TOP
|
特許
|
意匠
|
商標
特許ウォッチ
Twitter
他の特許を見る
公開番号
2025172449
公報種別
公開特許公報(A)
公開日
2025-11-26
出願番号
2024077961
出願日
2024-05-13
発明の名称
熱処理治具、及び熱処理治具の製造方法
出願人
東京窯業株式会社
代理人
個人
主分類
C04B
41/87 20060101AFI20251118BHJP(セメント;コンクリート;人造石;セラミックス;耐火物)
要約
【課題】基材に対して溶射した溶射材が剥がれにくい熱処理治具、及び当該熱処理治具の製造方法の提供を目的とした。
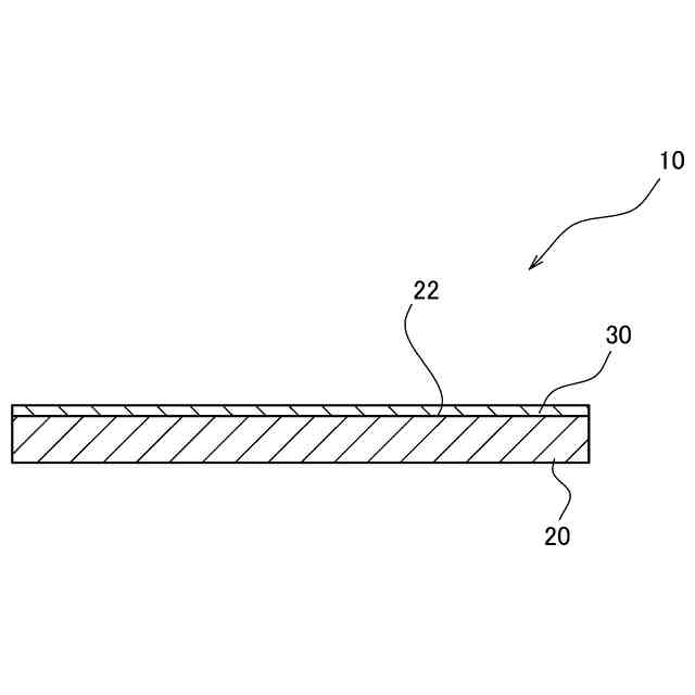
【解決手段】熱処理治具10は、セラミックス製の基材部20と、溶射材によって形成された溶射部30と、を有し、基材部20は、溶射材が溶射される溶射対象領域22を有し、溶射対象領域22は、コア部のレベル差Rk及び突出山部高さRpkの和が15[μm]よりも大きく、かつ、突出山部高さRpkが4.5[μm]よりも大きい表面形状を有するものであり、溶射部30は、基材部20の溶射対象領域22に対して溶射材を溶射することにより形成されたものである。
【選択図】図1
特許請求の範囲
【請求項1】
セラミックス製の基材部と、
溶射材によって形成された溶射部と、
を有し、
前記基材部は、前記溶射材が溶射される溶射対象領域を有し、
前記溶射対象領域は、コア部のレベル差Rk及び突出山部高さRpkの和が15[μm]よりも大きく、かつ、突出山部高さRpkが4.5[μm]よりも大きい表面形状を有するものであり、
前記溶射部は、前記基材部の前記溶射対象領域に対して溶射材を溶射することにより形成されたものであること、を特徴とする熱処理治具。
続きを表示(約 580 文字)
【請求項2】
前記溶射対象領域は、前記表面形状に対応する凹凸形状を有する金型により、前記基材部の原料を加圧して形成された圧粉体を焼成して形成されたものであること、を特徴とする請求項1に記載の熱処理治具。
【請求項3】
前記基材部が、アルミナ及びシリカを主成分として含有する組成物を焼成することによって生成される前記焼成物としてのムライトセラミックスにより形成されたものであること、を特徴とする請求項1又は2に記載の熱処理治具。
【請求項4】
セラミックス製であってコア部のレベル差Rk及び突出山部高さRpkの和が15[μm]よりも大きく、かつ、突出山部高さRpkが4.5[μm]よりも大きい表面形状を有する溶射対象領域を備えた基材部を準備する基材部準備工程と、
前記基材部準備工程において準備された前記基材部の前記溶射対象領域に対して溶射材を溶射する溶射工程と、
を有すること、を特徴とする熱処理治具の製造方法。
【請求項5】
前記基材部準備工程において、前記表面形状に対応する凹凸形状を有する金型により、前記基材部の原料を加圧して形成された圧粉体を焼成することにより、前記表面形状を有する前記溶射対象領域を備えた前記基材部を準備すること、を特徴とする請求項4に記載の熱処理治具の製造方法。
発明の詳細な説明
【技術分野】
【0001】
本発明は、熱処理治具、及び熱処理治具の製造方法に関する。
続きを表示(約 1,500 文字)
【背景技術】
【0002】
従来、下記特許文献1に開示されているような熱処理治具及びセラミック電子部品の製造方法が提供されている。特許文献1に係る従来技術は、被熱処理物から基材への物質の拡散を抑制することが可能で、使用開始の当初から安定した熱処理を行えるようにすべく、ムライト系材料からなる基材上に高純度Al
2
O
3
からなる第1コート層を配設し、さらに第1コート層の上にZrO
2
を主成分とする第2コート層を配設して、コート層を複数層構造としたものである。
【先行技術文献】
【特許文献】
【0003】
特開2002-211991号公報
【発明の概要】
【発明が解決しようとする課題】
【0004】
上述した特許文献1に係る従来技術のように、基材の上に複数のコート層を設けた構成とした場合、コート層が剥がれてしまうと、基材と被熱処理物との反応や、剥がれたコート層による被熱処理物の汚染等が生じてしまうという問題がある。
【0005】
ここで、本発明者らが鋭意検討したところ、基材に対して溶射材を溶射しつつ、基材において溶射材が溶射される面の表面状態を最適化することにより、溶射材が剥がれにくくなり、上述のような問題が生じるのを抑制できるとの知見に至った。
【0006】
かかる知見に基づき、本発明は、基材に対して溶射した溶射材が剥がれにくい熱処理治具、及び当該熱処理治具の製造方法の提供を目的とした。
【課題を解決するための手段】
【0007】
(1)本発明の熱処理治具は、セラミックス製の基材部と、溶射材によって形成された溶射部と、を有し、前記基材部は、前記溶射材が溶射される溶射対象領域を有し、前記溶射対象領域は、コア部のレベル差Rk及び突出山部高さRpkの和が15[μm]よりも大きく、かつ、突出山部高さRpkが4.5[μm]よりも大きい表面形状を有するものであり、前記溶射部は、前記基材部の前記溶射対象領域に対して溶射材を溶射することにより形成されたものであること、を特徴とするものである。
【0008】
本発明者らが鋭意検討した結果、コア部のレベル差Rk及び突出山部高さRpkの和が15[μm]よりも大きいという第一条件を満足する領域に対して溶射材を溶射すると、溶射材の剥離が起こりにくいとの知見が得られた。また、本発明者らが鋭意検討した結果、突出山部高さRpkが4.5[μm]よりも大きいという第二条件を満足する領域に対して溶射材を溶射すると、隣接する位置にある突出山部の間において溶射部30により形成されるコート層が少し窪んだ状態となり、剥離しにくくなるとの知見が得られた。本発明はかかる知見に基づいてなされたものであり、前述した第一条件、及び第二条件の双方を満足する領域を溶射対象領域として溶射材を溶射して溶射部を形成する。したがって、本発明の熱処理治具は、上記(1)に係る構成とすることにより、基材に対して溶射した溶射材が剥がれにくい熱処理治具を提供できる。
【0009】
上述した熱処理治具は、1350℃での熱処理後に前記溶射部が3.5[N/mm
2
]以上の剥離強度を発現するものであるとよい。
【0010】
本発明の熱処理治具は、上述した剥離強度に係る条件を満足するものとすることにより、基材に対して溶射した溶射材が剥がれにくい熱処理治具を提供できる。
(【0011】以降は省略されています)
この特許をJ-PlatPat(特許庁公式サイト)で参照する
関連特許
東京窯業株式会社
ガス吹きノズル及びその製造方法
2か月前
東京窯業株式会社
熱処理治具、及び熱処理治具の製造方法
2日前
東京窯業株式会社
固体電解質センサ及び固体電解質センサの使用方法
1か月前
東京窯業株式会社
誘導炉用スリーブ、誘導炉、及び誘導炉用スリーブ製造方法
3か月前
個人
吸収材
21日前
個人
振動吸収材
21日前
個人
水質浄化剤
21日前
個人
空気清浄材
21日前
東ソー株式会社
焼結体
23日前
東ソー株式会社
焼結体
23日前
株式会社トクヤマ
水硬性組成物
2か月前
株式会社トクヤマ
窒化ケイ素基板
1か月前
株式会社トクヤマ
窒化ケイ素基板
2か月前
東ソー株式会社
焼結体の製造方法
1か月前
株式会社トクヤマ
窒化ケイ素基板
3か月前
太平洋マテリアル株式会社
膨張材
1か月前
太平洋マテリアル株式会社
裏込め材
1か月前
有限会社林製作所
無機質成形体
4か月前
太平洋マテリアル株式会社
樹脂モルタル
2か月前
太平洋マテリアル株式会社
吹付モルタル
1か月前
太平洋マテリアル株式会社
樹脂モルタル
2か月前
ノリタケ株式会社
焼成用治具
1か月前
ノリタケ株式会社
焼成用治具
1か月前
太平洋マテリアル株式会社
セメント組成物
1か月前
日本電気硝子株式会社
光学部材の製造方法
1か月前
ノリタケ株式会社
焼成用治具
1か月前
愛媛県
釉薬組成物
3か月前
デンカ株式会社
グラウト材料
3か月前
株式会社トクヤマ
改質フライアッシュの製造方法
1か月前
デンカ株式会社
モルタル材料
1か月前
日本特殊陶業株式会社
セラミック部品
1か月前
太平洋セメント株式会社
固化材
5か月前
TOTO株式会社
構造部材
1か月前
TOTO株式会社
構造部材
1か月前
TOTO株式会社
構造部材
1か月前
TOTO株式会社
複合材料
2か月前
続きを見る
他の特許を見る