TOP
|
特許
|
意匠
|
商標
特許ウォッチ
Twitter
他の特許を見る
公開番号
2025179976
公報種別
公開特許公報(A)
公開日
2025-12-11
出願番号
2024086956
出願日
2024-05-29
発明の名称
液滴吐出装置
出願人
ブラザー工業株式会社
代理人
弁理士法人有古特許事務所
主分類
B41J
2/01 20060101AFI20251204BHJP(印刷;線画機;タイプライター;スタンプ)
要約
【課題】部品の製造ばらつき、光学素子の性能ばらつき、又は部品の組み付けによる製造ばらつきがある場合でも、ノズルの吐出不良について誤判別することを抑制することが可能な液滴吐出装置を提供する。
【解決手段】液滴吐出装置は、所定方向に並設されたノズル列を複数形成し、被印刷媒体に液滴を吐出する複数のノズルを有する吐出ヘッドと、ノズルから吐出された液滴が飛翔する飛翔空間へ向けて光を出射する光源と、光源から出射された光が飛翔中の液滴内を通過した後の光に関する受光量を検知して検知信号を出力する受光部と、制御装置とを備え、制御装置は検知信号の所定の特徴を示すパラメータ値をノズルごとに取得する処理と、各ノズルの位置に対する各パラメータ値の分布が直線状になるか否かを判別し、直線状に分布されないパラメータ値に対応するノズルを吐出不良があるノズルとして判別する処理とを実行する。
【選択図】図9
特許請求の範囲
【請求項1】
所定方向に並設されたノズル列を複数形成し、被印刷媒体に液滴を吐出する複数のノズルを有する吐出ヘッドと、
前記ノズルから吐出された前記液滴が飛翔する飛翔空間へ向けて光を出射する光源と、
前記光源から出射された前記光が飛翔中の前記液滴内を通過した後の光に関する受光量を検知して検知信号を出力する受光部と、
制御装置と、を備え、
前記制御装置は、
前記検知信号の所定の特徴を示すパラメータ値を前記ノズルごとに取得する処理と、
各前記ノズルの位置に対する各前記パラメータ値の分布が直線状になるか否かを判別し、直線状に分布されない前記パラメータ値に対応する前記ノズルを吐出不良があるノズルとして判別する処理と、を実行する、液滴吐出装置。
続きを表示(約 1,200 文字)
【請求項2】
前記制御装置は、
前記各パラメータ値を換算して所定の換算値を得る処理と、
同一の前記ノズル列を形成する各前記ノズルについての前記換算値を用いて基準線を決定する処理と、
前記各ノズルについての前記換算値が、前記基準線に対する許容範囲に存在するか否かを判別し、前記換算値が前記許容範囲に存在しない場合に当該換算値に対応する前記ノズルを吐出不良があるノズルとして判別する処理と、を実行する、請求項1に記載の液滴吐出装置。
【請求項3】
前記制御装置は、前記パラメータ値が閾値を超える場合には前記換算値を得る処理を非実行とする、請求項2に記載の液滴吐出装置。
【請求項4】
前記制御装置は、前記パラメータ値が閾値以下である場合に前記換算値を得る処理を実行する、請求項2に記載の液滴吐出装置。
【請求項5】
前記制御装置は、前記同一のノズル列を形成する前記各ノズルについての前記換算値のうち全ての前記ノズルについての換算値を用いて得た移動平均線又は近似線を前記基準線とする、請求項2に記載の液滴吐出装置。
【請求項6】
前記制御装置は、前記同一のノズル列を形成する前記各ノズルについての前記換算値のうち当該ノズル列の一端側に位置する1又は複数の前記ノズルについての換算値および当該ノズル列の他端側に位置する1又は複数の前記ノズルについての換算値を用いて前記基準線を決定する、請求項2に記載の液滴吐出装置。
【請求項7】
前記制御装置は、前記換算値が前記基準線に対する前記許容範囲に存在しない数が所定値未満である場合には、前記許容範囲に存在しない前記換算値に対応する前記ノズルを吐出不良があるノズルとして判別する、請求項2に記載の液滴吐出装置。
【請求項8】
前記制御装置は、前記換算値が前記基準線に対する前記許容範囲に存在しない数が所定値以上である場合には、前記基準線を異なる方法で再決定し、前記各ノズルについての前記換算値が、前記再決定された前記基準線に対する許容範囲に存在するか否かを判別し、前記換算値が前記許容範囲に存在しない場合に当該換算値に対応する前記ノズルを吐出不良があるノズルとして判別する、請求項2に記載の液滴吐出装置。
【請求項9】
前記制御装置は、同一の前記ノズルについての前記換算値が所定期間において前記許容範囲に複数回存在する場合であっても、前記基準線からの離間方向に偏りがある場合には、前記ノズルを吐出不良の予兆があるノズルとして判別する、請求項1に記載の液滴吐出装置。
【請求項10】
前記制御装置は、所定期間において同一の前記ノズルについて前記吐出不良があると判別される回数が所定回数以上となる場合には、前記吐出ヘッドの交換が必要であると判別する、請求項1に記載の液滴吐出装置。
(【請求項11】以降は省略されています)
発明の詳細な説明
【技術分野】
【0001】
本開示は、例えばインクジェットプリンタ等の印刷装置に設けられる液滴吐出装置に関する。
続きを表示(約 2,300 文字)
【背景技術】
【0002】
従来、吐出ヘッドから吐出されたインク滴の吐出不良を検知する技術がある。例えば特許文献1には、光源から出射されてインク滴内を通過した後の光が受光部で受けられ、受光部で受けた光の受光量の低下の有無に基づき吐出不良を検知することが開示されている。
【先行技術文献】
【特許文献】
【0003】
特開2023-151816号公報
【発明の概要】
【発明が解決しようとする課題】
【0004】
しかしながら、部品の製造ばらつき、光学素子の性能ばらつき、又は部品の組み付けによる製造ばらつきに起因して、吐出ヘッドのノズルと光の光軸との位置関係が設計値に対してずれることがある。そのため、前記位置関係のずれ量が、検知対象であるインク滴の着弾ずれ量に対して大きい場合には、誤った判定結果を出力する恐れがあった。
【0005】
そこで、本開示は、部品の製造ばらつき、光学素子の性能ばらつき、又は部品の組み付けによる製造ばらつきがある場合でも、ノズルの吐出不良について誤判別することを抑制することが可能な液滴吐出装置を提供することを目的とする。
【課題を解決するための手段】
【0006】
本開示の液滴吐出装置は、所定方向に並設されたノズル列を複数形成し、被印刷媒体に液滴を吐出する複数のノズルを有する吐出ヘッドと、前記ノズルから吐出された前記液滴が飛翔する飛翔空間へ向けて光を出射する光源と、前記光源から出射された前記光が飛翔中の前記液滴内を通過した後の光に関する受光量を検知して検知信号を出力する受光部と、制御装置と、を備え、前記制御装置は、前記検知信号の所定の特徴を示すパラメータ値を前記ノズルごとに取得する処理と、各前記ノズルの位置に対する各前記パラメータ値の分布が直線状になるか否かを判別し、直線状に分布されない前記パラメータ値に対応する前記ノズルを吐出不良があるノズルとして判別する処理と、を実行するものである。
【0007】
本開示に従えば、検知信号と判定基準である基準信号との比較によって吐出不良の有無を判別するのが従来の判定方法であった。この判定方法では、部品の製造ばらつき等に起因して実際のノズル位置が設計上のノズル位置からずれている場合に、実際のノズル位置に対する許容着弾範囲内に液滴が着弾したとしても、設計上のノズル位置に対する許容着弾範囲内から外れていれば吐出不良であると判別されてしまう。これに対して、本開示に従えば、画質という観点に即して各パラメータ値が直線状にそれぞれ分布されるか否かを判別することで、部品の製造ばらつき、光学素子の性能ばらつき、又は部品の組み付けによる製造ばらつきがある場合でも、ノズルからの液滴の着弾位置の直線性を評価して、ノズルの吐出不良について誤判別することを抑制できる。
【発明の効果】
【0008】
本開示によれば、部品の製造ばらつき、光学素子の性能ばらつき、又は部品の組み付けによる製造ばらつきがある場合でも、ノズルの吐出不良について誤判別することを抑制することが可能な液滴吐出装置を提供することができる。
【図面の簡単な説明】
【0009】
本開示の一実施形態に係る液滴吐出装置が設けられる印刷装置を示す斜視図である。
本開示の一実施形態に係る液滴吐出装置を示す平面図である。
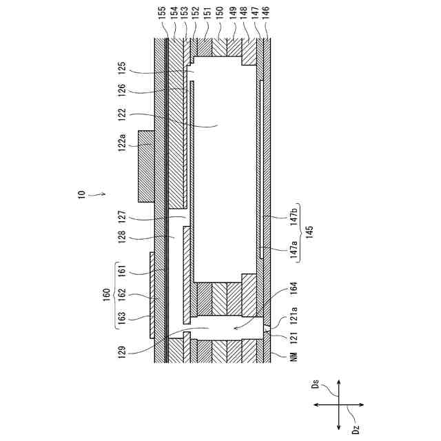
図1の吐出ヘッドの構成を示す断面図である。
図1の印刷装置の構成要素を示すブロック図である。
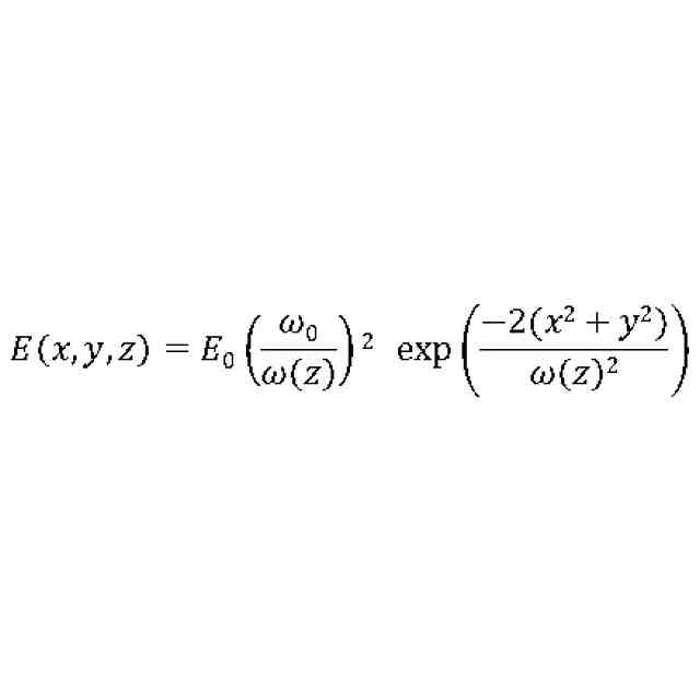
吐出ヘッドから吐出されて飛翔中のインク滴に対してレーザ光を照射する様子を示す図である。
レーザ光の断面における光軸および検知軸を示す図である。
レーザ光のビームウェスト部を示す図である。
換算値としての光軸からの距離を算出する際に用いられる座標系を示す図である。
光軸と換算値としての光軸からの距離との位置関係の例を示す図である。
検知信号におけるピーク信号強度に対応する換算値としての光軸からの距離の値の例を示す図である。
吐出ヘッドにおけるノズル列を示す図である。
換算値に基づき決定される基準線の例を示す図である。
基準線からの離間方向における偏りを示す図である。
吐出不良検知処理において吐出ヘッドが所定の配置角度となるように傾けられた状態で移動方向に移動する態様を示す図である。
各ノズルが検知軸の上方に到達する着順を示す表である。
図16Aは吐出ヘッドの配置角度に応じた各ノズルの位置のばらつきの間隔のうち移動方向における最大間隔を示す図であり、図16Bはレーザ光が連続して横切る2つのノズルの移動方向における離間距離のうち最小距離を示す図である。
各検知時間におけるインク滴の吐出タイミングを示す図である。
検知軸が連続して横切る複数のノズルの移動方向における離間距離のうち最大距離を示す図である。
【発明を実施するための形態】
【0010】
以下、本開示の実施形態に係る液滴吐出装置について図面を参照して説明する。以下に説明する液滴吐出装置は本開示の一実施形態に過ぎない。従って、本開示は以下の実施形態に限定されるものではなく、本開示の趣旨を逸脱しない範囲で追加、削除および変更が可能である。
(【0011】以降は省略されています)
この特許をJ-PlatPat(特許庁公式サイト)で参照する
関連特許
ブラザー工業株式会社
定着装置
今日
ブラザー工業株式会社
印刷装置
今日
ブラザー工業株式会社
プリンタ
2日前
ブラザー工業株式会社
印刷装置
2日前
ブラザー工業株式会社
読取装置
1日前
ブラザー工業株式会社
プリンタ
1日前
ブラザー工業株式会社
定着装置
今日
ブラザー工業株式会社
印刷装置
今日
ブラザー工業株式会社
印刷装置
今日
ブラザー工業株式会社
画像読取装置
2日前
ブラザー工業株式会社
液滴吐出装置
今日
ブラザー工業株式会社
液滴吐出装置
今日
ブラザー工業株式会社
液滴吐出装置
今日
ブラザー工業株式会社
液体吐出装置
今日
ブラザー工業株式会社
液体吐出装置
6日前
ブラザー工業株式会社
画像形成装置
今日
ブラザー工業株式会社
画像形成装置
今日
ブラザー工業株式会社
画像形成装置
今日
ブラザー工業株式会社
画像形成装置
今日
ブラザー工業株式会社
画像形成装置
今日
ブラザー工業株式会社
液体吐出ヘッド
2日前
ブラザー工業株式会社
液滴吐出ヘッド
今日
ブラザー工業株式会社
サポートプログラム
今日
ブラザー工業株式会社
制御盤及び工作機械
今日
ブラザー工業株式会社
収納箱およびシート
今日
ブラザー工業株式会社
印刷用カセット収納体
2日前
ブラザー工業株式会社
シート検知装置及び画像読取装置
今日
ブラザー工業株式会社
液体吐出ヘッド及び液体吐出装置
1日前
ブラザー工業株式会社
ラベルプリンタおよび印刷システム
2日前
ブラザー工業株式会社
液体吐出装置及び液体吐出装置の制御方法
今日
ブラザー工業株式会社
液体吐出装置及び液体吐出装置の制御方法
今日
ブラザー工業株式会社
液体吐出装置、その制御方法及びプログラム
今日
ブラザー工業株式会社
プログラム、ラベルプリンタ、および印刷方法
今日
ブラザー工業株式会社
情報処理装置、及び、情報処理装置用プログラム
今日
ブラザー工業株式会社
コンピュータプログラム、および、データ処理装置
今日
ブラザー工業株式会社
管理システム、消費装置、サーバ、および管理方法
2日前
続きを見る
他の特許を見る