TOP
|
特許
|
意匠
|
商標
特許ウォッチ
Twitter
他の特許を見る
10個以上の画像は省略されています。
公開番号
2025145243
公報種別
公開特許公報(A)
公開日
2025-10-03
出願番号
2024045326
出願日
2024-03-21
発明の名称
新規カテコール化合物及びそれを含む接着性樹脂組成物
出願人
東洋紡株式会社
代理人
主分類
C08G
77/60 20060101AFI20250926BHJP(有機高分子化合物;その製造または化学的加工;それに基づく組成物)
要約
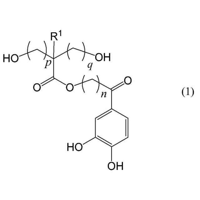
【課題】有機溶剤を用いないことにより使用時の環境中へのVOCの排出を避けることができ、また比較的低い温度で接着可能であることからエネルギー消費が少なくかつ耐熱性の低い被着体に適用することができるホットメルト型接着剤を提供すること。
【解決手段】下記一般式(1)で表されることを特徴とするカテコール化合物、このカテコール化合物を構成成分として有する重合体、および、この重合体を含有するホットメルト型接着剤。(式(1)中のR
1
は水素または炭素数1から6のアルキル基を示し、式(1)中のpおよびqはそれぞれ独立に1から6の整数を示し、式(1)中のnは1から6の整数を示す。)
<com:Image com:imageContentCategory="Drawing"> <com:ImageFormatCategory>JPEG</com:ImageFormatCategory> <com:FileName>2025145243000011.jpg</com:FileName> <com:HeightMeasure com:measureUnitCode="Mm">50</com:HeightMeasure> <com:WidthMeasure com:measureUnitCode="Mm">130</com:WidthMeasure> </com:Image>
【選択図】なし
特許請求の範囲
【請求項1】
下記一般式(1)で表されることを特徴とするカテコール化合物。(式(1)中のR
1
は水素または炭素数1から6のアルキル基を示し、式(1)中のpおよびqはそれぞれ独立に1から6の整数を示し、式中のnは1から6の整数を示す。)
JPEG
2025145243000010.jpg
64
157
続きを表示(約 440 文字)
【請求項2】
前記一般式(1)において、式中のR
1
が水素または炭素数1から2のアルキル基であり、式中のnが1であることを特徴とする請求項1記載の化合物。
【請求項3】
請求項1に記載のカテコール化合物を構成成分として有する重合体。
【請求項4】
脂肪族水酸基と反応して結合を形成しうる反応性基を分子内に2つ以上有する化合物と請求項1に記載のカテコール化合物との反応生成物を構成成分として有する重合体。
【請求項5】
前記脂肪族水酸基と反応して結合を形成しうる反応性基がアルコキシシラン基である請求項4に記載の重合体。
【請求項6】
溶融温度が30℃以上100℃以下である、請求項3~5のいずれかに記載の重合体。
【請求項7】
請求項3~5のいずれかに記載の重合体を含有するホットメルト型接着剤。
【請求項8】
請求項6に記載の重合体を含有するホットメルト型接着剤。
発明の詳細な説明
【技術分野】
【0001】
本発明は、新規なカテコール化合物及びそれを構成成分として含む重合体に関する。この重合体は比較的低い温度にて流動性を付与することができ、さらにポリオレフィン、ポリエステル等のプラスチック等に対する接着性を有するので、ホットメルトタイプの接着剤等に利用できる。
続きを表示(約 1,600 文字)
【背景技術】
【0002】
ホットメルト接着剤は、熱可塑性樹脂を含む組成物を溶融温度まで加熱し、被着体表面に吐出した後、固化温度まで冷却することにより、被着体を接着する剤である。ホットメルト接着プロセスは、水、有機溶媒等を使用しない低環境負荷型のプロセスとして知られ、フィルム、不織布、包装材、建材等の接着に使用されている。
【0003】
ホットメルト接着剤には、ポリエステル、ポリウレタン、ポリオレフィン、ゴム等を主成分とする熱可塑性樹脂が汎用されており、接着可能な溶融温度として一般的には100℃以上が必要である。昨今、エネルギーコストの低減およびCO
2
排出量の削減が求められる中、環境負荷の低減のためには、溶融温度の低温化が望まれる。
【0004】
ホットメルト接着プロセスが適用される被着体としては、樹脂、金属、ゴム、木材等種々の素材が挙げられる。ここで、包装材、医療機器、生体材料、生体組織等に用いられる素材に注目すると、ポリオレフィン、ポリエステル、ポリアミド等汎用されているプラスチック材料は、比較的耐熱性が低く、なおかつ表面に露出している反応性が高い官能基が比較的少ないため接着性に乏しく、ホットメルト接着プロセスを適用することは容易ではない。
【0005】
上記問題を解決するため、被着体の表面をプラズマ処理して表面酸化するプロセス、エッチングプロセス、プライマー層の形成、等の表面処理を使用する方法が知られている。しかしながら、これらの表面処理は、加工プロセスが煩雑であり、また表面処理が困難な精密構造を有する部材に対しては適用が困難である。それ故、ホットメルト型接着剤において、表面酸化等の前処理を必要としない簡易的な接着方法が望まれる。
【0006】
最近では、生物模倣(バイオミメティクス)の観点で発明された接着剤が着目され、例えば、ムール貝の接着性タンパク質を模倣したカテコール基含有接着剤が開発されている。ムール貝の接着性タンパク質は、L-3,4-ジヒドロキシフェニルアラニンの基本骨格であるカテコール基を有するポリフェノールから構成されている。その生物模倣物であるドーパミンとその化合物は、その接着性タンパク質の化学構造を単純化した材料である。ドーパミンから形成される、ポリドーパミンは、様々な被着体に接着可能であり、金属、セラミックスの他、従来の接着方法では接着困難な被着体であるフッ素系樹脂およびポリオレフィンに対しても接着する性質が報告されている(非特許文献1)。この事例では、カテコール基を含有する組成物が、プラズマ処理等の物理的な酸化処理を行うことなく、溶液でのディップコートのみで様々な被着体に対し、接着性を示すことが示されている。
【0007】
上記カテコール基含有接着剤の例として、特許文献1には、ポリシルセスキオキサンにカテコール基を導入した化合物が開示されており、この化合物を有機溶剤に溶解した組成物がアルミニウム板とガラス板の接着において良好な接着性を有することが開示されている。
【0008】
特許文献2では、カテコール基を含有する加水分解性アルコキシシランおよびこれと溶剤とを含有する組成物が開示されており、ガラス繊維の表面改質剤として用いてエポキシ樹脂との接着性を向上させることが開示されている。
【0009】
特許文献3では、カテコール基を含有するアクリル樹脂およびこれと溶媒とを含有する接着剤組成物が開示されており、金属、ガラス、樹脂に対する良好な接着性が記されている。
【先行技術文献】
【特許文献】
【0010】
特開2021-176953号公報
特開2015-182977号公報
特開2022-135398号公報
【非特許文献】
(【0011】以降は省略されています)
この特許をJ-PlatPat(特許庁公式サイト)で参照する
関連特許
東洋紡株式会社
マスク
4日前
東洋紡株式会社
積層包装材料
1か月前
東洋紡株式会社
スチレン系樹脂成形体
1か月前
東洋紡株式会社
積層ポリエステルフィルム
6日前
東洋紡株式会社
二軸配向ポリプロピレンフィルム
1か月前
東洋紡株式会社
二軸配向ポリプロピレンフィルム
1か月前
東洋紡株式会社
二軸配向ポリプロピレンフィルム
1か月前
東洋紡株式会社
二軸配向ポリプロピレンフィルム
1か月前
東洋紡株式会社
ポリエステル樹脂及びその製造方法
6日前
東洋紡株式会社
熱収縮性ポリエステル系積層フィルム
16日前
東洋紡株式会社
コーティング剤、フィルム、およびパウチ
16日前
東洋紡株式会社
コーティング剤、フィルム、およびパウチ
16日前
東洋紡株式会社
レーザー印字用熱収縮性ポリエステル系フィルム
10日前
東洋紡株式会社
ノロウイルス検出用オリゴヌクレオチド及びその用途
2日前
国立大学法人佐賀大学
便意検出装置、便意検出方法
1か月前
東洋紡株式会社
新規カテコール化合物及びそれを含む接着性樹脂組成物
2日前
東洋紡株式会社
二軸配向ポリプロピレンフィルム、及びそれを用いた積層体
1か月前
東洋紡株式会社
マイコバクテリウム属鑑別用オリゴヌクレオチド及びその用途
1か月前
東洋紡株式会社
離型フィルム
2か月前
東洋紡株式会社
積層フィルム
2か月前
東洋紡株式会社
積層フィルム及び包装材料
1か月前
東洋紡株式会社
樹脂シート成型用離型フィルム
1か月前
東洋紡株式会社
樹脂シート成型用離型フィルム
1か月前
東洋紡株式会社
樹脂シート成型用離型フィルム
1か月前
東洋紡株式会社
樹脂シート成型用離型フィルム
1か月前
東洋紡株式会社
樹脂シート成型用離型フィルム
1か月前
東洋紡株式会社
ポリエステルフィルムとその用途
26日前
東洋紡株式会社
折りたたみ型ディスプレイ用偏光板
1か月前
東洋紡株式会社
二軸配向ポリエステルフィルムロール
2か月前
東洋紡株式会社
熱収縮性ポリエステル系フィルムロール
1か月前
東洋紡株式会社
熱収縮性ポリエステル系フィルムロール
2か月前
東洋紡株式会社
無機基板とポリアミック酸硬化物の積層体
2か月前
東洋紡株式会社
折りたたみ型ディスプレイ及び携帯端末機器
6日前
東洋紡株式会社
食品包装用二軸延伸ポリアミドフィルムの製造方法
1か月前
東洋紡株式会社
レーザー印字された表示材料およびそれを用いた包装体
24日前
東洋紡株式会社
ポリエステルフィルム及びその製造方法並びに樹脂組成物
1か月前
続きを見る
他の特許を見る