TOP
|
特許
|
意匠
|
商標
特許ウォッチ
Twitter
他の特許を見る
10個以上の画像は省略されています。
公開番号
2025152962
公報種別
公開特許公報(A)
公開日
2025-10-10
出願番号
2024055169
出願日
2024-03-29
発明の名称
アルコール合成用触媒及びそれを用いたアルコールの製造方法
出願人
国立大学法人北海道大学
,
株式会社アイシン
代理人
個人
,
個人
,
個人
,
個人
主分類
B01J
23/847 20060101AFI20251002BHJP(物理的または化学的方法または装置一般)
要約
【課題】二酸化炭素をアルコールに変換する触媒を提供することを目的とする。
【解決手段】本発明は一態様においてa)Feと、b)Zn及びCuのうち少なくとも1種と、c)Li,Na,K,Rb,Cs,Mg,Ca,Sr,及びBaからなる群のうち少なくとも2種の元素であって、K及びその他の少なくともいずれか1種、又はCs及びその他の少なくともいずれか1種とを含むアルコール合成用触媒である。本発明は他の態様においてa)Feと、b)Zn及びCuのうち少なくとも1種と、c)K及びCsのうち少なくとも1種と、d)Ga,Y,Nb,Cd,Nd,Tb,Er,Yb,Ta,W及びReからなる群のうち少なくとも1種とを含む、アルコール合成用触媒である。
【選択図】なし
特許請求の範囲
【請求項1】
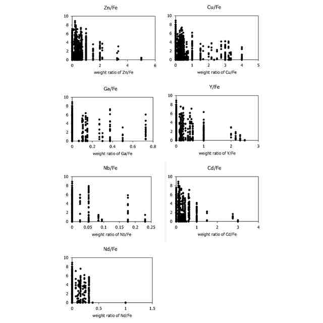
a) Feと、
b) Zn及びCuのうち少なくとも1種と、
c) Li,Na,K,Rb,Cs,Mg,Ca,Sr,及びBaからなる群のうち少なくとも2種の元素であって、K及びその他の少なくともいずれか1種、又はCs及びその他の少なくともいずれか1種とを含む触媒活性成分からなる
アルコール合成用触媒。
続きを表示(約 1,500 文字)
【請求項2】
前記アルコール合成用触媒はさらに担体を含む担持触媒であるとともに、前記触媒活性成分と担体との合計重量に対して
Feを2~30重量%含み、
前記触媒活性成分と担体との合計重量に対して2~15重量%のZn及び2~25重量のCuのいずれかを含み、
前記触媒活性成分と担体との合計重量に対して
0.5~10重量%のLi、
0.5~2.5重量%のNa、
0.5~5重量%のK、
0.5~4重量%のRb、
0.5~5重量%のCs、
0.5~3重量%のMg、
0.5~4重量%のCa
0.5~4重量%のSr、及び
0.5~4重量%のBa、
からなる群のうち少なくとも2種の元素を含む
請求項1記載のアルコール合成用触媒。
【請求項3】
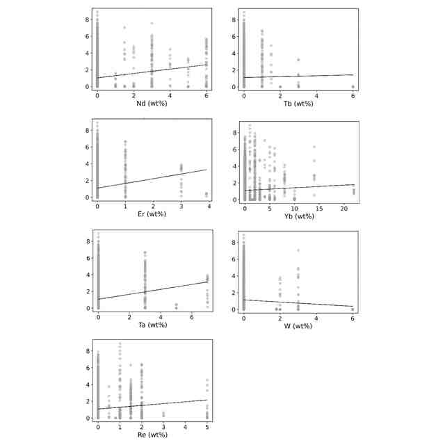
d) Ga,Y,Nb,Cd,Nd,Tb,Er,Yb,Ta,W及びReからなる群のうち少なくとも1種の元素をさらに含む、
請求項1記載のアルコール合成用触媒。
【請求項4】
前記アルコール合成用触媒はさらに担体を含む担持触媒であるとともに、前記触媒活性成分と担体との合計重量に対して
5~8重量%のGa、
1~14重量%のY、
0.5~3重量%のNb、
1~23重量%のCd、
1~6重量%のNd、
0.5~3重量%のTb、
0.5~4重量%のEr、
0.5~23重量%のYb、
1~7重量%のTa、
1~4重量%のW、及び
0.5~5重量%のRe
からなる群のうち少なくとも1種の元素をさらに含む
請求項3記載のアルコール合成用触媒。
【請求項5】
Ru,Rh,Pd,Ir,Pt及びAuからなる群のうち少なくとも1種の元素をさらに含む、
請求項1~4のうちいずれか一項に記載のアルコール合成用触媒。
【請求項6】
a) Feと、
b) Zn及びCuのうち少なくとも1種と、
c) K及びCsのうち少なくとも1種と、
d) Ga,Y,Nb,Cd,Nd,Tb,Er,Yb,Ta,W及びReからなる群のうち少なくとも1種とを含む触媒活性成分からなる
アルコール合成用触媒。
【請求項7】
前記アルコール合成用触媒はさらに担体を含む担持触媒であるとともに、前記触媒活性成分と担体との合計重量に対して
Feを2~30重量%含み、
前記触媒活性成分と担体との合計重量に対して2~15重量%のZn及び2~25重量のCuのいずれかを含み、
前記触媒活性成分と担体との合計重量に対して
0.5~5重量%のK及び0.5~5重量%のCsのいずれかを含み、
前記触媒活性成分と担体との合計重量に対して
5~8重量%のGa、
1~14重量%のY、
0.5~3重量%のNb、
1~23重量%のCd、
1~6重量%のNd、
0.5~3重量%のTb、
0.5~4重量%のEr、
0.5~23重量%のYb、
1~7重量%のTa、
1~4重量%のW、及び
0.5~5重量%のRe
からなる群のうち少なくとも1種の元素を含む
請求項6記載のアルコール合成用触媒。
【請求項8】
Ru,Rh,Pd,Ir,Pt,及びAuからなる群のうち少なくとも1種の元素をさらに含む、
請求項6又は請求項7記載のアルコール合成用触媒。
発明の詳細な説明
【技術分野】
【0001】
本発明はアルコール合成用触媒及びそれを用いたアルコールの製造方法に関する。
続きを表示(約 1,700 文字)
【背景技術】
【0002】
地球温暖化対策として、二酸化炭素の排出抑制が挙げられる。いくつかの排出抑制策の中で大気中の二酸化炭素を回収し再資源化することにより二酸化炭素を有効活用する方策にも大きな関心が寄せられている。その一つとして、二酸化炭素を炭素源とする二酸化炭素からアルコールへの工業的な変換技術が挙げられる。二酸化炭素からアルコールへの変換には高い活性化エネルギーを要するため、より変換効率の高い触媒の開発が進められている。
【0003】
例えば、特許文献1には、鉄、銅、亜鉛、及びカリウムを含む触媒で二酸化炭素の水素化反応を行う方法が開示されている。またこれらの金属に加えてさらにコバルト、ニッケル、ルテニウム、ロジウム、パラジウム、オスミウム、イリジウム、白金から選ばれた周期律表第VIII族元素を含む触媒も開示されている。
【0004】
特許文献2には、Cu、Zn、Fe、及びアルカリ土類金属を含有することを特徴とするアルコール合成用触媒が開示されている。
【0005】
特許文献3には、銅と、亜鉛と、鉄、ニッケル、又はコバルトから選択される1つ以上の第1の元素と、アルミニウムと、酸素と、を含むCZA触媒が開示されている。触媒には任意選択で、V、VI、VII、VIII、IX、X、及びXI族金属(例えば、マンガン、銀、ニオブ、ジルコニウム、モリブデン、ルテニウム、又はパラジウム)から選択される1つ以上の第2の元素が含まれる。また触媒には任意選択で、1つ以上のIA族金属が含まれる。
【先行技術文献】
【特許文献】
【0006】
特開平09-087217号公報
特開2020-011228号公報
特表2023-531717号公報
【非特許文献】
【0007】
Gang Wangら、“Accelerated discovery of multi-elemental reverse water-gas shift catalysts using extrapolative machine learning approach”、[online],Nature Communications、14、No.5861、2023年、[令和6年1月29日検索],インターネット<URL:https://doi.org/10.1038/s41467-023-41341-3>
【発明の概要】
【発明が解決しようとする課題】
【0008】
本発明は二酸化炭素をアルコールに変換する触媒であって、先行技術において開示された触媒に対する代替的な触媒を提供することを目的とする。
【課題を解決するための手段】
【0009】
本発明者等は、
a) Feと、
b) Zn及びCuのうち少なくとも1種と、
c) Li,Na,K,Rb,Cs,Mg,Ca,Sr,及びBaからなる群のうち少なくとも2種の元素であって、K及びその他の少なくともいずれか1種、又はCs及びその他の少なくともいずれか1種とを含む触媒活性成分からなるアルコール合成用触媒が、二酸化炭素をアルコールに変換できることを見出した。また、
a) Feと、
b) Zn及びCuのうち少なくとも1種と、
c) K及びCsのうち少なくとも1種と、
d) Ga,Y,Nb,Cd,Nd,Tb,Er,Yb,Ta,W及びReからなる群のうち少なくとも1種とを含む触媒活性成分からなるアルコール合成用触媒もまた、二酸化炭素をアルコールに変換できることを見出し、本発明を完成するに至った。
【発明の効果】
【0010】
本発明により、二酸化炭素をアルコールに変換する触媒であって、先行技術において開示された触媒に対する代替的な触媒が提供される。
【図面の簡単な説明】
(【0011】以降は省略されています)
この特許をJ-PlatPat(特許庁公式サイト)で参照する
関連特許
株式会社カネカ
抗菌剤
1か月前
国立大学法人北海道大学
含フッ素化合物の製造方法
2か月前
株式会社デンソー
平滑回路
2か月前
住友電気工業株式会社
光学素子
4か月前
株式会社タクマ
バイオマス処理装置
3か月前
国立大学法人北海道大学
粒子の分離方法および粒子の分離装置
25日前
株式会社ジョコネ
骨盤底筋運動測定装置
3か月前
国立大学法人北海道大学
発光材料、塗料、印刷物、及び樹脂成形体
1か月前
日本製鉄株式会社
ワカメ藻体及びその育成方法
1か月前
国立大学法人北海道大学
タンパク質分解制御化合物、剤、方法及びキット
9日前
国立大学法人北海道大学
触媒及びそれを用いた不飽和カルボン酸の製造方法
1か月前
株式会社エフ・シー・シー
電動車両用暖房システム
3か月前
国立大学法人北海道大学
ポリマー、オキセタン化合物、及び硬化性樹脂組成物
3か月前
国立大学法人北海道大学
カンナビノイド類を検査する検査キット及び検査方法
4か月前
旭化成株式会社
CNSLを用いたフェノールの製造方法
2か月前
株式会社椿本チエイン
複合材料、及び複合材料の製造方法
1か月前
株式会社エフ・シー・シー
電動車両用蓄電池保温システム
3か月前
国立大学法人北海道大学
1つのフェノール性水酸基を有する芳香族化合物の製造方法
3か月前
国立大学法人北海道大学
アルコール合成用触媒及びそれを用いたアルコールの製造方法
1か月前
国立大学法人北海道大学
流体シミュレーションのための方法、装置、およびプログラム
3か月前
国立大学法人北海道大学
環状ジオール化合物及びその製造方法、並びに糖類分解用触媒
16日前
国立大学法人北海道大学
多孔質構造体
1か月前
NTT株式会社
測定装置、測定方法、及び、測定プログラム
1か月前
国立研究開発法人海洋研究開発機構
採取装置及び濾過ユニット
1か月前
国立大学法人北海道大学
量子暗号受信機、量子暗号通信システム、及び量子暗号受信方法
2か月前
株式会社日立製作所
放射線治療支援装置及び放射線治療支援方法
3か月前
バイオサイエンステクノロジー株式会社
新規な糖化合物又はその塩
3か月前
日本電気株式会社
情報処理システム、情報処理方法及びプログラム
3か月前
国立大学法人北海道大学
椎間板治療用組成物
1か月前
NTT株式会社
数モードマルチコア光ファイバ及び光伝送システム
22日前
国立大学法人北海道大学
成形体、ウェアラブル端末、成形体の製造方法、高分子架橋体の製造方法
7日前
株式会社大林組
自硬性材料の製造方法
4か月前
東レ株式会社
芳香族化合物の製造方法、およびテレフタル酸の製造方法
14日前
東京都公立大学法人
耐熱合金
2か月前
国立大学法人九州大学
燃料電池、電解セル及び組セル
1か月前
国立大学法人北海道大学
内部アクセス装置、位置姿勢推定システム、位置姿勢推定方法、及びプログラム
2か月前
続きを見る
他の特許を見る