TOP
|
特許
|
意匠
|
商標
特許ウォッチ
Twitter
他の特許を見る
10個以上の画像は省略されています。
公開番号
2025144188
公報種別
公開特許公報(A)
公開日
2025-10-02
出願番号
2024043850
出願日
2024-03-19
発明の名称
重金属の不溶化方法
出願人
国立大学法人東北大学
,
株式会社熊谷組
代理人
個人
,
個人
主分類
B09C
1/08 20060101AFI20250925BHJP(固体廃棄物の処理;汚染土壌の再生)
要約
【課題】
砒素などの重金属を含む汚染土壌の浄化に向けて、汚染土壌中の重金属を効率よく不溶化し、かつ土壌性状への影響が少ない、簡便な不溶化方法を提供する。
【解決手段】
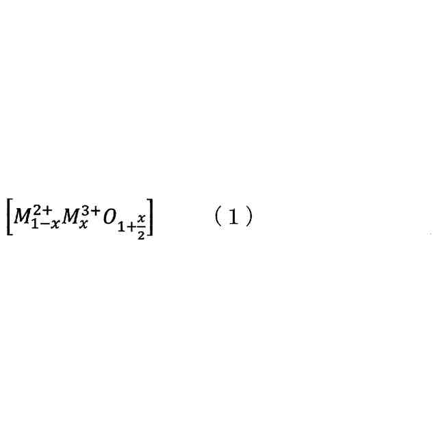
重金属を含む汚染土壌と、層状複酸化物を含む不溶化剤とを接触させることを含み、前記層状複酸化物が下式(1)で表される組成を有し、前記層状複酸化物の平均細孔径が2~10nmである、汚染土壌中の重金属の不溶化方法。
【化1】
<com:Image com:imageContentCategory="Drawing"> <com:ImageFormatCategory>TIFF</com:ImageFormatCategory> <com:FileName>2025144188000010.tif</com:FileName> <com:HeightMeasure com:measureUnitCode="Mm">12</com:HeightMeasure> <com:WidthMeasure com:measureUnitCode="Mm">166</com:WidthMeasure> </com:Image> 【選択図】なし
特許請求の範囲
【請求項1】
重金属を含む汚染土壌と、層状複酸化物を含む不溶化剤とを接触させることを含み、
前記層状複酸化物が下式(1)で表される組成を有し、前記層状複酸化物の平均細孔径が2~10nmである、汚染土壌中の重金属の不溶化方法。
TIFF
2025144188000009.tif
12
166
(式中、M
2+
は、Cu
2+
、Mn
2+
、Mg
2+
、Fe
2+
、Ca
2+
、Ni
2+
、Zn
2+
、Co
2+
及びCd
2+
からなる群から選択される1種以上の2価の金属イオンである。M
3+
は、Al
3+
、Cr
3+
、Fe
3+
、Co
3+
、In
3+
、Mn
3+
及びV
3+
からなる群から選択される1種以上の3価の金属イオンである。xは0.20~0.33である。)
続きを表示(約 530 文字)
【請求項2】
前記不溶化剤が、MgAl層状複酸化物、及びMgFeAl層状複酸化物からなる群から選択される少なくとも1種を含む、請求項1に記載の汚染土壌中の重金属の不溶化方法。
【請求項3】
前記不溶化剤が、MgFeAl層状複酸化物を含む、請求項2に記載の汚染土壌中の重金属の不溶化方法。
【請求項4】
前記MgAl層状複酸化物の比表面積が340~380m
2
/gであり、前記MgFeAl層状複酸化物の比表面積が220~250m
2
/gである、請求項2に記載の汚染土壌中の重金属の不溶化方法。
【請求項5】
前記重金属が、砒素、鉛、カドミウム、銅、六価クロム、セレン、及びアンチモンからなる群から選択される少なくとも1種を含む、請求項1~4のいずれか1項に記載の汚染土壌中の重金属の不溶化方法。
【請求項6】
前記重金属が、砒素を含む、請求項5に記載の汚染土壌中の重金属の不溶化方法。
【請求項7】
前記重金属を含む汚染土壌の全質量に対して、前記不溶化剤の使用量が0.5~10質量%である、請求項1に記載の汚染土壌中の重金属の不溶化方法。
発明の詳細な説明
【技術分野】
【0001】
本発明の実施形態は、重金属を含む汚染土壌の浄化方法に関し、より詳細には、汚染土壌中の重金属を不溶化する方法に関する。
続きを表示(約 1,800 文字)
【背景技術】
【0002】
従来から、砒素及び鉛といった重金属による土壌汚染が問題視されている。特に、砒素は、発癌性を有し、人の健康に影響を及ぼす有害な物質であるため、「土壌汚染対策法」の規制対象物質となっている。そのため、砒素を含む重金属によって汚染された土壌を浄化する様々な方法が検討されている。
【0003】
汚染土壌の浄化方法の一例として、重金属などの汚染物質を不溶化する方法が知られている。不溶化方法では、重金属などの汚染物質を吸着するか、又は土壌と一緒に固化させる不溶化剤を使用し、汚染土壌から汚染物質が雨水などによって溶出しないようにする。汚染土壌の浄化に向けて不溶化方法を適用した場合、不溶化された重金属などの汚染物質は引き続き土壌中に保持されることから、不溶化が不十分であると再汚染が生じる可能性がある。したがって、汚染物質を十分に不溶化できる不溶化剤の開発が望まれている。
【先行技術文献】
【特許文献】
【0004】
特開2002-119950号公報
【発明の概要】
【発明が解決しようとする課題】
【0005】
上記不溶化方法で使用される代表的な不溶化剤として、石灰、石膏、鉄塩、マグネシウム、セメントなどを含む不溶化剤が知られている(例えば、特許文献1)。しかし、従来の不溶化剤を使用した場合、pHおよび土壌含水比などの土壌性状が極端に変化することがある。土壌性状の極端な変化は土壌再利用の観点から望ましくなく、例えばpHを調整するために中和剤などを使用した後処理が必要となる場合がある。また、汚染物質の特性を考慮して、不溶化剤として複数成分を配合して使用することもあり、複数成分の配合比の調整が必要となる場合がある。
【0006】
上述のように、従来の不溶化剤を使用した不溶化方法では、不溶化剤の取扱い性及び不溶化後の土壌性状の保持などの観点で課題がある。このようなことから、汚染土壌の浄化に向けて、不溶化効果が高く、複数成分の配合調整などを必要としない、さらに、処理後の土壌性状への影響が少なく、後処理工程などを必要としない、簡便な不溶化方法が望まれている。
【0007】
したがって、上述の状況に鑑み、本発明の実施形態は、汚染土壌の浄化に向けて、汚染土壌中の重金属の不溶化効果が高く、土壌性状への影響が少なく、簡便な不溶化方法を提供する。
【課題を解決するための手段】
【0008】
本発明者らは、汚染土壌中の重金属の不溶化について様々な検討を行い、特定の層状複酸化物が重金属の吸着性に優れ、かつ土壌性状への影響が少なく、不溶化剤として有益であることを見出し、本発明を完成するに至った。すなわち、本発明は、以下に記載する実施形態に関する。但し、本発明は、以下に記載する実施形態に限定されるものではなく、様々な実施形態を含む。
【0009】
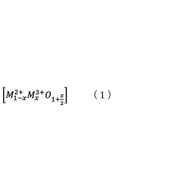
<1>重金属を含む汚染土壌と、層状複酸化物を含む不溶化剤とを接触させることを含み、前記層状複酸化物が下式(1)で表される組成を有し、前記層状複酸化物の平均細孔径が2~10nmである、汚染土壌中の重金属の不溶化方法。
【0010】
TIFF
2025144188000001.tif
12
166
(式中、M
2+
は、Cu
2+
、Mn
2+
、Mg
2+
、Fe
2+
、Ca
2+
、Ni
2+
、Zn
2+
、Co
2+
及びCd
2+
からなる群から選択される1種以上の2価の金属イオンである。M
3+
は、Al
3+
、Cr
3+
、Fe
3+
、Co
3+
、In
3+
、Mn
3+
及びV
3+
からなる群から選択される1種以上の3価の金属イオンである。xは0.20~0.33である。)
(【0011】以降は省略されています)
この特許をJ-PlatPat(特許庁公式サイト)で参照する
関連特許
国立大学法人東北大学
抗マラリア薬
2日前
国立大学法人東北大学
駆動装置及び移動体
23日前
国立大学法人東北大学
推定装置、及び、推定方法
23日前
国立大学法人東北大学
推定装置、及び、推定方法
23日前
国立大学法人東北大学
電解精製装置、電解精製方法
2日前
住友金属鉱山株式会社
銅精鉱の製錬方法
25日前
住友金属鉱山株式会社
銅精鉱の製錬方法
25日前
国立大学法人東北大学
空間光変調素子、ホログラフィ立体表示装置
25日前
株式会社タムラ製作所
パワー半導体モジュール
23日前
国立大学法人東北大学
二酸化炭素の固定利用方法及び固定利用システム
22日前
株式会社ジーシーMfg
歯科用重合性覆髄材組成物
24日前
NTT株式会社
評価装置、評価方法およびプログラム
11日前
国立大学法人東北大学
腎機能の予後予測及び/又はモニタリングのバイオマーカー
23日前
日機装株式会社
乳酸吸着剤、乳酸除去装置および乳酸除去方法
4日前
DOWAホールディングス株式会社
シミュレーション装置及びプログラム
22日前
住友金属鉱山株式会社
可燃性粉末の反応挙動評価方法及び反応挙動評価装置
25日前
株式会社不動テトラ
地盤強度推定装置、地盤強度推定システム、及び地盤強度推定方法
23日前
DOWAホールディングス株式会社
扁平化予測方法、扁平化予測装置、及びプログラム
22日前
一般財団法人ファインセラミックスセンター
微粒子及びその製造方法
5日前
株式会社豊田中央研究所
推定モデル生成装置、推定モデル生成方法、推定モデル生成プログラム、推定装置、推定方法、及び推定プログラム
25日前
国立大学法人東京科学大学
リン酸カルシウム-炭素原子-酸化ジルコニウム複合体、修復材料、医療機器、リン酸カルシウム-炭素原子-酸化ジルコニウム複合体の製造方法
24日前
花王株式会社
焼却灰の処理方法
1か月前
花王株式会社
焼却灰の処理方法
1か月前
テクニカ合同株式会社
廃棄鶏の処理方法
1か月前
トヨタ自動車株式会社
バイオ炭製造方法
1か月前
株式会社トクヤマ
石膏粒体のか焼方法
2か月前
株式会社シーパーツ
自動車解体破砕方法
25日前
清水建設株式会社
汚染拡散防止構造
2か月前
清水建設株式会社
加熱井戸の設置方法
2か月前
株式会社クリンテック
熱分解炉
2日前
清水建設株式会社
遮水層構築の降雨対策方法
2日前
株式会社LIXIL
汚物処理装置
29日前
国立大学法人東北大学
重金属の不溶化方法
1か月前
九電産業株式会社
樹脂複合製品の製造方法
1か月前
王子ホールディングス株式会社
ベールの製造方法
23日前
株式会社エネアグリ
乾式メタン発酵システムおよび乾式メタン発酵方法
10日前
続きを見る
他の特許を見る