TOP
|
特許
|
意匠
|
商標
特許ウォッチ
Twitter
他の特許を見る
10個以上の画像は省略されています。
公開番号
2025181816
公報種別
公開特許公報(A)
公開日
2025-12-11
出願番号
2025091300
出願日
2025-05-30
発明の名称
高ケイ素含有量及び高安定性を有する光硬化性組成物
出願人
キヤノン株式会社
代理人
個人
,
個人
,
個人
主分類
C08F
30/08 20060101AFI20251204BHJP(有機高分子化合物;その製造または化学的加工;それに基づく組成物)
要約
【課題】安定度係数14以上の高い安定性を有する光硬化性組成物を提供する。
【解決手段】本発明の光硬化性組成物は、重合性材料、フッ素非含有離型剤、及び光重合開始剤を含むことができ、前記重合性材料は、下記式(1)で表される構造を有するケイ素含有モノマーを少なくとも一つ含み、
<com:Image com:imageContentCategory="Drawing"> <com:ImageFormatCategory>JPEG</com:ImageFormatCategory> <com:FileName>2025181816000052.jpg</com:FileName> <com:HeightMeasure com:measureUnitCode="Mm">27</com:HeightMeasure> <com:WidthMeasure com:measureUnitCode="Mm">81</com:WidthMeasure> </com:Image> 前記光硬化性組成物中のケイ素(Si)の量は、前記重合性材料の全質量に対して少なくとも15質量%とすることができ、前記フッ素非含有離型剤は、アセチレンジオールを含むことができる。
【選択図】なし
特許請求の範囲
【請求項1】
重合性材料、フッ素非含有離型剤、及び光重合開始剤を含む光硬化性組成物であって、
前記重合性材料は、下記式(1)で表される構造を有するケイ素含有モノマーを少なくとも一つ含み、
JPEG
2025181816000044.jpg
27
81
式(1)中、R1及びR2はそれぞれ独立に、-O-Si(CH
3
)
3
、アルキル基、アリール基、又はアルキルアリール基を示し、
R3及びR4はそれぞれ独立に、-O-Si(CH
3
)
3
、アルキル基、アリール基、又はアルキルアリール基を示し、
R5はC
1
~C
5
のアルキル基、アリール基、又はアルキルアリール基を示し、
R6は-R5-X、X、-O-Si(CH
3
)
3
、アルキル基、アリール基、又はアルキルアリール基を示し、
Xはアクリレート又はメタクリレートを示し、
nは0~4の数を示し、
前記光硬化性組成物中のケイ素(Si)の量は、前記重合性材料の全質量に対して少なくとも15質量%であり、
前記フッ素非含有離型剤は、アセチレンジオールを含む、光硬化性組成物。
続きを表示(約 1,100 文字)
【請求項2】
前記アセチレンジオールが、下記式(2)で表される構造又は下記式(3)で表される構造を有する、請求項1に記載の光硬化性組成物。
JPEG
2025181816000045.jpg
25
72
JPEG
2025181816000046.jpg
33
126
式(2)及び式(3)中、R1、R3、R5、及びR7はそれぞれ独立に、C
1
~C
3
のアルキル基を示し、R2、R4、R6、及びR8はそれぞれ独立に、C
4
~C
12
のアルキル基又はイソアルキル基を示し、Xは、水素原子又はC
1
~C
10
のアルキル基を示し、m及びnはそれぞれ独立に、1~40の数を示す。
【請求項3】
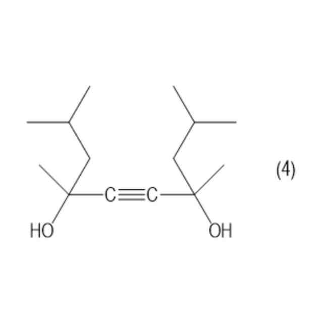
前記アセチレンジオールが下記式(4)で表される構造を含む、請求項2に記載の光硬化性組成物。
JPEG
2025181816000047.jpg
40
70
【請求項4】
前記アセチレンジオールが下記式(5)で表される構造又は下記式(6)で表される構造を有するエトキシ化アセチレンジオールである、請求項2に記載の光硬化性組成物。
JPEG
2025181816000048.jpg
66
126
JPEG
2025181816000049.jpg
49
126
【請求項5】
前記Siの量が、前記光硬化性組成物の全質量に対して少なくとも20質量%である、請求項1に記載の光硬化性組成物。
【請求項6】
前記ケイ素含有モノマーの分子量が、100g/mol以上800g/mol以下である、請求項1に記載の光硬化性組成物。
【請求項7】
前記少なくとも一つのケイ素含有モノマーの量が、前記重合性材料の全質量に対して少なくとも45質量%である、請求項1に記載の光硬化性組成物。
【請求項8】
前記光硬化性組成物が、アセチレンジオールではない離型剤を少なくとも一つさらに含む、請求項1に記載の光硬化性組成物。
【請求項9】
粘度が30mPa・s以下である、請求項1に記載の光硬化性組成物。
【請求項10】
前記重合性材料の量が、前記光硬化性組成物の全質量に対して少なくとも90質量%である、請求項1に記載の光硬化性組成物。
(【請求項11】以降は省略されています)
発明の詳細な説明
【技術分野】
【0001】
本開示は、光硬化性組成物、特にナノインプリントリソグラフィー(NIL)及びインクジェット適応平坦化(IAP)用の光硬化性組成物に関する。
続きを表示(約 1,800 文字)
【背景技術】
【0002】
ケイ素含有量の多いインプリントレジストは、高エッチング耐性を有する光硬化層を形成するのに適している。しかしながら、ケイ素含有量が15質量%を超える光硬化性組成物は、相分離を経ることにより不安定になるという欠点がある。
【0003】
IAP及びNILプロセス、特にsub-20nm CDデバイス製造のための改善された光硬化性組成物に対するニーズが存在する。光硬化性組成物は、高安定性、低粘度、高硬化速度を有し、高エッチング耐性を有する光硬化層をもたらすことが求められている。
【発明の概要】
【0004】
一実施形態において、光硬化性組成物は、重合性材料、フッ素非含有離型剤、及び光重合開始剤を含むことができ、重合性材料は、下記式(1)で表される構造を有するケイ素含有モノマーを少なくとも一つ含むことができ、
JPEG
2025181816000001.jpg
27
81
式(1)中、R1及びR2はそれぞれ独立に、-O-Si(CH
3
)
3
、アルキル基、アリール基、又はアルキルアリール基を示し、R3及びR4はそれぞれ独立に、-O-Si(CH
3
)
3
、アルキル基、アリール基、又はアルキルアリール基を示し、R5はC
1
~C
5
のアルキル基、アリール基、又はアルキルアリール基を示し、R6は-R5-X、X、-O-Si(CH
3
)
3
、アルキル基、アリール基、又はアルキルアリール基を示し、Xはアクリレート又はメタクリレートを示し、nは0~4の数を示し、光硬化性組成物中のケイ素(Si)の量は、重合性材料の全質量に対して少なくとも15質量%とすることができ、フッ素非含有離型剤は、アセチレンジオールを含むことができる。
【0005】
光硬化性組成物の一態様において、アセチレンジオールが、下記式(2)で表される構造又は下記式(3)で表される構造を有することができる。
JPEG
2025181816000002.jpg
25
72
JPEG
2025181816000003.jpg
33
126
式(2)及び式(3)中、R1、R3、R5、及びR7はそれぞれ独立に、C
1
~C
3
のアルキル基を示し、R2、R4、R6、及びR8はそれぞれ独立に、C
4
~C
12
のアルキル基又はイソアルキル基を示し、Xは、水素原子又はC
1
~C
10
のアルキル基を示し、m及びnはそれぞれ独立に、1~40の数を示す。
【0006】
ある態様において、アセチレンジオールが下記式(4)で表される構造を含むことができる。
JPEG
2025181816000004.jpg
40
70
【0007】
光硬化性組成物の他のある態様において、アセチレンジオールは下記式(5)で表される構造又は下記式(6)で表される構造を有するエトキシ化アセチレンジオールとすることができる。
JPEG
2025181816000005.jpg
66
126
JPEG
2025181816000006.jpg
49
126
式(5)及び式(6)中、m及びnはそれぞれ独立に、1~40の数を示す。
【0008】
光硬化性組成物の一態様において、Siの量は、光硬化性組成物の全質量に対して少なくとも20質量%とすることができる。特定の態様において、Siの量は、光硬化性組成物の全質量に対して少なくとも25質量%とすることができる。
【0009】
光硬化性組成物の一態様において、ケイ素含有モノマーの分子量は、100g/mol以上800g/mol以下とすることができる。
【0010】
光硬化性組成物の別の態様において、少なくとも一つのケイ素含有モノマーの量は、重合性材料の全質量に対して少なくとも45質量%とすることができる。
(【0011】以降は省略されています)
この特許をJ-PlatPat(特許庁公式サイト)で参照する
関連特許
他の特許を見る