TOP
|
特許
|
意匠
|
商標
特許ウォッチ
Twitter
他の特許を見る
10個以上の画像は省略されています。
公開番号
2025134776
公報種別
公開特許公報(A)
公開日
2025-09-17
出願番号
2025097998,2023006859
出願日
2025-06-11,2023-01-19
発明の名称
樹脂組成物
出願人
味の素株式会社
代理人
弁理士法人酒井国際特許事務所
主分類
C08G
59/42 20060101AFI20250909BHJP(有機高分子化合物;その製造または化学的加工;それに基づく組成物)
要約
【課題】良好な誘電特性と低熱膨張率を有する樹脂組成物を提供する。
【解決手段】(A)エポキシ樹脂、(B)活性エステル樹脂、及び、(C)マレイミド化合物を含み、(C)成分が、(C1)下記式(1)で表される構造単位を有するマレイミド化合物を含み、(A)成分に対する(B)成分の質量比[(B)成分/(A)成分]が0.8以上2.0以下であり、樹脂組成物中の樹脂成分を100質量%としたとき、(A)成分の含有量が5質量%以上60質量%以下であり、(B)成分の含有量が10質量%以上60質量%以下であり、(C)成分の含有量が5質量%以上60質量%以下であり、(C)成分の全体を100質量%としたとき、(C1)成分の含有量が30質量%以上である、樹脂組成物。
<com:Image com:imageContentCategory="Drawing"> <com:ImageFormatCategory>TIFF</com:ImageFormatCategory> <com:FileName>2025134776000031.tif</com:FileName> <com:HeightMeasure com:measureUnitCode="Mm">47</com:HeightMeasure> <com:WidthMeasure com:measureUnitCode="Mm">170</com:WidthMeasure> </com:Image>
【選択図】なし
特許請求の範囲
【請求項1】
(A)エポキシ樹脂、(B)活性エステル樹脂、及び、(C)マレイミド化合物を含み、
(C)成分が、(C1)下記式(1)で表される構造単位を有するマレイミド化合物を含み、
(A)成分に対する(B)成分の質量比[(B)成分/(A)成分]が0.8以上2.0以下であり、
樹脂組成物中の樹脂成分を100質量%としたとき、(A)成分の含有量が5質量%以上60質量%以下であり、
樹脂組成物中の樹脂成分を100質量%としたとき、(B)成分の含有量が10質量%以上60質量%以下であり、
樹脂組成物中の樹脂成分を100質量%としたとき、(C)成分の含有量が5質量%以上60質量%以下であり、
(C)成分の全体を100質量%としたとき、(C1)成分の含有量が30質量%以上である、樹脂組成物。
TIFF
2025134776000029.tif
47
170
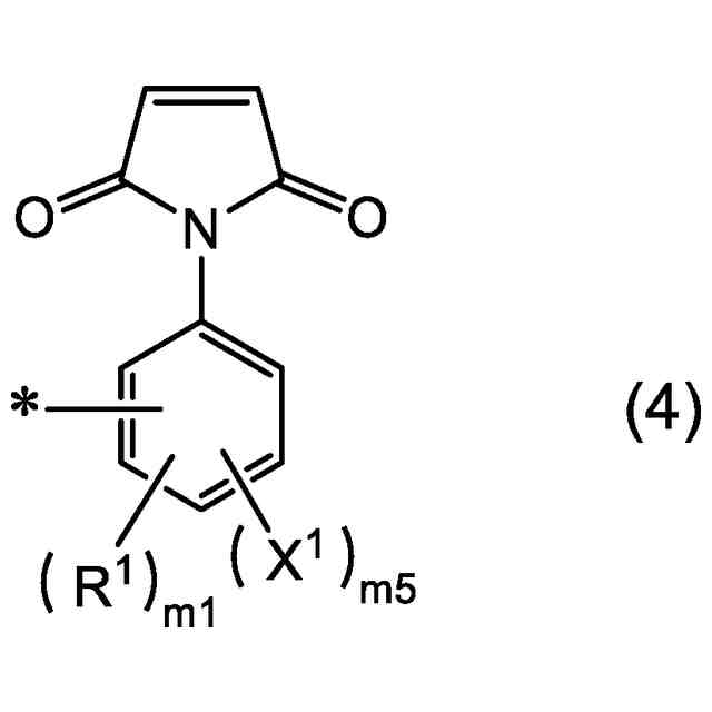
(式(1)中、
R
1
は、それぞれ独立に、アルキル基を表し、
R
2
、R
3
、R
4
及びR
5
は、それぞれ独立に、水素原子又はメチル基を表し、かつ、R
2
及びR
3
の一方は水素原子、他方はメチル基を表し、R
4
及びR
5
の一方は水素原子、他方はメチル基を表し、
R
S1
は、それぞれ独立に、置換基を表し、
X
1
は、下記式(2)で表される1価の基を表し、
m1は1~3の整数を表し、m2は0以上の整数を表し、ここで、m1及びm2は、m1+m2≦3を満たし、
m3は、0~4の整数を表し、
nは、1~100の整数を表し、
*は、結合手を表す。)
TIFF
2025134776000030.tif
23
170
(式(2)中、
R
6
及びR
7
は、それぞれ独立に、水素原子又はメチル基を表し、かつ、R
6
及びR
7
の一方は水素原子、他方はメチル基を表し、
R
S2
は、それぞれ独立に、置換基を表し、
m4は、0~5の整数を表し、
*は、結合手を表す。)
続きを表示(約 480 文字)
【請求項2】
さらに(E)無機充填材を含む、請求項1に記載の樹脂組成物。
【請求項3】
樹脂組成物中の不揮発成分を100質量%としたとき、(E)成分の含有量が40質量%以上である、請求項2に記載の樹脂組成物。
【請求項4】
さらに(F)芳香環及びラジカル重合性不飽和基を含む樹脂を含む、請求項1に記載の樹脂組成物。
【請求項5】
回路基板の絶縁層用である、請求項1に記載の樹脂組成物。
【請求項6】
支持体と、該支持体上に設けられた請求項1~5の何れか1項に記載の樹脂組成物の層とを含む、樹脂シート。
【請求項7】
支持体が、熱可塑性樹脂フィルム又は金属箔である、請求項6に記載の樹脂シート。
【請求項8】
請求項1~5の何れか1項に記載の樹脂組成物の硬化物。
【請求項9】
請求項1~5の何れか1項に記載の樹脂組成物の硬化物からなる絶縁層を含む、回路基板。
【請求項10】
請求項9に記載の回路基板を含む、半導体装置。
発明の詳細な説明
【技術分野】
【0001】
本発明は、樹脂組成物に関する。さらには、樹脂シート、硬化物、回路基板、及び半導体装置に関する。
続きを表示(約 2,400 文字)
【背景技術】
【0002】
エポキシ樹脂とその硬化剤を含む樹脂組成物は、絶縁性、耐熱性、密着性などに優れる硬化物をもたらすことから、プリント配線板や半導体チップパッケージの再配線基板などの回路基板の絶縁材料として広く使われてきた。
【0003】
他方、近年の通信の高速化に伴い、回路基板の絶縁材料には、高周波環境で作動させる際の伝送損失を低減すべく、誘電特性(低誘電正接)に優れる絶縁材料が必要とされている。誘電特性に優れる絶縁材料としては、エポキシ樹脂の硬化反応において2級水酸基のような極性基が生じることを低減・抑制し得る活性エステル樹脂などの特定の硬化剤を採用したものが報告されている(例えば、特許文献1、2)。
【先行技術文献】
【特許文献】
【0004】
特開2019-157027号公報
特開2020-94213号公報
【発明の概要】
【発明が解決しようとする課題】
【0005】
回路基板の製造技術として、絶縁層と導体層を交互に積み重ねるビルドアップ方式による製造方法が知られている。電子機器の高機能化に伴い、回路基板のビルドアップによる積層数は増加する傾向にあるが、積層数の増加に伴って絶縁層と導体層との熱膨張の差によるクラックや回路歪みの発生が問題となる。斯かるクラックや回路歪みの問題を抑制するにあたって、形成される絶縁層の熱膨張率を低く抑えることが望まれる。
【0006】
この点、良好な誘電特性が達成される程度に活性エステル樹脂を配合すると、得られる絶縁層の熱膨張率が上昇する場合があることを確認した。
【0007】
回路基板の絶縁層を形成するにあたり、マレイミド化合物を配合することで、熱膨張率を低減し得ることが報告されているが(例えば、特開2016-219640号公報の段落0052など)、活性エステル樹脂を含有する樹脂組成物にマレイミド化合物を配合したところ、誘電正接が上昇し活性エステル樹脂を用いた効果が減殺されてしまったり、そもそも熱膨張率の低減に寄与しなかったりすることを本発明者らは見出した。
【0008】
本発明の課題は、良好な誘電特性と低熱膨張率を併せて呈する硬化物をもたらすことができる、新規の樹脂組成物を提供することにある。
【課題を解決するための手段】
【0009】
本発明者らは、鋭意検討した結果、下記構成を有する樹脂組成物により上記課題を解決できることを見出し、本発明を完成させるに至った。
【0010】
すなわち、本発明は以下の内容を含む。
[1]
(A)エポキシ樹脂、(B)活性エステル樹脂、及び、(C)マレイミド化合物を含み、
(C)成分が、(C1)下記式(1)で表される構造単位を有するマレイミド化合物を含む、樹脂組成物。
TIFF
2025134776000001.tif
47
170
(式(1)中、
R
1
は、それぞれ独立に、アルキル基を表し、
R
2
、R
3
、R
4
及びR
5
は、それぞれ独立に、水素原子又はメチル基を表し、かつ、R
2
及びR
3
の一方は水素原子、他方はメチル基を表し、R
4
及びR
5
の一方は水素原子、他方はメチル基を表し、
R
S1
は、それぞれ独立に、置換基を表し、
X
1
は、下記式(2)で表される1価の基を表し、
m1は1~3の整数を表し、m2は0以上の整数を表し、ここで、m1及びm2は、m1+m2≦3を満たし、
m3は、0~4の整数を表し、
nは、1~100の整数を表し、
*は、結合手を表す。)
TIFF
2025134776000002.tif
23
170
(式(2)中、
R
6
及びR
7
は、それぞれ独立に、水素原子又はメチル基を表し、かつ、R
6
及びR
7
の一方は水素原子、他方はメチル基を表し、
R
S2
は、それぞれ独立に、置換基を表し、
m4は、0~5の整数を表し、
*は、結合手を表す。)
[2]
(A)成分に対する(B)成分の質量比[(B)成分/(A)成分]が0.8以上である、[1]に記載の樹脂組成物。
[3]
樹脂組成物中の樹脂成分を100質量%としたとき、(C)成分の含有量が5質量%以上である、[1]又は[2]に記載の樹脂組成物。
[4]
(C)成分の全体を100質量%としたとき、(C1)成分の含有量が30質量%以上である、[1]~[3]の何れかに記載の樹脂組成物。
[5]
さらに(E)無機充填材を含む、[1]~[4]の何れかに記載の樹脂組成物。
[6]
樹脂組成物中の不揮発成分を100質量%としたとき、(E)成分の含有量が40質量%以上である、[5]に記載の樹脂組成物。
[7]
さらに(F)芳香環及びラジカル重合性不飽和基を含む樹脂を含む、[1]~[6]の何れかに記載の樹脂組成物。
[8]
回路基板の絶縁層用である、[1]~[7]の何れかに記載の樹脂組成物。
[9]
【発明の効果】
(【0011】以降は省略されています)
この特許をJ-PlatPat(特許庁公式サイト)で参照する
関連特許
味の素株式会社
ベーカリー食品食感向上剤
8日前
味の素株式会社
腸内環境改善用素材の製造方法
今日
味の素株式会社
酵母培養物処理物を含む静菌剤
6日前
味の素株式会社
バッター液の凍結物の割れにくさが向上した冷凍餃子
6日前
味の素株式会社
磁性ペースト
8日前
他の特許を見る