TOP
|
特許
|
意匠
|
商標
特許ウォッチ
Twitter
他の特許を見る
10個以上の画像は省略されています。
公開番号
2025141889
公報種別
公開特許公報(A)
公開日
2025-09-29
出願番号
2025038147
出願日
2025-03-11
発明の名称
カルボン酸塩、カルボン酸発生剤、レジスト組成物及びレジストパターンの製造方法
出願人
住友化学株式会社
代理人
個人
,
個人
主分類
G03F
7/004 20060101AFI20250919BHJP(写真;映画;光波以外の波を使用する類似技術;電子写真;ホログラフイ)
要約
【課題】ラインエッジラフネス(LER)が良好なレジストパターンを製造する。
【解決手段】式(I)で表されるカルボン酸塩を含有するカルボン酸発生剤。
<com:Image com:imageContentCategory="Drawing"> <com:ImageFormatCategory>JPEG</com:ImageFormatCategory> <com:FileName>2025141889000190.jpg</com:FileName> <com:HeightMeasure com:measureUnitCode="Mm">17</com:HeightMeasure> <com:WidthMeasure com:measureUnitCode="Mm">170</com:WidthMeasure> </com:Image>
【選択図】なし
特許請求の範囲
【請求項1】
式(I)で表されるカルボン酸塩を含有するカルボン酸発生剤。
JPEG
2025141889000177.jpg
18
170
[式(I)中、
L
1
は、単結合又は置換基を有してもよい炭素数1~40の炭化水素基を表し、該炭化水素基に含まれる-CH
2
-は、-O-、-S-、-SO
2
-、-SO-、-NR
7
-又は-CO-に置き換わっていてもよい。
R
7
は、水素原子又は炭素数1~6のアルキル基を表す。
W
1
は、ヨウ素原子を有する炭素数3~36の脂環式炭化水素基を表し、該脂環式炭化水素基に含まれる-CH
2
-は、-O-、-S-、-SO
2
-、-SO-、-NR
7
-又は-CO-に置き換わっていてもよく、該脂環式炭化水素基は、ヨウ素原子以外の置換基を有していてもよい。
R
5
は、-X
1
-L
4
-R
10
又は-X
1
-L
10
-X
2
-L
4
-R
10
を表す。
X
1
及びX
2
は、それぞれ独立に、*-CO-O-、*-O-CO-、*-O-CO-O-又は*-O-(但し、*は、W
1
又はL
10
との結合部位を表す。)を表す。
L
10
は、置換基を有してもよい炭素数1~28の炭化水素基を表し、該炭化水素基に含まれる-CH
2
-は、-O-、-S-、-SO
2
-、-SO-、-NR
7
-又は-CO-に置き換わっていてもよい。
L
4
は、単結合又は置換基を有してもよい炭素数1~6のアルカンジイル基を表す。
R
10
は、1以上の置換基を有する炭素数3~36の脂環式炭化水素基を表し、該置換基の少なくとも1つは、-OR
11
又は-I基である。
R
11
は、水素原子又は酸不安定基を表す。
m5は、1~4のいずれかの整数を表し、m5が2以上のとき、複数のR
5
は互いに同一であっても異なってもよい。
Z
+
は、有機カチオンを表す。]
続きを表示(約 5,800 文字)
【請求項2】
L
1
が、単結合、置換基を有してもよい炭素数1~10の鎖式炭化水素基(但し、該鎖式炭化水素基に含まれる-CH
2
-は、-O-又は-CO-に置き換わっていてもよい。)、置換基を有してもよい炭素数3~24の環状炭化水素基(但し、該環状炭化水素基に含まれる-CH
2
-は、-O-、-S-、-CO-、-SO-、-NR
7
-又は-SO
2
-に置き換わっていてもよい。)又は置換基を有してもよい炭素数1~8の鎖式炭化水素基と置換基を有してもよい炭素数3~24の環状炭化水素基とを組み合わせてなる基(但し、該鎖式炭化水素基に含まれる-CH
2
-は、-O-又は-CO-に置き換わっていてもよく、該環状炭化水素基に含まれる-CH
2
-は、-O-、-S-、-SO
2
-、-SO-、-NR
7
-又は-CO-に置き換わっていてもよい。)である請求項1に記載のカルボン酸発生剤。
【請求項3】
W
1
が、ヨウ素原子を有する炭素数5~10の脂環式炭化水素基である請求項1に記載のカルボン酸発生剤。
【請求項4】
R
10
が、1以上の置換基を有する炭素数3~12の脂環式炭化水素基であり、
該置換基の少なくとも1つは、-OR
11
であり、
R
11
は、水素原子又は酸不安定基であり、
該酸不安定基が、式(1a)で表される基又は式(2a)で表される基である請求項1に記載のカルボン酸発生剤。
JPEG
2025141889000178.jpg
21
170
[式(1a)中、R
aa1
、R
aa2
及びR
aa3
は、それぞれ独立に、炭素数1~8のアルキル基、炭素数2~8のアルケニル基、炭素数3~20の脂環式炭化水素基、炭素数6~18の芳香族炭化水素基又はこれらを組み合わせた基を表すか、又はR
aa1
及びR
aa2
が互いに結合してそれらが結合する炭素原子とともに炭素数3~20の脂環式炭化水素基を形成し、且つR
aa3
が炭素数1~8のアルキル基、炭素数2~8のアルケニル基、炭素数3~20の脂環式炭化水素基、炭素数6~18の芳香族炭化水素基又はこれらを組み合わせた基を表し、該アルキル基、該アルケニル基、該脂環式炭化水素基及び該芳香族炭化水素基は、ハロゲン原子を有してもよい。
naaは、0又は1を表す。
*は、結合部位を表す。]
JPEG
2025141889000179.jpg
22
170
[式(2a)中、R
aa1′
及びR
aa2′
は、それぞれ独立に、水素原子又は炭素数1~12の炭化水素基を表し、且つR
aa3′
が、炭素数1~20の炭化水素基を表すか、又はR
aa2′
及びR
aa3′
が互いに結合してそれらが結合する-C-X
a
-とともに炭素数3~20の複素環基を形成し、且つR
aa1′
が水素原子又は炭素数1~12の炭化水素基を表し、R
aa1′
、R
aa2′
及びR
aa3′
が有する炭化水素基及びR
aa2′
及びR
aa3′
が結合して形成する複素環基に含まれる-CH
2
-は、-O-又は-S-で置き換わってもよく、該炭化水素基及び該複素環基は、ハロゲン原子を有してもよい。
X
a
は、酸素原子又は硫黄原子を表す。
*は、結合部位を表す。]
【請求項5】
R
10
が、1以上の置換基を有する炭素数3~12の脂環式炭化水素基であり、
該置換基の少なくとも1つは、ヨウ素原子である請求項1に記載のカルボン酸発生剤。
【請求項6】
請求項1~5のいずれか1項に記載のカルボン酸発生剤を含有するレジスト組成物。
【請求項7】
酸不安定基を有する構造単位を含む樹脂を含有し、
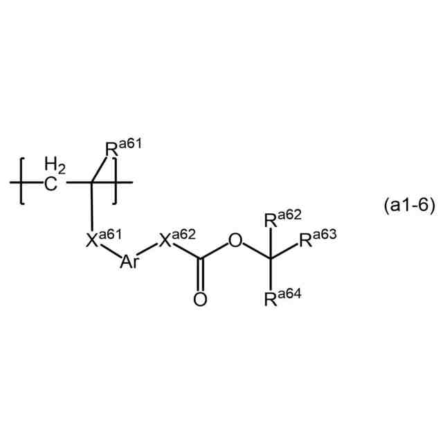
酸不安定基を有する前記構造単位が、式(a1-0)で表される構造単位、式(a1-1)で表される構造単位、式(a1-2)で表される構造単位、式(a1-4)で表される構造単位、式(a1-5)で表される構造単位及び式(a1-6)で表される構造単位からなる群より選ばれる少なくとも1種を含む請求項6に記載のレジスト組成物。
JPEG
2025141889000180.jpg
42
170
[式(a1-0)、式(a1-1)及び式(a1-2)中、
L
a01
、L
a1
及びL
a2
は、それぞれ独立に、-O-又は*-O-(CH
2
)
k1
-CO-O-を表し、k1は1~7のいずれかの整数を表し、*は-CO-との結合部位を表す。
R
a01
、R
a4
及びR
a5
は、それぞれ独立に、水素原子、ハロゲン原子又はハロゲン原子を有していてもよい炭素数1~6のアルキル基を表す。
R
a02
、R
a03
及びR
a04
は、それぞれ独立に、炭素数1~8のアルキル基、炭素数3~18の脂環式炭化水素基、炭素数6~18の芳香族炭化水素基又はこれらを組み合わせた基を表し、該アルキル基、該脂環式炭化水素基及び該芳香族炭化水素基は、ハロゲン原子を有してもよい。
R
a6
及びR
a7
は、それぞれ独立に、炭素数1~8のアルキル基、炭素数2~8のアルケニル基、炭素数3~18の脂環式炭化水素基、炭素数6~18の芳香族炭化水素基又はこれらを組合せることにより形成される基を表し、該アルキル基、該アルケニル基、該脂環式炭化水素基及び該芳香族炭化水素基は、ハロゲン原子を有してもよい。
m1′は、0~14のいずれかの整数を表す。
n1は、0~10のいずれかの整数を表す。
n1′は0~3のいずれかの整数を表す。]
JPEG
2025141889000181.jpg
30
170
[式(a1-4)中、
R
a1
は、水素原子、ハロゲン原子、又は、ハロゲン原子を有していてもよい炭素数1~6のアルキル基を表す。
R
a17
は、ハロゲン原子、ヒドロキシ基、カルボキシ基、ハロゲン原子を有していてもよい炭素数1~6のアルキル基、炭素数1~6のアルコキシ基、炭素数2~12のアルコキシアルキル基、炭素数2~12のアルコキシアルコキシ基、炭素数2~4のアルキルカルボニル基、炭素数2~4のアルキルカルボニルオキシ基、アクリロイルオキシ基又はメタクリロイルオキシ基を表す。
A
a11
は、単結合又は炭素数1~12のアルカンジイル基を表し、該アルカンジイル基に含まれる-CH
2
-は、-O-、-CO-又は-NR
a18
-に置き換わってもよい。
R
a18
は、水素原子又は炭素数1~6のアルキル基を表す。
X
a1
は、単結合又はカルボニル基を表す。
R
a34
及びR
a35
は、それぞれ独立に、水素原子又は炭素数1~12の炭化水素基を表し、R
a36
は、炭素数1~20の炭化水素基を表すか、R
a35
及びR
a36
は互いに結合してそれらが結合する-C-O-とともに炭素数2~20の2価の炭化水素基を形成し、該炭化水素基及び該2価の炭化水素基に含まれる-CH
2
-は、-O-又は-S-で置き換わってもよい。
na1は、1~5のいずれかの整数を表し、na1が2以上のとき、複数の括弧内の基は、互いに同一であっても異なっていてもよい。
na11は、0~4のいずれかの整数を表し、na11が2以上のとき、複数のR
a17
は、互いに同一であっても異なっていてもよい。
mcは、0~2のいずれかの整数を表す。]
JPEG
2025141889000182.jpg
44
170
【請求項8】
式(a2-A)で表される構造単位を含む樹脂を含有する請求項6に記載のレジスト組成物。
JPEG
2025141889000184.jpg
29
170
[式(a2-A)中、
R
a2
は、水素原子、ハロゲン原子又はハロゲン原子を有していてもよい炭素数1~6のアルキル基を表す。
R
a27
は、ハロゲン原子、ヒドロキシ基、カルボキシ基、ハロゲン原子を有していてもよい炭素数1~6のアルキル基、炭素数1~6のアルコキシ基、炭素数2~12のアルコキシアルキル基、炭素数2~12のアルコキシアルコキシ基、炭素数2~4のアルキルカルボニル基、炭素数2~4のアルキルカルボニルオキシ基、アクリロイルオキシ基又はメタクリロイルオキシ基を表す。
A
a21
は、単結合又は炭素数1~12のアルカンジイル基を表し、該アルカンジイル基に含まれる-CH
2
-は、-O-、-CO-又は-NR
a28
-に置き換わってもよい。
R
a28
は、水素原子又は炭素数1~6のアルキル基を表す。
X
a2
は、単結合又はカルボニル基を表す。
nA2は、1~5のいずれかの整数を表し、nA2が2以上のとき、複数の括弧内の基は、互いに同一であっても異なっていてもよい。
na21は、0~4のいずれかの整数を表し、na21が2以上のとき、複数のR
a27
は、互いに同一であっても異なっていてもよい。
mcは、0~2のいずれかの整数を表す。]
【請求項9】
酸発生剤をさらに含有し、
酸発生剤が、式(B1)で表される塩又は式(B2)で表される塩を含む請求項6に記載のレジスト組成物。
JPEG
2025141889000185.jpg
13
170
[式(B1)中、
L
b1
は、単結合又は置換基を有してもよい(nb1+1)価の炭化水素基を表し、該炭化水素基に含まれる-CH
2
-は、-O-、-S-、-CO-又は-SO
2
-に置き換わっていてもよい。
L
b2
は、単結合又は置換基を有してもよい炭素数1~24の2価の炭化水素基を表し、該炭化水素基に含まれる-CH
2
-は、-O-、-S-、-CO-又は-SO
2
-で置き換わっていてもよい。
Y
b1
は、置換基を有していてもよいメチル基又は置換基を有していてもよい炭素数3~24の環状炭化水素基を表し、該環状炭化水素基に含まれる-CH
2
-は、-O-、-S-、-SO
2
-又は-CO-に置き換わっていてもよい。
nb1は、1~6のいずれかの整数を表す。nb1が2以上のとき、複数の括弧内の基は、互いに同一であっても異なっていてもよい。
Z1
+
は、有機カチオンを表す。]
JPEG
2025141889000186.jpg
11
170
[式(B2)中、
A
1
は、窒素原子又は炭素原子を表す。
L
b2′
は、単結合又は置換基を有してもよい炭素数1~24の2価の炭化水素基を表し、該炭化水素基に含まれる-CH
2
-は、-O-、-S-、-CO-又は-SO
2
-で置き換わっていてもよい。
Y
b1′
は、置換基を有していてもよいメチル基又は置換基を有していてもよい炭素数3~24の環状炭化水素基を表し、該環状炭化水素基に含まれる-CH
2
-は、-O-、-S-、-CO-又は-SO
2
-で置き換わっていてもよい。
nb5は、2又は3の整数を表す。A
1
が窒素原子の場合、nb5が2であり、A
1
が炭素原子の場合、nb5が3である。複数の括弧内の基は、互いに同一であっても異なっていてもよく、2つの括弧内の基が結合してA
1
を含む環を形成してもよい。
Z2
+
は、有機カチオンを表す。]
【請求項10】
(1)請求項6に記載のレジスト組成物を基板上に塗布する工程、
(2)塗布後のレジスト組成物を乾燥させて組成物層を形成する工程、
(3)組成物層に露光する工程、
(4)露光後の組成物層を加熱する工程、及び
(5)加熱後の組成物層を現像する工程、
を含むレジストパターンの製造方法。
(【請求項11】以降は省略されています)
発明の詳細な説明
【技術分野】
【0001】
本発明は、カルボン酸塩、カルボン酸発生剤、レジスト組成物及びレジストパターンの製造方法に関する。
続きを表示(約 760 文字)
【背景技術】
【0002】
特許文献1には、下記式で表されるカルボン酸塩を含有するレジスト組成物が記載されている。
【0003】
JPEG
2025141889000001.jpg
36
170
【0004】
特許文献2には、下記式で表されるカルボン酸塩を含有するレジスト組成物が記載されている。
【0005】
JPEG
2025141889000002.jpg
25
170
【先行技術文献】
【特許文献】
【0006】
特開2022-141598号公報
特開2011-039502号公報
【発明の概要】
【発明が解決しようとする課題】
【0007】
ラインエッジラフネス(LER)が良好なレジストパターンを形成することができる技術が求められている。
【課題を解決するための手段】
【0008】
本発明は、以下の発明を含む。
[発明1]
式(I)で表されるカルボン酸塩を含有するカルボン酸発生剤。
【0009】
JPEG
2025141889000003.jpg
18
170
【0010】
[式(I)中、
L
1
は、単結合又は置換基を有してもよい炭素数1~40の炭化水素基を表し、該炭化水素基に含まれる-CH
2
-は、-O-、-S-、-SO
2
-、-SO-、-NR
7
-又は-CO-に置き換わっていてもよい。
(【0011】以降は省略されています)
この特許をJ-PlatPat(特許庁公式サイト)で参照する
関連特許
住友化学株式会社
化合物
12日前
住友化学株式会社
偏光板
1か月前
住友化学株式会社
偏光板
1か月前
住友化学株式会社
着色剤
12日前
住友化学株式会社
芳香族ポリスルホン
12日前
住友化学株式会社
体液に由来する試料
2日前
住友化学株式会社
成形原料及びフィルム
1か月前
住友化学株式会社
光学積層体及びその製造方法
14日前
住友化学株式会社
複合偏光板及び画像表示装置
今日
住友化学株式会社
積層体の製造方法及び積層体
1か月前
住友化学株式会社
粘着剤付き偏光板及び表示装置
22日前
住友化学株式会社
接着剤組成物及び偏光板の製造方法
22日前
住友化学株式会社
芳香族ポリスルホン及び耐熱フィルム
12日前
住友化学株式会社
非水電解液二次電池用積層セパレータ
2日前
住友化学株式会社
高分子化合物、組成物、及び発光素子
28日前
住友化学株式会社
リチウム二次電池用正極活物質の製造方法
23日前
住友化学株式会社
膜、積層体、素子、デバイス、及び、構造体
26日前
住友化学株式会社
リチウム二次電池用負極及びリチウム二次電池
23日前
住友化学株式会社
ペレット、ペレットの製造方法、成形体及びギア
1か月前
住友化学株式会社
除草剤耐性作物の栽培地における雑草の防除方法
12日前
住友化学株式会社
カラーフィルタ及び該カラーフィルタを含む表示装置
23日前
住友化学株式会社
化合物、樹脂組成物、光学フィルタ及び固体撮像素子
26日前
住友化学株式会社
ジホスファイト系化合物、その製造方法およびその用途
12日前
住友化学株式会社
粘着剤組成物
1か月前
住友化学株式会社
レジスト組成物及びレジストパターンの製造方法並びに化合物
29日前
住友化学株式会社
レジスト組成物及びレジストパターンの製造方法並びに化合物
29日前
住友化学株式会社
着色樹脂組成物
1か月前
住友化学株式会社
塩、酸発生剤、レジスト組成物及びレジストパターンの製造方法
2日前
住友化学株式会社
酸発生剤、塩、レジスト組成物及びレジストパターンの製造方法
26日前
住友化学株式会社
塩、酸発生剤、レジスト組成物及びレジストパターンの製造方法
2日前
住友化学株式会社
化合物、組成物、カラーフィルタ、表示装置、及び固体撮像素子
今日
住友化学株式会社
酸発生剤、塩、レジスト組成物及びレジストパターンの製造方法
2日前
住友化学株式会社
酸発生剤、塩、レジスト組成物及びレジストパターンの製造方法
21日前
住友化学株式会社
窒化物半導体基板
22日前
住友化学株式会社
窒化ガリウム単結晶基板および窒化ガリウム単結晶基板の製造方法
1か月前
住友化学株式会社
窒化ガリウム単結晶基板および窒化ガリウム単結晶基板の製造方法
1か月前
続きを見る
他の特許を見る