TOP
|
特許
|
意匠
|
商標
特許ウォッチ
Twitter
他の特許を見る
10個以上の画像は省略されています。
公開番号
2025182040
公報種別
公開特許公報(A)
公開日
2025-12-11
出願番号
2025167228,2023055696
出願日
2025-10-03,2015-11-26
発明の名称
シミュレータ、該シミュレータを備える注入装置又は撮像システム、及びシミュレーションプログラム
出願人
国立大学法人広島大学
,
株式会社根本杏林堂
代理人
個人
,
個人
,
個人
,
個人
主分類
A61B
6/50 20240101AFI20251204BHJP(医学または獣医学;衛生学)
要約
【課題】 実際の組織における画素値の経時変化に近似したより高精度の予測を行う。
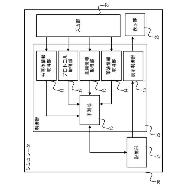
【解決手段】 被写体の組織における画素値の経時変化を予測するシミュレータ20は、被写体の情報を取得する被写体情報取得部11と、造影剤の注入プロトコルを取得するプロトコル取得部12と、組織の情報を取得する組織情報取得部13と、被写体の情報と、注入プロトコルと、組織の情報とに基づいて、組織を血流方向Dに沿って分割した複数のコンパートメントのそれぞれの画素値の経時変化を予測する予測部16とを備える。
【選択図】図1
特許請求の範囲
【請求項1】
表示部と、
被写体の組織において経時変化する画素値の予測に基づく予測画像であって、前記画素値に応じた前記被写体の組織の予測画像を表示するように、前記表示部を制御する表示制御部とを備え、
前記表示制御部は、前記画素値の経時変化の予測対象である前記被写体の組織の中からオペレータが選択した選択組織の時間濃度曲線を、前記予測画像と同時に前記表示部に表示させる、表示装置。
続きを表示(約 1,200 文字)
【請求項2】
前記被写体の組織における前記画素値の経時変化を予測する予測部と、
前記被写体の情報を取得する被写体情報取得部と、
造影剤の注入プロトコルを取得するプロトコル取得部と、
前記組織の情報を取得する組織情報取得部とをさらに備え、
前記予測部は、前記被写体の情報と、前記注入プロトコルと、前記組織の情報とに基づいて、前記画素値の経時変化を予測し、
前記表示制御部は、前記予測画像を前記画素値に応じた濃度の色で表示するように、前記表示部を制御する、請求項1に記載の表示装置。
【請求項3】
表示部と、
被写体の組織において経時変化する画素値の予測に基づく予測画像であって、前記画素値に応じた前記被写体の組織の予測画像を表示するように、前記表示部を制御する表示制御部とを備え、
前記表示制御部は、前記予測画像が造影剤の注入開始からの経過時間に沿った連続的な動画として再生されるように、前記表示部を制御する、表示装置。
【請求項4】
前記表示制御部は、造影剤の注入開始から所定の時間が経過した時点の前記予測画像が表示されるように、前記表示部を制御する、請求項1から3のいずれか一項に記載の表示装置。
【請求項5】
前記表示制御部は、前記画素値の経時変化に応じて前記予測画像の濃淡を変更するように、前記表示部を制御する、請求項1から4のいずれか一項に記載の表示装置。
【請求項6】
注入プロトコルに従って造影剤を注入する注入ヘッドと、
請求項1から5のいずれか一項に記載の表示装置とを備える、注入装置。
【請求項7】
被写体を撮像する医療用の撮像装置と、
請求項1から5のいずれか一項に記載の表示装置とを備える、撮像システム。
【請求項8】
コンピュータと表示部とを備える表示装置の制御プログラムであって、
前記コンピュータを、
被写体の組織において経時変化する画素値の予測に基づく予測画像であって、前記画素値に応じた前記被写体の組織の予測画像を表示するように、前記表示部を制御する表示制御部として機能させ、
前記表示制御部は、前記画素値の経時変化の予測対象である前記被写体の組織の中からオペレータが選択した選択組織の時間濃度曲線を、前記予測画像と同時に前記表示部に表示させる、制御プログラム。
【請求項9】
コンピュータと表示部とを備える表示装置の制御方法であって、
前記コンピュータに、
オペレータが選択した選択組織の時間濃度曲線を、被写体の組織において経時変化する画素値の予測に基づく予測画像であって、前記画素値に応じた前記被写体の組織の予測画像と同時に表示するように、前記表示部を制御させ、
前記選択組織は、前記画素値の経時変化の予測対象である前記被写体の組織の中から選択される、制御方法。
発明の詳細な説明
【技術分野】
【0001】
本発明は、被写体の組織における撮像画像の画素値(CT値)の経時変化を予測するシミュレータ、該シミュレータを備える注入装置又は撮像システム、及びシミュレーションプログラムに関する。
続きを表示(約 1,600 文字)
【背景技術】
【0002】
従来、被写体としての患者の組織を、血管内に注入される造影剤で増強してCT(Computed Tomography)装置を用いて撮像する方法があった。また、被写体の体質的特徴と、造影剤の注入プロトコルとにより、造影剤によるコントラスト強度の増強レベル(画素値)を予測する予測方法が知られていた。そして、この予測方法は、被写体の組織におけるコントラスト強度の増強程度を、造影剤の注入開始時刻からの時間経過の関数として予測している(特許文献1)。
【先行技術文献】
【特許文献】
【0003】
特許第3553968号明細書
【発明の概要】
【発明が解決しようとする課題】
【0004】
特許文献1に記載の方法では、心臓及び血管が1つのコンパートメントであると仮定されている。また、その他の臓器は、血管内空間及び細胞外空間を有する1つのコンパートメントであると仮定されている。そして、各コンパートメントにおいて、造影剤の到達と同時にコンパートメント全体に造影剤が拡散すると仮定して予測が行われる。しかし、実際には組織毎に体積が異なるため、予測結果が実際の画素値の変化と大きく異なることがあった。特に、造影剤の注入量が少ない場合、造影剤の注入時間が短い場合、又は造影剤の濃度が低い場合には、実際の組織内での拡散速度が遅い。そのため、予測結果は、実際の画素値の変化と大きく異なりやすい。
【課題を解決するための手段】
【0005】
上記課題を解決するため、本発明の一例としてのシミュレータは、被写体の情報と、造影剤の注入プロトコルと、被写体組織の情報とに基づいて、前記組織の画素値の経時変化を予測して、各組織を画素値に応じた濃度の色で表示部に表示させるシミュレータであって、前記画素値の経時変化を予測する予測部と、人体の頭尾方向の水平断面を模した予測画像を前記表示部に表示させる表示制御部と、を備え、前記表示制御部は、複数の組織が前記予測画像に含まれるように、且つ前記画素値の経時変化に応じて各組織の濃淡を変更するように、前記表示部を制御する。
【0006】
また、本発明の他の例としての注入装置は、注入プロトコルに従って造影剤を注入する注入ヘッドと、上記シミュレータとを備える。
【0007】
また、本発明の他の例としての撮像システムは、被写体を撮像する医療用の撮像装置と、上記シミュレータとを備える。
【0008】
また、本発明の他の例としてのシミュレーションプログラムは、被写体の組織における画素値の経時変化をコンピューターに予測させるシミュレーションプログラムであって、前記シミュレーションプログラムは前記コンピューターを、前記被写体の情報を取得する被写体情報取得部、造影剤の注入プロトコルを取得するプロトコル取得部、前記組織の情報を取得する組織情報取得部、及び前記被写体の情報と、前記注入プロトコルと、前記組織の情報とに基づいて、前記組織を血流方向に沿って分割した複数のコンパートメントのそれぞれの画素値の経時変化を予測する予測部として機能させる。
【0009】
これにより、実際の組織における画素値の経時変化に近似したより高精度の予測を行うことができる。特に、造影剤の注入量が少ない場合、造影剤の注入時間が短い場合、又は造影剤の濃度が低い場合であっても、高精度の予測を行うことができる。また、各組織内における造影剤の位置を予測することができる。そのため、最適な注入条件又は撮像条件を実際に注入する前に予測することができるので、組織の撮像に失敗することを防止できる。
【0010】
本発明のさらなる特徴は、添付図面を参照して例示的に示した以下の実施例の説明から明らかになる。
【図面の簡単な説明】
(【0011】以降は省略されています)
特許ウォッチbot のツイートを見る
この特許をJ-PlatPat(特許庁公式サイト)で参照する
関連特許
他の特許を見る