TOP
|
特許
|
意匠
|
商標
特許ウォッチ
Twitter
他の特許を見る
10個以上の画像は省略されています。
公開番号
2025147860
公報種別
公開特許公報(A)
公開日
2025-10-07
出願番号
2024048338
出願日
2024-03-25
発明の名称
計測方法、計測装置、計測システム及び計測プログラム
出願人
セイコーエプソン株式会社
代理人
個人
,
個人
,
個人
,
個人
主分類
G01G
19/03 20060101AFI20250930BHJP(測定;試験)
要約
【課題】鉄道車両が橋梁を走行するときの観測データに基づくデータを積分処理することによって生じるドリフトを低減させることが可能な計測方法を提供すること。
【解決手段】橋梁の観測点を観測する観測装置から出力される、前記橋梁を走行する鉄道車両の前記観測点への作用に対する応答を含む観測データを取得する観測データ取得工程と、前記観測データに基づく第1測定データに基づいて、前記鉄道車両の走行によって前記橋梁に繰り返し生じる撓みの基本周波数を算出する基本周波数算出工程と、前記基本周波数に応じて通過帯域が可変に設定されたフィルターを用いて前記第1測定データに対するフィルター処理を行って第2測定データを生成するフィルター処理工程と、前記第2測定データに対して積分処理を行って第3測定データを生成する積分処理工程と、を含む、計測方法。
【選択図】図26
特許請求の範囲
【請求項1】
橋梁の観測点を観測する観測装置から出力される、前記橋梁を走行する鉄道車両の前記観測点への作用に対する応答を含む観測データを取得する観測データ取得工程と、
前記観測データに基づく第1測定データに基づいて、前記鉄道車両の走行によって前記橋梁に繰り返し生じる撓みの基本周波数を算出する基本周波数算出工程と、
前記基本周波数に応じて通過帯域が可変に設定されたフィルターを用いて前記第1測定データに対するフィルター処理を行って第2測定データを生成するフィルター処理工程と、
前記第2測定データに対して積分処理を行って第3測定データを生成する積分処理工程と、
を含む、計測方法。
続きを表示(約 1,300 文字)
【請求項2】
請求項1において、
前記基本周波数に基づいて、前記通過帯域が可変に設定された前記フィルターを生成するフィルター生成工程を含む、計測方法。
【請求項3】
請求項1において、
前記基本周波数と、記憶部に記憶されている互いに通過帯域が異なる複数のフィルターの情報とに基づいて、前記複数のフィルターから前記フィルター処理に用いる前記フィルターを選択するフィルター選択工程を含む、計測方法。
【請求項4】
請求項1において、
前記フィルターは、ハイパスフィルターであり、
前記フィルターのカットオフ周波数は、前記基本周波数の1/2の周波数よりも高く、かつ、前記基本周波数よりも低い、計測方法。
【請求項5】
請求項1において、
前記フィルターは、バンドパスフィルターであり、
前記フィルターの第1カットオフ周波数は、前記基本周波数の1/2の周波数よりも高く、かつ、前記基本周波数よりも低く、
2以上の所定の整数nに対して、前記フィルターの前記第1カットオフ周波数よりも高い第2カットオフ周波数は、前記基本周波数のn倍の周波数よりも高く、かつ、前記基本周波数のn+1倍の周波数よりも低い、計測方法。
【請求項6】
請求項1において、
前記観測装置は、前記橋梁に設けられた加速度センサーである、計測装置。
【請求項7】
請求項1において、
前記第2測定データは、加速度データであり、
前記積分処理工程では、前記第2測定データを積分して前記第3測定データとして速度データを生成し、又は、前記第2測定データを2回積分して前記第3測定データとして変位データを生成する、計測方法。
【請求項8】
請求項1において、
前記基本周波数算出工程は、
前記第1測定データの周波数スペクトラムを算出する工程と、
前記周波数スペクトラムに基づいて、前記基本周波数を算出する工程と、
を含む、計測方法。
【請求項9】
請求項1において、
前記基本周波数算出工程は、
前記第1測定データに基づいて、前記鉄道車両が前記橋梁を通過するのに要した時間である通過時間を算出する工程と、
前記通過時間と、あらかじめ作成された環境情報に含まれる、前記鉄道車両の車両数、前記鉄道車両の各車両の長さ及び前記橋梁の長さに基づいて、前記基本周波数を算出する工程と、
を含む、計測方法。
【請求項10】
請求項1において、
前記基本周波数算出工程は、
前記第1測定データに基づいて、前記応答の周期数を算出する工程と、
前記第1測定データに基づいて、前記鉄道車両が前記橋梁を通過するのに要した時間である通過時間を算出する工程と、
前記応答の周期数と前記通過時間とに基づいて、前記基本周波数を算出する工程と、
を含む、計測方法。
(【請求項11】以降は省略されています)
発明の詳細な説明
【技術分野】
【0001】
本発明は、計測方法、計測装置、計測システム及び計測プログラムに関する。
続きを表示(約 3,100 文字)
【背景技術】
【0002】
特許文献1には、鉄道橋梁に装着された加速度センサーと、鉄道橋梁が無載荷状態であるときの加速度センサーの出力を加速度のゼロ点として設定し、鉄道橋梁が載荷状態であるときに加速度センサーが出力した加速度のゼロ点を補正し、ゼロ点補正後に2回積分、ベイズ推定、カルマンフィルター等の適用により、ドリフトを抑制して鉄道橋梁のたわみ量を推定するたわみ測定装置が記載されている。
【先行技術文献】
【特許文献】
【0003】
特開2019-049095号公報
【発明の概要】
【発明が解決しようとする課題】
【0004】
しかしながら、特許文献1のFIG.3Cでは、鉄道橋梁が載荷状態となる区間で無載荷状態の区間よりも変位が上昇する結果となっているが、期待される変位波形は、鉄道橋梁が載荷状態となる区間の変位が無載荷状態の区間よりも下降した波形であることは明らかである。これは、変位波形の低周波数域の信号成分が低周波数域のドリフト成分とともに抑制された結果と類似である。したがって、特許文献1に記載のたわみ測定装置によるたわみ量の推定方法では、ドリフトとともに変位波形の低周波数域の成分についても抑制してしまうので、本来の変位の振幅を精度良く推定することができないおそれがある。
【課題を解決するための手段】
【0005】
本発明に係る計測方法の一態様は、
橋梁の観測点を観測する観測装置から出力される、前記橋梁を走行する鉄道車両の前記観測点への作用に対する応答を含む観測データを取得する観測データ取得工程と、
前記観測データに基づく第1測定データに基づいて、前記鉄道車両の走行によって前記橋梁に繰り返し生じる撓みの基本周波数を算出する基本周波数算出工程と、
前記基本周波数に応じて通過帯域が可変に設定されたフィルターを用いて前記第1測定データに対するフィルター処理を行って第2測定データを生成するフィルター処理工程と、
前記第2測定データに対して積分処理を行って第3測定データを生成する積分処理工程と、
を含む。
【0006】
本発明に係る計測装置の一態様は、
橋梁の観測点を観測する観測装置から出力される、前記橋梁を走行する鉄道車両の前記観測点への作用に対する応答を含む観測データを取得する観測データ取得部と、
前記観測データに基づく第1測定データに基づいて、前記鉄道車両の走行によって前記橋梁に繰り返し生じる撓みの基本周波数を算出する基本周波数算出部と、
前記基本周波数に応じて通過帯域が可変に設定されたフィルターを用いて前記第1測定データに対するフィルター処理を行って第2測定データを生成するフィルター処理部と、
前記第2測定データに対して積分処理を行って第3測定データを生成する積分処理部と、
を含む。
【0007】
本発明に係る計測システムの一態様は、
前記計測装置の一態様と、
前記観測装置と、
を備える。
【0008】
本発明に係る計測プログラムの一態様は、
橋梁の観測点を観測する観測装置から出力される、前記橋梁を走行する鉄道車両の前記観測点への作用に対する応答を含む観測データを取得する観測データ取得工程と、
前記観測データに基づく第1測定データに基づいて、前記鉄道車両の走行によって前記橋梁に繰り返し生じる撓みの基本周波数を算出する基本周波数算出工程と、
前記基本周波数に応じて通過帯域が可変に設定されたフィルターを用いて前記第1測定データに対するフィルター処理を行って第2測定データを生成するフィルター処理工程と、
前記第2測定データに対して積分処理を行って第3測定データを生成する積分処理工程と、
をコンピューターに実行させる。
【図面の簡単な説明】
【0009】
計測システムの構成例を示す図。
図1の上部構造をA-A線で切断した断面図。
加速度センサーが検出する加速度の説明図。
鉄道車両が橋梁を走行したときの加速度α(t)の例を示す図。
加速度α(t)を2回積分して得られる変位u(t)を示す図。
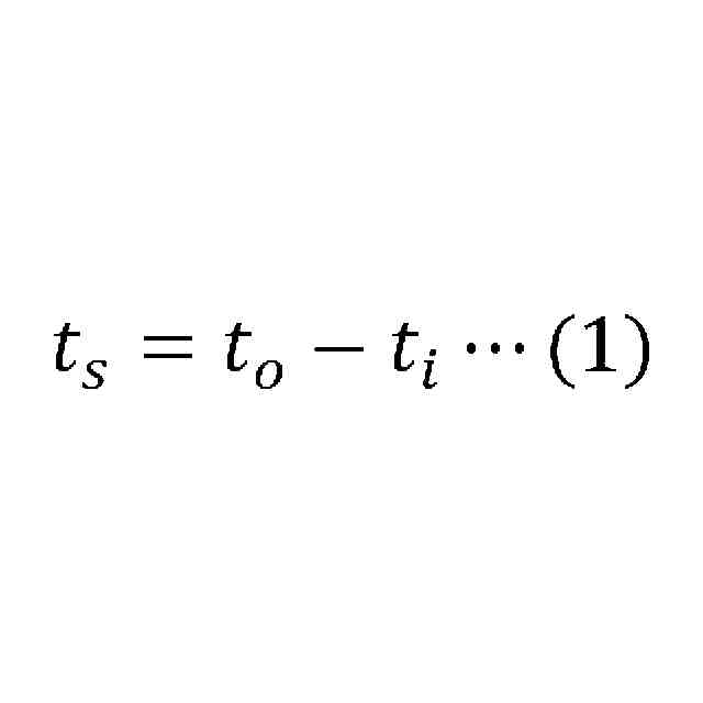
通過時間t
s
が互いに異なる場合の橋梁の変位波形の例を示す図。
図6の変位波形を高速フーリエ変換して得られる周波数スペクトラムを示す図。
車両数が互いに異なる場合の橋梁の変位波形の例を示す図。
図8の変位波形を高速フーリエ変換して得られる周波数スペクトラムを示す図。
橋梁長が互いに異なる場合の橋梁の変位波形の例を示す図。
図10の変位波形を高速フーリエ変換して得られる周波数スペクトラムを示す図。
ハイパスフィルターの利得周波数特性の一例を示す図。
加速度α(t)の一例を示す図。
図13の加速度α(t)を高速フーリエ変換して得られる周波数スペクトラムを示す図。
フィルター処理後の加速度を積分して得られる速度v(t)を示す図。
フィルター処理後の加速度を2回積分して得られる変位u(t)を示す図。
加速度α(t)の一例を示す図。
図17の加速度α(t)を高速フーリエ変換して得られる周波数スペクトラムを示す図。
加速度α(t)と通過時間t
s
との関係を示す図。
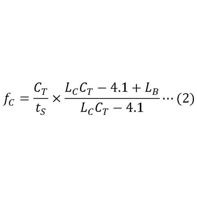
車両の長さL
C
(C
m
)及び車軸間の距離La(a
w
(C
m
,n))の一例を示す図。
図19の加速度α(t)をローパスフィルター処理して得られた加速度α
LPF
(t)を示す図。
ハイパスフィルターの利得周波数特性の一例を示す図。
ハイパスフィルターを用いて図13の加速度α(t)をフィルター処理した後の加速度を高速フーリエ変換して得られる周波数スペクトラムを示す図。
図22の特性のハイパスフィルターを用いて図13の加速度α(t)をフィルター処理した後の加速度を積分して得られた速度v(t)を示す図。
図22の特性のハイパスフィルターを用いて図13の加速度α(t)をフィルター処理した後の加速度を2回積分して得られた変位u(t)を示す図。
第1実施形態の計測方法の手順の一例を示すフローチャート図。
基本周波数算出工程の手順の一例を示すフローチャート図。
基本周波数算出工程の手順の他の一例を示すフローチャート図。
基本周波数算出工程の手順の他の一例を示すフローチャート図。
センサー、計測装置及び監視装置の構成例を示す図。
第2実施形態の計測方法の手順の一例を示すフローチャート図。
第2実施形態における計測装置の構成例を示す図。
【発明を実施するための形態】
【0010】
以下、本発明の好適な実施形態について図面を用いて詳細に説明する。なお、以下に説明する実施の形態は、特許請求の範囲に記載された本発明の内容を不当に限定するものではない。また以下で説明される構成の全てが本発明の必須構成要件であるとは限らない。
(【0011】以降は省略されています)
この特許をJ-PlatPat(特許庁公式サイト)で参照する
関連特許
セイコーエプソン株式会社
振動デバイス
今日
セイコーエプソン株式会社
液体吐出装置
1日前
セイコーエプソン株式会社
液体吐出装置
1日前
セイコーエプソン株式会社
遠隔監視装置
1日前
セイコーエプソン株式会社
成形品の製造方法
今日
セイコーエプソン株式会社
処理液および記録方法
今日
セイコーエプソン株式会社
プログラム及び通信方法
今日
セイコーエプソン株式会社
電子機器および表示装置
今日
セイコーエプソン株式会社
投写レンズ及び投写装置
今日
セイコーエプソン株式会社
液体吐出ヘッドの製造方法
今日
セイコーエプソン株式会社
液体吐出ヘッドの製造方法
今日
セイコーエプソン株式会社
液体吐出ヘッドの製造方法
今日
セイコーエプソン株式会社
給紙ユニット、及び印刷装置
今日
セイコーエプソン株式会社
表示モジュール及び電子機器
1日前
セイコーエプソン株式会社
給紙ユニット、及び印刷装置
今日
セイコーエプソン株式会社
粘着層形成方法および印刷装置
今日
セイコーエプソン株式会社
記録装置、記録装置の制御方法
1日前
セイコーエプソン株式会社
成形型および三次元造形用組成物
1日前
セイコーエプソン株式会社
ロボットおよびロボットシステム
今日
セイコーエプソン株式会社
ロボットおよびロボットシステム
今日
セイコーエプソン株式会社
情報処理方法、及び情報処理装置
今日
セイコーエプソン株式会社
ロボットおよびロボットシステム
今日
セイコーエプソン株式会社
ロボットおよびロボットシステム
今日
セイコーエプソン株式会社
ロボットおよびロボットシステム
今日
セイコーエプソン株式会社
ロボットおよびロボットシステム
今日
セイコーエプソン株式会社
ロボットおよびロボットシステム
今日
セイコーエプソン株式会社
物理量センサー及び慣性計測装置
今日
セイコーエプソン株式会社
投写装置の制御方法、及び投写装置
今日
セイコーエプソン株式会社
プリンター、プログラム及び通信方法
1日前
セイコーエプソン株式会社
印刷装置、制御方法、及び、プログラム
今日
セイコーエプソン株式会社
印刷システム、印刷装置及びプログラム
今日
セイコーエプソン株式会社
三次元造形物の製造方法、及び、固定具
今日
セイコーエプソン株式会社
方法、情報処理装置、および、プログラム
今日
セイコーエプソン株式会社
搬送装置、印刷装置および粘着剤塗布方法
今日
セイコーエプソン株式会社
方法、情報処理装置、および、プログラム
今日
セイコーエプソン株式会社
搬送装置、印刷装置および粘着剤塗布方法
今日
続きを見る
他の特許を見る