TOP
|
特許
|
意匠
|
商標
特許ウォッチ
Twitter
他の特許を見る
10個以上の画像は省略されています。
公開番号
2025181759
公報種別
公開特許公報(A)
公開日
2025-12-11
出願番号
2025088517
出願日
2025-05-28
発明の名称
樹脂組成物、硬化物およびその製造方法、半導体装置ならびに表示装置
出願人
東レ株式会社
代理人
主分類
C08L
79/08 20060101AFI20251204BHJP(有機高分子化合物;その製造または化学的加工;それに基づく組成物)
要約
【課題】高コントラストを実現可能な感光性と硬化後のクラック耐性とが両立する樹脂組成物を提供する。
【解決手段】アミック酸および/またはイミド結合繰り返し構造単位を有する樹脂A、および架橋性基を2個以上有する架橋剤を含んでなる樹脂組成物であって、前記樹脂Aが、式(3)で表される構造を含む繰り返し構造単位を10モル%以上90モル%以下含有し、さらに、(要件1)前記樹脂組成物がさらに感光剤を含有すること、および(要件2)前記樹脂Aが感光性基を有すること、の少なくとも一方を満足する、樹脂組成物。
<com:Image com:imageContentCategory="Drawing"> <com:ImageFormatCategory>TIFF</com:ImageFormatCategory> <com:FileName>2025181759000025.tif</com:FileName> <com:HeightMeasure com:measureUnitCode="Mm">39</com:HeightMeasure> <com:WidthMeasure com:measureUnitCode="Mm">170</com:WidthMeasure> </com:Image>
式(3)中、R
6
~R
9
は、Hまたは有機基、R
10
およびR
11
は、それぞれ独立に、炭素数1~6のアルキレン基を表す。nは1~10の整数を表す。*は化学結合を表す。
【選択図】なし
特許請求の範囲
【請求項1】
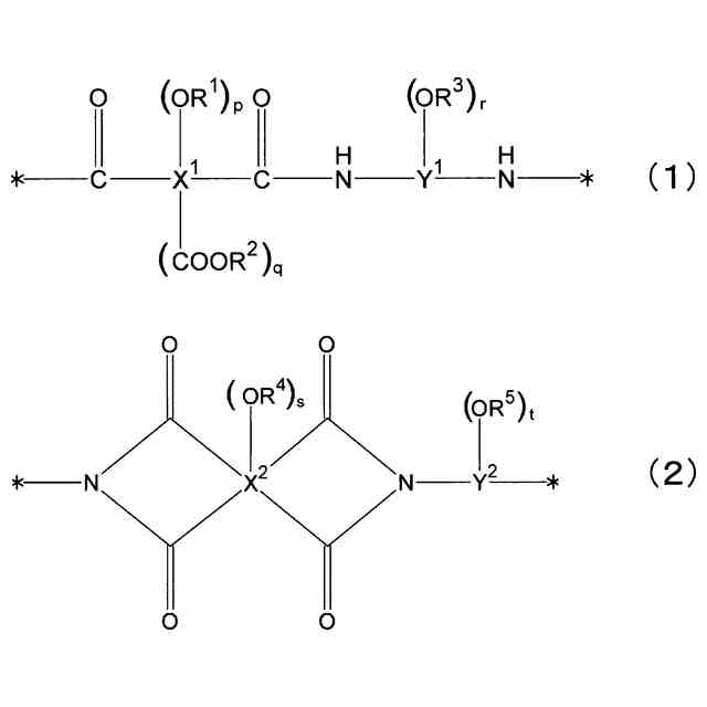
式(1)で表される繰り返し構造単位および/または式(2)で表される繰り返し構造単位を有する樹脂A、および架橋性基を2個以上有する架橋剤を含んでなる樹脂組成物であって、前記樹脂Aが、前記樹脂A中の全繰り返し構造単位100モル%に対して、式(3)で表される構造を含む繰り返し構造単位を10モル%以上90モル%以下含有し、さらに、(要件1)前記樹脂組成物がさらに感光剤を含有すること、および、(要件2)前記樹脂Aが感光性基を有すること、の少なくとも一方を満足する、樹脂組成物。
TIFF
2025181759000022.tif
137
170
(式(1)および式(2)中、X
1
は、炭素数4~40の2~6価の有機基を表し、Y
1
は、炭素数4~40の2~4価の有機基を表す。X
2
は、炭素数4~40の4~6価の有機基を表し、Y
2
は、炭素数4~40の2~4価の有機基を表す。R
1
~R
5
は、それぞれ独立に、水素原子または炭素数1~20の1価の有機基を表す。p、r、sおよびtは、それぞれ独立に、0~2の整数を表す。p+rは1~4の整数を表す。s+tは1~4の整数を表す。qは0~2の整数を表す。*は化学結合を表す。
式(3)中、R
6
~R
9
は、それぞれ独立に、水素原子、炭素数1~4のアルキル基、炭素数1~4のフルオロアルキル基、炭素数1~4のアルコキシル基、フェニル基またはフェニル基の水素原子を少なくとも1つを炭素数1~10のアルキル基で置換したアルキル置換フェニル基を表し、R
10
およびR
11
は、それぞれ独立に、炭素数1~6のアルキレン基を表す。nは1~10の整数を表す。*は化学結合を表す。)
続きを表示(約 960 文字)
【請求項2】
前記樹脂Aが、前記樹脂A中の全繰り返し構造単位100モル%に対して、式(3)で表される構造を含む繰り返し構造単位を20モル%超90モル%以下含有する、請求項1に記載の樹脂組成物。
【請求項3】
前記樹脂Aが、前記樹脂A中の全繰り返し構造単位100モル%に対して、式(3)で表される構造を含む繰り返し構造単位を30モル%以上90モル%以下含有する、請求項1に記載の樹脂組成物。
【請求項4】
(要件1)前記樹脂組成物がさらに感光剤を含有することを満足し、前記感光剤がナフトキノンジアジド化合物である、請求項1に記載の樹脂組成物。
【請求項5】
(要件2)前記樹脂Aが感光性基を有することを満足し、前記感光性基がナフトキノンジアジド基である、請求項1に記載の樹脂組成物。
【請求項6】
前記式(1)中に含まれるR
1
およびR
3
、ならびに、前記式(2)中に含まれるR
4
およびR
5
のうち、少なくとも1つが式(5)で表される基である、請求項5に記載の樹脂組成物。
TIFF
2025181759000023.tif
35
170
(式(5)中、*は化学結合を表す。)
【請求項7】
(要件1)前記樹脂組成物がさらに感光剤を含有すること、を満足し、かつ(要件2)前記樹脂Aが感光性基を有すること、を満足しない、請求項1に記載の樹脂組成物。
【請求項8】
前記樹脂Aが、前記樹脂A中の全繰り返し構造単位100モル%に対して、式(3)で表される構造を含む繰り返し構造単位を20モル%以上90モル%以下含有する、請求項7に記載の樹脂組成物。
【請求項9】
前記樹脂Aが、前記樹脂A中の全繰り返し構造単位100モル%に対して、式(3)で表される構造を含む繰り返し構造単位を30モル%以上90モル%以下含有する、請求項7に記載の樹脂組成物。
【請求項10】
前記感光剤がナフトキノンジアジド化合物である、請求項7に記載の樹脂組成物。
(【請求項11】以降は省略されています)
発明の詳細な説明
【技術分野】
【0001】
本発明は、樹脂組成物、硬化物およびその製造方法に関する。より詳しくは、半導体素子等の表面保護膜、層間絶縁膜、有機電界発光素子の絶縁層などに好適に用いられる感光性樹脂組成物、硬化物およびその製造方法に関する。
続きを表示(約 2,700 文字)
【背景技術】
【0002】
従来、半導体素子の表面保護膜や層間絶縁膜、有機電解素子の絶縁層や薄層トランジスタ(以下、「TFT」)基板の平坦化膜には、耐熱性や電気絶縁性等に優れたポリイミド系樹脂、ポリベンゾオキサゾール系樹脂が広く使用されている。さらに、生産性の向上のために感光性を付与した絶縁膜の検討も行われている。この感光性樹脂組成物は、パターンの形成方法によってポジ型材料とネガ型材料の2つに分類される。前者のポジ型は、露光部が現像液に可溶になることで、パターンを得る方法であり、後者のネガ型は、露光部が現像液に不溶となることで、パターンを得る方法である。アルカリ溶解性樹脂としてポリイミド前駆体やポリベンゾオキサゾール前駆体に、ナフトキノンジアジド化合物を含有するポジ型感光性樹脂組成物(特許文献1および2)、ネガ型感光性ポリイミド系材料としてエチレン性不飽和基を有するポリアミド酸エステルをベースポリマーとする「エステル型」、イオン結合を介してエチレン性不飽和結合を有するポリアミド酸を用いた「イオン型」(特許文献3および4)、が提案されている。
【0003】
ポジ型樹脂組成物において、未露光部では、樹脂中のフェノール性水酸基とナフトキノンジアジド化合物との相互作用から、現像液であるアルカリ溶液に対する溶解性が抑制され、露光部ではナフトキノンジアジド化合物が光により酸を発生することでアルカリ溶液に対する溶解性が著しく向上する。この未露光部と露光部のアルカリ溶液に対する溶解性の差により、ポジ型のレリーフパターンを作成することができる。しかしこれらは現像時の膜減りが大きく、露光部と未露光部の膜減り差が小さい、すなわち低コントラストであり、あるいは使用時の環境による影響が大きく、工業的な使用は困難であると指摘されてきた。
【0004】
また、樹脂組成物を半導体等の用途に用いる場合、加熱硬化後の膜はデバイス内に永久膜として残るため、冷熱サイクル試験などの信頼性試験においてクラックや剥離が発生しないことが必要となる。これらの課題に対して、柔軟な脂肪族骨格を導入した感光性ポリイミド(特許文献5)や基材と線熱膨張係数が近い感光性ポリイミド(特許文献6)が提案されている。
【先行技術文献】
【特許文献】
【0005】
特開2002-91343号公報
特開2002-116715号公報
特開昭51-40922号公報
特開昭54-145794号公報
国際公開第2017/188153号
特開2011-053315号公報
【発明の概要】
【発明が解決しようとする課題】
【0006】
しかしながら、上記挙げた特許文献では、半導体装置における冷熱サイクル試験時のクラック耐性とコントラストの両立が困難である。そこで、本発明は、高コントラストを実現可能な感光性と硬化後のクラック耐性との両立を課題とする。
【課題を解決するための手段】
【0007】
本発明およびその好ましい態様として、以下の構成が示される。
[1] 式(1)で表される繰り返し構造単位および/または式(2)で表される繰り返し構造単位を有する樹脂A、および架橋性基を2個以上有する架橋剤を含んでなる樹脂組成物であって、前記樹脂Aが、前記樹脂A中の全繰り返し構造単位100モル%に対して、式(3)で表される構造を含む繰り返し構造単位を10モル%以上90モル%以下含有し、さらに、(要件1)前記樹脂組成物がさらに感光剤を含有すること、および(要件2)前記樹脂Aが感光基を有すること、の少なくとも一方を満足する、樹脂組成物。
【0008】
TIFF
2025181759000001.tif
138
170
【0009】
式(1)および式(2)中、X
1
は、炭素数4~40の2~6価の有機基を表し、Y
1
は、炭素数4~40の2~4価の有機基を表す。X
2
は、炭素数4~40の4~6価の有機基を表し、Y
2
は、炭素数4~40の2~4価の有機基を表す。R
1
~R
5
は、それぞれ独立に、水素原子または炭素数1~20の1価の有機基を表す。p、r、sおよびtは、それぞれ独立に、0~2の整数を表す。p+rは1~4の整数を表す。s+tは1~4の整数を表す。qは0~2の整数を表す。*は化学結合を表す。
式(3)中、R
6
~R
9
は、それぞれ独立に、水素原子、炭素数1~4のアルキル基、炭素数1~4のフルオロアルキル基、炭素数1~4のアルコキシル基、フェニル基またはフェニル基の水素原子を少なくとも1つを炭素数1~10のアルキル基で置換したアルキル置換フェニル基を表し、R
10
およびR
11
は、それぞれ独立に、炭素数1~6のアルキレン基を表す。nは1~10の整数を表す。*は化学結合を表す。
[2] 前記樹脂Aが、前記樹脂A中の全繰り返し構造単位100モル%に対して、式(3)で表される構造を含む繰り返し構造単位を20モル%超90モル%以下含有する、[1]に記載の樹脂組成物。
[3] 前記樹脂Aが、前記樹脂A中の全繰り返し構造単位100モル%に対して、式(3)で表される構造を含む繰り返し構造単位を30モル%以上90モル%以下含有する、[1]または[2]に記載の樹脂組成物。
[4] (要件1)前記樹脂組成物がさらに感光剤を含有することを満足し、前記感光剤がナフトキノンジアジド化合物である、[1]~[3]のいずれかに記載の樹脂組成物。
[5] (要件2)前記樹脂Aが感光性基を有することを満足し、前記感光性基がナフトキノンジアジド基である、[1]~[4]のいずれかに記載の樹脂組成物。
[6] 前記式(1)中に含まれるR
1
およびR
3
、ならびに、前記式(2)中に含まれるR
4
およびR
5
のうち、少なくとも1つが式(5)で表される基である、[5]に記載の樹脂組成物。
【0010】
TIFF
2025181759000002.tif
38
170
(【0011】以降は省略されています)
この特許をJ-PlatPat(特許庁公式サイト)で参照する
関連特許
他の特許を見る