TOP
|
特許
|
意匠
|
商標
特許ウォッチ
Twitter
他の特許を見る
公開番号
2025144104
公報種別
公開特許公報(A)
公開日
2025-10-02
出願番号
2024043718
出願日
2024-03-19
発明の名称
金属酸化物粒子用分散剤及び分散体
出願人
第一工業製薬株式会社
代理人
弁理士法人三枝国際特許事務所
主分類
C09K
23/52 20220101AFI20250925BHJP(染料;ペイント;つや出し剤;天然樹脂;接着剤;他に分類されない組成物;他に分類されない材料の応用)
要約
【課題】金属酸化物粒子を良好に分散させることができる金属酸化物粒子用分散剤を提供する。
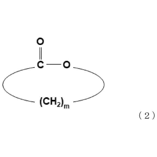
【解決手段】本発明の金属酸化物粒子用分散剤は、金属酸化物粒子を分散させるために用いられる分散剤であって、下記一般式(1)
<com:Image com:imageContentCategory="Drawing"> <com:ImageFormatCategory>TIFF</com:ImageFormatCategory> <com:FileName>2025144104000007.tif</com:FileName> <com:HeightMeasure com:measureUnitCode="Mm">30</com:HeightMeasure> <com:WidthMeasure com:measureUnitCode="Mm">170</com:WidthMeasure> </com:Image> (式(1)中、R
1
はアルキレン基を示し、mは2~7の数、nは1~7の数である)
で表される化合物を含有する。本発明の金属酸化物粒子用分散剤は、金属酸化物粒子を良好に分散させることができる。
【選択図】なし
特許請求の範囲
【請求項1】
金属酸化物粒子を分散させるために用いられる分散剤であって、
下記一般式(1)
TIFF
2025144104000006.tif
27
170
(式(1)中、R
1
はアルキレン基を示し、mは2~7の数、nは1~7の数である)
で表される化合物を含有する、金属酸化物粒子用分散剤。
続きを表示(約 140 文字)
【請求項2】
前記式(1)において、R
1
は炭素数が1~6のアルキレン基である、請求項1に記載の金属酸化物粒子用分散剤。
【請求項3】
請求項1又は2に記載の金属酸化物粒子用分散剤と、金属酸化物粒子と、アクリル化合物とを含む、分散体。
発明の詳細な説明
【技術分野】
【0001】
本発明は、金属酸化物粒子を分散させるために用いられる分散剤及び該分散剤を含む分散体に関する。
続きを表示(約 1,400 文字)
【背景技術】
【0002】
金属酸化物粒子は、有機系高分子粒子には無い特有の性質を有することから、例えば、各種の添加剤や充填剤として極めて有用な材料である。金属酸化物粒子の代表的な特性として、高屈折率、光触媒機能、強靭性、透明性等が挙げられる。これらの性質を有する金属酸化物粒子を、例えば、樹脂等の対象物に含有させることで、当該対象物に新たなる性能を付与することができる。従って、金属酸化物粒子は、新規機能性材料を創生する上で極めて利用価値が高いといえる。
【0003】
上記のような金属酸化物粒子の種々の特性は、その粒子径にも強く依拠することが知られており、とりわけ、粒子径がナノメートルサイズ、いわゆる金属酸化物ナノ粒子の領域になると、マイクロオーダーでは発現しなかった新たな機能も発現し得る。このため、昨今では、ナノサイズ領域の金属酸化物粒子を用いた機能性材料の開発も盛んに行われている。
【0004】
一方で、金属酸化物粒子の粒子径サイズが上述のナノ粒子サイズの領域になると、比表面積の増大等に起因する粒子どうしの凝集が起こりやすくなり、特に溶媒等の液体中では、その凝集が顕著になる。この観点から、溶媒中での金属酸化物粒子をより高度に分散させる技術の構築も重要となる。例えば、特許文献1には、酸化ジルコニウム粒子を、特定の構造を有する化合物からなる分散剤を用いて分散媒中に分散させる技術が開示されている。斯かる技術によれば、酸化ジルコニウム粒子がナノサイズであっても分散することが可能とされている。
【先行技術文献】
【特許文献】
【0005】
特開2012-007144号公報
【発明の概要】
【発明が解決しようとする課題】
【0006】
近年では、金属酸化物粒子の優れた特性をより効果的に発揮させるべく、従来よりも更に高度に分散性を向上させることが求められている。金属酸化物粒子の凝集を抑制させて分散性を更に高めることによって、金属酸化物粒子が本来有する特性を顕著に発揮させることができ、例えば、高分散性の金属酸化物粒子が導入された材料は、更なる高屈折率、透明性といった機能が格段に向上することが期待される。この観点から、金属酸化物粒子を高度に分散させることが可能な分散剤の開発が強く求められていた。
【0007】
本発明は、上記に鑑みてなされたものであり、金属酸化物粒子を良好に分散させることができる金属酸化物粒子用分散剤を提供することを目的とする。また、本発明は、金属酸化物粒子の分散性に優れ、良好な透明性と良好な屈折率が両立した硬化物を形成するのに適した分散体を提供することを目的とする。
【課題を解決するための手段】
【0008】
本発明者らは、上記目的を達成すべく鋭意研究を重ねた結果、特定の構造を有する化合物を適用することにより上記目的を達成できることを見出し、本発明を完成するに至った。
【0009】
すなわち、本発明は、例えば、以下の項に記載の主題を包含する。
項1
金属酸化物粒子を分散させるために用いられる分散剤であって、
下記一般式(1)
【0010】
TIFF
2025144104000001.tif
27
170
(【0011】以降は省略されています)
この特許をJ-PlatPat(特許庁公式サイト)で参照する
関連特許
第一工業製薬株式会社
金属酸化物粒子用分散剤及び分散体
1日前
第一工業製薬株式会社
金属酸化物粒子用分散剤及び分散体
1日前
第一工業製薬株式会社
ポリウレタン水系分散体、及び水性塗料
2日前
第一工業製薬株式会社
ポリウレタン水系分散体、及び水性塗料
4日前
第一工業製薬株式会社
水系ポリウレタン樹脂の粉体又はその凝集物
4日前
第一工業製薬株式会社
水系ポリウレタン樹脂の粉体又はその凝集物
4日前
第一工業製薬株式会社
光学用コーティング剤及びウレタン系プライマー用皮膜
14日前
第一工業製薬株式会社
光学用コーティング剤及びウレタン系プライマー用皮膜
14日前
第一工業製薬株式会社
カリオフィレン組成物、液状組成物、カリオフィレンの可溶化方法
4日前
第一工業製薬株式会社
カリオフィレン組成物、液状組成物、カリオフィレンの可溶化方法
4日前
第一工業製薬株式会社
水系分散体、並びにそれを用いたポリエステル基材用離型コート剤、離型シート及び積層体
4日前
ベック株式会社
被覆材
3か月前
日本化薬株式会社
インク
7日前
ベック株式会社
水性被覆材
3か月前
ベック株式会社
水性被覆材
3か月前
ベック株式会社
被膜形成方法
1か月前
株式会社日本触媒
インクセット
16日前
日本化薬株式会社
インク組成物
7日前
関西ペイント株式会社
塗料組成物
1か月前
東ソー株式会社
ゴム用接着性改質剤
3か月前
ぺんてる株式会社
水性インキ組成物
3か月前
株式会社リコー
インクセット
3か月前
シヤチハタ株式会社
油性インキ組成物
1か月前
artience株式会社
印刷インキ
3か月前
東ソー株式会社
土木用注入薬液組成物
8日前
東亞合成株式会社
硬化型接着剤組成物
3か月前
東亞合成株式会社
硬化型接着剤組成物
3か月前
AGC株式会社
液状組成物
2か月前
大日精化工業株式会社
顔料分散液
25日前
アイカ工業株式会社
光硬化型圧着組成物
1か月前
マクセル株式会社
粘着テープ
2か月前
東ソー株式会社
土質安定化注入薬液組成物
1か月前
東ソー株式会社
土質安定化注入薬液組成物
1か月前
株式会社フェクト
透明防錆塗料
3か月前
ハニー化成株式会社
防反射処理剤
3か月前
アイカ工業株式会社
ポリマー被覆粒子の製造方法
2か月前
続きを見る
他の特許を見る