qは1~10の整数、n’は0~10の整数を表す。)
【請求項8】
(D)成分の、波長365nmにおける吸光係数ε(L・g
-1
・cm
-1
)が4L・g
-1
・cm
-1
以下である、請求項1に記載の感光性樹脂組成物。
【請求項9】
(C)成分が、分子内開裂型光ラジカル発生剤である、請求項1に記載の感光性樹脂組成物。
【請求項10】
(C)成分が、オキシムエステル系光ラジカル発生剤である、請求項1に記載の感光性樹脂組成物。
(【請求項11】以降は省略されています)
発明の詳細な説明
【技術分野】
【0001】
本発明は、感光性樹脂組成物に関する。さらには、当該感光性樹脂組成物を用いて得られる、感光性フィルム、半導体パッケージ基板、半導体装置、及び半導体パッケージ基板の製造方法に関する。
続きを表示(約 3,400 文字)
【背景技術】
【0002】
従来、半導体デバイスの絶縁層には、耐熱性や絶縁性等に優れるポリイミド樹脂が用いられている。また、ポリイミド樹脂は溶剤への溶解性が低いため、感光性樹脂組成物においては、ポリイミド前駆体の状態で使用し、絶縁層等を形成した後、ポリイミド前駆体を環化して絶縁層を形成することも行われている(例えば特許文献1参照)。
【先行技術文献】
【特許文献】
【0003】
特開2003-084435号公報
国際公開第2020/004500号
【発明の概要】
【発明が解決しようとする課題】
【0004】
近年、通信機器における通信の高速化・大容量化に伴い、通信機器の半導体パッケージ基板に使用される感光性樹脂組成物においても、優れた解像性と共に、硬化物の誘電率・誘電正接が低いという優れた誘電特性や、高い光透過性が求められてきている。
【0005】
半導体デバイスの絶縁層の光透過性を高めるため、可視光(波長400~780nm)、及び可視光に近い紫外線A波(320~400nm)の吸収が小さい化合物が、感光性樹脂組成物の各成分として用いられる。例えば特許文献2には、0.1wt%N-メチルピロリドン溶液のi線吸光度が0.1~0.6のポリイミド前駆体を使用することが記載されている。
【0006】
しかしながら、本発明者等の検討によると、光透過性の高い感光性樹脂組成物を薄膜の絶縁層に利用すると、光透過性が高すぎるために露光時に過剰な光ラジカル反応が起こり、光硬化収縮により、露光後の絶縁層表面やビアにひび割れが生じる場合があることが判明した。過剰な光ラジカル反応を抑制するために、露光量を減少させることも考えられるが、露光のプロセスウィンドウが狭くなり、工業レベルで安定的に半導体デバイスを製造する上で問題となる場合がある。
【0007】
本発明は、上記課題に鑑みてなされたものであって、硬化物の優れた誘電特性を維持したまま、露光量を大きくしても露光後の絶縁層表面やビアにひび割れが生じにくい、すなわち露光のプロセスウィンドウが広い感光性樹脂組成物を提供することを目的とする。
【課題を解決するための手段】
【0008】
本発明者らが鋭意検討した結果、ポリイミド前駆体、架橋剤、光ラジカル発生剤、及び特定の構造を有する化合物を含有する感光性樹脂組成物を用いることにより、前記の課題を解決できることを見出し、本発明を完成させた。
【0009】
すなわち、本発明は以下の内容を含む。
[1] (A)ポリイミド前駆体、
(B)架橋剤、
(C)光ラジカル発生剤、及び
(D)下記式(D-1)で表される構造を有する化合物、
を含有する感光性樹脂組成物。
TIFF
2025115629000001.tif
21
170
(式中、環Arは置換基を有していてもよい芳香環を表し、*は結合手を表す。)
[2] 式(D-1)中、環Arが、置換基を有していてもよい単環式芳香環である、[1]に記載の感光性樹脂組成物。
[3] 式(D-1)中、環Arが、ベンゼン環である、[1]又は[2]に記載の感光性樹脂組成物。
[4] (D)成分が、下記式(D-2)で表される化合物である、[1]~[3]のいずれかに記載の感光性樹脂組成物。
TIFF
2025115629000002.tif
18
170
(式中、Rは炭素原子数1~20のアルキル基を表す。)
[5] (D)成分が、下記式(D-3)で表される化合物である、[1]~[4]のいずれかに記載の感光性樹脂組成物。
TIFF
2025115629000003.tif
18
170
(式中、Xは2価の有機基を表す。)
[6] 式(D-3)中、Xが、炭素原子、窒素原子及び酸素原子から選ばれる骨格原子からなる、骨格原子数1~50の2価の飽和鎖状基である、[5]に記載の感光性樹脂組成物。
[7] 式(D-3)中、Xが、下記式(D-4)で表される2価の有機基である、[5]又は[6]に記載の感光性樹脂組成物。
TIFF
2025115629000004.tif
20
170
(式中、Yはそれぞれ独立に、酸素原子、又は-NR’-(Nは窒素原子、R’は炭素原子数1~20のアルキル基を表す)を表し、*は結合手を表す。pはそれぞれ独立に1~10の整数を表す。qは1~10の整数、n’は0~10の整数を表す。)
[8] (D)成分の、波長365nmにおける吸光係数ε(L・g
-1
・cm
-1
)が4L・g
-1
・cm
-1
以下である、[1]~[7]のいずれかに記載の感光性樹脂組成物。
[9] (C)成分が、分子内開裂型光ラジカル発生剤である、[1]~[8]のいずれかに記載の感光性樹脂組成物。
[10] (C)成分が、オキシムエステル系光ラジカル発生剤である、[1]~[9]のいずれかに記載の感光性樹脂組成物。
[11] (A)成分が、インダン骨格を含有するポリイミド前駆体である、[1]~[10]のいずれかに記載の感光性樹脂組成物。
[12] (B)成分の官能基数が3~6である、[1]~[11]のいずれかに記載の感光性樹脂組成物。
[13] (B)成分が(メタ)アクリレートである、[1]~[12]のいずれかに記載の感光性樹脂組成物。
[14] (A)成分に対する(D)成分の質量比[(D)成分/(A)成分]が10
-4
~10
-1
である、[1]~[13]のいずれかに記載の感光性樹脂組成物。
[15] (B)成分に対する(D)成分の質量比[(D)成分/(B)成分]が0.01~1である、[1]~[14]のいずれかに記載の感光性樹脂組成物。
[16] (C)成分に対する(D)成分の質量比[(D)成分/(C)成分]が0.01~10である、[1]~[15]のいずれかに記載の感光性樹脂組成物。
[17] (A)成分の含有量が、感光性樹脂組成物の不揮発成分を100質量%としたとき、70~98質量%である、[1]~[16]のいずれかに記載の感光性樹脂組成物。
[18] (D)成分の含有量が、感光性樹脂組成物の不揮発成分を100質量%としたとき、0.05~5質量%である、[1]~[17]のいずれかに記載の感光性樹脂組成物。
[19] 支持体上に、[1]~[18]のいずれかに記載の感光性樹脂組成物からなる感光性樹脂組成物層が形成されている、感光性フィルム。
[20] 厚さが1~30μmである、[19]に記載の感光性フィルム。
[21] [1]~[18]のいずれかに記載の感光性樹脂組成物の硬化物により形成された絶縁層を含む半導体パッケージ基板。
[22] [21]に記載の半導体パッケージ基板を含む、半導体装置。
[23] 回路基板上に、[1]~[18]のいずれかに記載の感光性樹脂組成物を含む感光性樹脂組成物層を形成する工程と、
感光性樹脂組成物層に活性光線を照射する工程と、
感光性樹脂組成物層を現像する工程と、
を含む、半導体パッケージ基板の製造方法。
【発明の効果】
【0010】
本発明によれば、硬化物の優れた誘電特性を維持したまま、露光量を大きくしても露光後の絶縁層表面やビアにひび割れが生じにくい、すなわち露光のプロセスウィンドウが広い感光性樹脂組成物、当該感光性樹脂組成物を用いて得られる、感光性フィルム、半導体パッケージ基板、半導体装置、及び半導体パッケージ基板の製造方法を提供することができる。
【発明を実施するための形態】
(【0011】以降は省略されています)
この特許をJ-PlatPat(特許庁公式サイト)で参照する
関連特許
味の素株式会社
樹脂組成物
1か月前
味の素株式会社
樹脂組成物
6日前
味の素株式会社
樹脂組成物
1か月前
味の素株式会社
樹脂組成物
1か月前
味の素株式会社
樹脂組成物
1か月前
味の素株式会社
樹脂組成物
1か月前
味の素株式会社
樹脂組成物
6日前
味の素株式会社
樹脂組成物
1か月前
味の素株式会社
樹脂組成物
1か月前
味の素株式会社
樹脂シート
2日前
味の素株式会社
樹脂シート
2日前
味の素株式会社
樹脂シート
1か月前
味の素株式会社
冷凍米飯弁当
1か月前
味の素株式会社
感光性樹脂組成物
1か月前
味の素株式会社
感光性樹脂組成物
20日前
味の素株式会社
積層体の製造方法
12日前
味の素株式会社
熱硬化性樹脂組成物
6日前
味の素株式会社
改ざん防止用シール
2か月前
味の素株式会社
グリシンを含有する飲料
2か月前
味の素株式会社
プリント配線板の製造方法
21日前
味の素株式会社
乾燥麺の製造方法及び酵素製剤
1か月前
味の素株式会社
金属箔を含まない密閉容器入り調味料
1か月前
味の素株式会社
皮の硬化性が抑制された包餡食品の製造方法
23日前
味の素株式会社
紅茶飲料及びインスタント紅茶飲料用組成物
1か月前
味の素株式会社
調味料および加熱調理における離水の抑制方法
21日前
味の素株式会社
半導体パッケージ基板の絶縁層形成用の樹脂シート
1か月前
味の素株式会社
半導体パッケージ基板の絶縁層形成用の樹脂シート
1か月前
味の素株式会社
半導体パッケージ基板の絶縁層形成用の樹脂シート
1か月前
味の素株式会社
半導体パッケージ基板の絶縁層形成用の樹脂シート
1か月前
味の素株式会社
クリーミングパウダー及びインスタント飲料用組成物
6日前
味の素株式会社
クリーミングパウダー及びインスタント飲料用組成物
1か月前
味の素株式会社
樹脂組成物、及びそれを用いた半導体パッケージ基板
1か月前
味の素株式会社
生地組成物及びそれから製造されるグルテンフリーの麺製品
12日前
味の素株式会社
樹脂組成物
2か月前
味の素株式会社
樹脂組成物
12日前
味の素株式会社
樹脂組成物
1か月前
続きを見る
他の特許を見る