TOP
|
特許
|
意匠
|
商標
特許ウォッチ
Twitter
他の特許を見る
10個以上の画像は省略されています。
公開番号
2025143479
公報種別
公開特許公報(A)
公開日
2025-10-01
出願番号
2025116869,2023203928
出願日
2025-07-10,2020-05-20
発明の名称
光吸収性組成物、光吸収膜、及び光学フィルタ
出願人
日本板硝子株式会社
代理人
弁理士法人青藍国際特許事務所
主分類
G02B
5/22 20060101AFI20250924BHJP(光学)
要約
【課題】本開示は、フェニル系ホスホン酸及びアルキル系ホスホン酸を含有していなくても所望の光学特性を有する光吸収膜を提供するのに有利な光吸収性組成物を提供する。また、そのような光吸収膜及び光吸収膜を備えた光学フィルタを提供する。
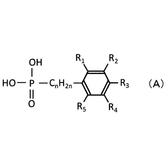
【解決手段】本発明に係る光吸収性組成物は、下記式(A)で表されるホスホン酸と銅イオンとによって形成された光吸収剤と、硬化性樹脂と、を含有する、光吸収性組成物の塗膜を硬化させることによって、所望の特性を有する光吸収膜を提供できる。式(A)中、R
1
~R
5
のそれぞれは、独立して水素原子、ハロゲン原子、ヒドロキシ基、又はニトロ基を表し、nは1~3の整数を表す。
<com:Image com:imageContentCategory="Drawing"> <com:ImageFormatCategory>TIFF</com:ImageFormatCategory> <com:FileName>2025143479000009.tif</com:FileName> <com:HeightMeasure com:measureUnitCode="Mm">43</com:HeightMeasure> <com:WidthMeasure com:measureUnitCode="Mm">151</com:WidthMeasure> </com:Image>
【選択図】なし
特許請求の範囲
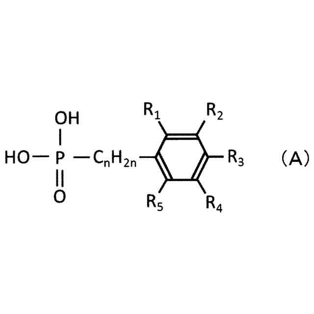
【請求項1】
下記式(A)で表されるホスホン酸と銅イオンとによって形成された光吸収剤と、
硬化性樹脂と、を含有する、
光吸収性組成物。
TIFF
2025143479000007.tif
42
150
[式(A)中、R
1
~R
5
のそれぞれは、独立して水素原子、ハロゲン原子、ヒドロキシ基、又はニトロ基を表し、nは1~3の整数を表す。]
続きを表示(約 1,800 文字)
【請求項2】
当該光吸収性組成物の塗膜を硬化させて得られる光吸収膜は、0°の入射角度で波長300nm~1200nmの光を入射させたときに、下記の(i)~(iii)の条件を満た
す、請求項1に記載の光吸収性組成物。
(i)波長350nm~450nmにおいて分光透過率が50%を示すUVカットオフ波長が波長400nm~450nmの範囲内に存在する。
(ii)波長600nm~750nmにおいて分光透過率が50%を示すIRカットオフ波長が波長700nm以下である。
(iii)前記IRカットオフ波長から前記UVカットオフ波長を差し引いた差が240n
m以上である。
【請求項3】
前記光吸収膜は、0°の入射角度で波長300nm~1200nmの光を入射させたときに、下記の(iv)~(vii)の条件をさらに満たす、請求項2に記載の光吸収性組成物
。
(iv)波長300nm~350nmにおける分光透過率が1%以下である。
(v)波長450nm~600nmにおける平均透過率が75%以上である。
(vi)波長800nm~1100nmにおける分光透過率が10%以下である。
(vii)波長800nm~1150nmにおける分光透過率が15%以下である。
【請求項4】
前記銅イオンの含有量に対する前記ホスホン酸の含有量の比は、物質量基準で、0.7~0.9である、請求項1~3のいずれか1項に記載の光吸収性組成物。
【請求項5】
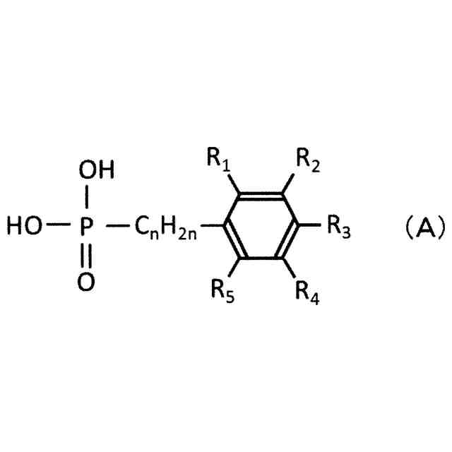
下記式(A)で表されるホスホン酸と銅イオンとによって形成された光吸収剤と、
硬化性樹脂の硬化物と、を含有する、
光吸収膜。
TIFF
2025143479000008.tif
42
150
[式(A)中、R
1
~R
5
のそれぞれは、独立して水素原子、ハロゲン原子、ヒドロキシ基、又はニトロ基を表し、nは1~3の整数を表す。]
【請求項6】
0°の入射角度で波長300nm~1200nmの光を入射させたときに、下記の(i)~(iii)の条件を満たす、請求項5に記載の光吸収膜。
(i)波長350nm~450nmにおいて分光透過率が50%を示すUVカットオフ波長が波長400nm~450nmの範囲内に存在する。
(ii)波長600nm~750nmにおいて分光透過率が50%を示すIRカットオフ波長が波長700nm以下である。
(iii)前記IRカットオフ波長から前記UVカットオフ波長を差し引いた差が240n
m以上である。
【請求項7】
0°の入射角度で波長300nm~1200nmの光を入射させたときに、下記の(iv)~(vii)の条件をさらに満たす、請求項6に記載の光吸収膜。
(iv)波長300nm~350nmにおける分光透過率が1%以下である。
(v)波長450nm~600nmにおける平均透過率が75%以上である。
(vi)波長800nm~1100nmにおける分光透過率が10%以下である。
(vii)波長800nm~1150nmにおける分光透過率が15%以下である。
【請求項8】
前記銅イオンの含有量に対する前記ホスホン酸の含有量の比は、物質量基準で、0.7~0.9である、請求項5~7のいずれか1項に記載の光吸収膜。
【請求項9】
請求項5~8のいずれか1項に記載の光吸収膜を備えた、光学フィルタ。
【請求項10】
0°の入射角度で波長300nm~1200nmの光を入射させたときに、下記(I)~(III)の条件を満たす、請求項9に記載の光学フィルタ。
(I)波長350nm~450nmにおいて分光透過率が50%を示すUVカットオフ波長が波長400nm~450nmの範囲内に存在する。
(II)波長600nm~750nmにおいて分光透過率が50%を示すIRカットオフ波長が波長700nm以下である。
(III)前記IRカットオフ波長から前記UVカットオフ波長を差し引いた差が240n
m以上である。
(【請求項11】以降は省略されています)
発明の詳細な説明
【技術分野】
【0001】
本発明は、光吸収性組成物、光吸収膜、及び光学フィルタに関する。
続きを表示(約 1,900 文字)
【背景技術】
【0002】
CCD(Charge Coupled Device)又はCMOS(Complementary Metal Oxide Semiconductor
)等の固体撮像素子を用いた撮像装置において、良好な色再現性を有する画像を得るために様々な光学フィルタが固体撮像素子の前面に配置されている。一般的に、固体撮像素子は紫外線領域から赤外線領域に至る広い波長範囲で分光感度を有する。一方、人間の視感度は可視光の領域にのみに存在する。このため、撮像装置における固体撮像素子の分光感度を人間の視感度に近づけるために、固体撮像素子の前面に赤外線又は紫外線の一部の光を遮蔽する光学フィルタを配置する技術が知られている。
【0003】
従来、そのような光学フィルタとしては、誘電体多層膜による光反射を利用して赤外線又は紫外線を遮蔽するものが一般的であった。一方、近年、光吸収剤を含有する膜を備えた光学フィルタが注目されている。光吸収剤を含有する膜を備えた光学フィルタの透過率特性は入射角の影響を受けにくいので、撮像装置において光学フィルタに斜めに光が入射する場合でも色味の変化が少ない良好な画像を得ることができる。また、光反射膜を用いない光吸収型光学フィルタは光反射膜による多重反射を原因とするゴーストやフレアの発生を抑制することができるため、逆光状態や夜景の撮影において良好な画像を得やすい。加えて、光吸収剤を含有する膜を備えた光学フィルタは、撮像装置の小型化及び薄型化の点でも有利である。
【0004】
そのような光吸収剤として、ホスホン酸と銅イオンとによって形成された光吸収剤が知られている。例えば、特許文献1には、フェニル基又はハロゲン化フェニル基を有するホスホン酸と銅イオンとによって形成された光吸収剤を含有する光吸収層を備えた、光学フィルタが記載されている。
【0005】
また、特許文献2には、赤外線及び紫外線を吸収可能なUV‐IR吸収層を備えた光学フィルタが記載されている。UV‐IR吸収層は、ホスホン酸と銅イオンとによって形成されたUV‐IR吸収剤を含んでいる。光学フィルタが所定の光学特性を満たすように、UV‐IR吸収性組成物は、例えば、フェニル系ホスホン酸と、アルキル系ホスホン酸とを含有している。
【先行技術文献】
【特許文献】
【0006】
特許第6339755号公報
特許第6232161号公報
【発明の概要】
【発明が解決しようとする課題】
【0007】
特許文献1に記載の光学フィルタにおいて、UVカットオフ波長は400nm未満である。加えて、特許文献1に記載の技術は、波長1000nmを超える範囲において光吸収性能を高める余地を有する。一方、特許文献2に記載の技術は、光学フィルタが所定の光学特性を満たすために、UV‐IR吸収性組成物がフェニル系ホスホン酸及びアルキル系ホスホン酸を含有している。
【0008】
そこで、本開示は、フェニル系ホスホン酸及びアルキル系ホスホン酸を含有していなく
ても所望の光学特性を有する光吸収膜を提供するのに有利な光吸収性組成物を提供する。また、本発明は、そのような光吸収膜及び光吸収膜を備えた光学フィルタを提供する。
【課題を解決するための手段】
【0009】
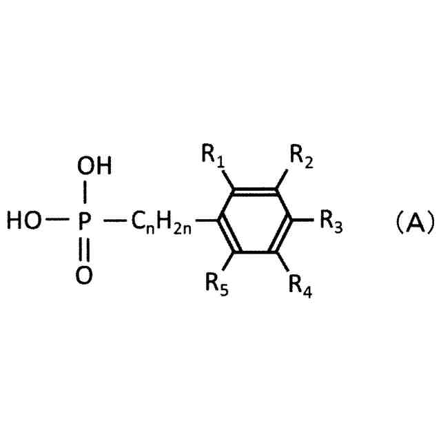
本発明は、
下記式(A)で表されるホスホン酸と銅イオンとによって形成された光吸収剤と、
硬化性樹脂と、を含有する、
光吸収性組成物を提供する。
TIFF
2025143479000001.tif
40
146
[式(A)中、R
1
~R
5
のそれぞれは、独立して水素原子、ハロゲン原子、ヒドロキシ基、又はニトロ基を表し、nは1~3の整数を表す。]
【0010】
本発明は、
下記式(A)で表されるホスホン酸と銅イオンとによって形成された光吸収剤と、
硬化性樹脂の硬化物と、を含有する、
光吸収膜を提供する。
TIFF
2025143479000002.tif
42
146
[式(A)中、R
1
~R
5
のそれぞれは、独立して水素原子、ハロゲン原子、ヒドロキシ基、又はニトロ基を表し、nは1~3の整数を表す。]
(【0011】以降は省略されています)
この特許をJ-PlatPat(特許庁公式サイト)で参照する
関連特許
日本板硝子株式会社
車両用ガラスモジュール
28日前
日本板硝子株式会社
膜、液状組成物、光学素子、及び撮像装置
1か月前
日本板硝子株式会社
光吸収性組成物、光吸収膜、及び光学フィルタ
6日前
カンタツ株式会社
光学系
29日前
アイカ工業株式会社
反射防止フィルム
29日前
アイカ工業株式会社
反射防止フィルム
5日前
キヤノン株式会社
映像表示装置
18日前
インターマン株式会社
立体映像表示装置
18日前
日本分光株式会社
赤外顕微鏡
4日前
個人
透過型及び反射型顕微鏡
18日前
旭化成株式会社
成形体
4日前
旭化成株式会社
成形体
4日前
キヤノン株式会社
画像表示装置
26日前
東レ株式会社
プラスチック光ファイバ
28日前
キヤノン株式会社
画像表示装置
4日前
キヤノン株式会社
レンズ装置および撮像装置
6日前
レーザーテック株式会社
検査装置及び検査方法
8日前
キヤノン株式会社
表示装置
11日前
東レ株式会社
先端に凸面を有する光ファイバ
18日前
日東電工株式会社
光学積層体
19日前
株式会社小糸製作所
画像投影装置
18日前
株式会社小糸製作所
画像生成装置
27日前
日東電工株式会社
光学積層体
1か月前
株式会社小糸製作所
画像投影装置
19日前
キヤノン株式会社
光学系及び撮像装置
12日前
エピフォトニクス株式会社
光導波路素子
5日前
キヤノン株式会社
光学系および撮像装置
29日前
KDDI株式会社
光増幅器
5日前
KDDI株式会社
光増幅器
18日前
KDDI株式会社
光増幅器
18日前
住友化学株式会社
複合偏光板及び画像表示装置
6日前
セイコーエプソン株式会社
虚像表示装置
8日前
KDDI株式会社
光増幅器
5日前
株式会社フォトニックラティス
透過型光学顕微鏡
12日前
レーザーテック株式会社
波長変換装置及び波長変換方法
12日前
瀚宇彩晶股ふん有限公司
表示パネル
1か月前
続きを見る
他の特許を見る