TOP
|
特許
|
意匠
|
商標
特許ウォッチ
Twitter
他の特許を見る
10個以上の画像は省略されています。
公開番号
2025180061
公報種別
公開特許公報(A)
公開日
2025-12-11
出願番号
2024087138
出願日
2024-05-29
発明の名称
アルミニウム合金鍛造材
出願人
株式会社神戸製鋼所
代理人
弁理士法人栄光事務所
主分類
C22C
21/02 20060101AFI20251204BHJP(冶金;鉄または非鉄合金;合金の処理または非鉄金属の処理)
要約
【課題】高強度化と耐応力腐食割れ性の向上とを両立することができるアルミニウム合金鍛造材を提供する。
【解決手段】アルミニウム合金鍛造材11は、Mg:0.50質量%以上1.25質量%以下、Si:0.40質量%以上1.40質量%以下、Cu:0.50質量%以上1.00質量%以下、Fe:0.05質量%以上0.40質量%以下、Ti:0.005質量%以上0.10質量%以下、を含有するとともに、Mn及びCrから選択される少なくとも1種を、Mn:0.50質量%以上1.20質量%以下、Cr:0.20質量%以上0.33質量%以下、の範囲で含有し、残部がAl及び不可避的不純物からなる。また、マトリックスと、円相当直径が1.0μm以上であるAl-(Fe,Mn,Cr)-Si系化合物と、の最大電位差の平均値[ΔVmax平均]が、144mV以下である。
【選択図】図1A
特許請求の範囲
【請求項1】
Mg:0.50質量%以上1.25質量%以下、
Si:0.40質量%以上1.40質量%以下、
Cu:0.50質量%以上1.00質量%以下、
Fe:0.05質量%以上0.40質量%以下、
Ti:0.005質量%以上0.10質量%以下、を含有するとともに、
Mn及びCrから選択される少なくとも1種を、
Mn:0.50質量%以上1.20質量%以下、
Cr:0.20質量%以上0.33質量%以下、の範囲で含有し、
残部がAl及び不可避的不純物からなるアルミニウム合金鍛造材であって、
マトリックスと、円相当直径が1.0μm以上であるAl-(Fe,Mn,Cr)-Si系化合物と、の最大電位差の平均値[ΔVmax平均]が、144mV以下であることを特徴とする、アルミニウム合金鍛造材。
続きを表示(約 1,000 文字)
【請求項2】
Mg:0.50質量%以上1.25質量%以下、
Si:0.40質量%以上1.40質量%以下、
Cu:0.50質量%以上1.00質量%以下、
Fe:0.05質量%以上0.40質量%以下、
Ti:0.005質量%以上0.10質量%以下、を含有するとともに、
Mn及びCrから選択される少なくとも1種を、
Mn:0.50質量%以上1.20質量%以下、
Cr:0.20質量%以上0.33質量%以下、の範囲で含有し、
残部がAl及び不可避的不純物からなるアルミニウム合金鍛造材であって、
円相当直径が1.0μm以上であるAl-(Fe,Mn,Cr)-Si系化合物において、下記(条件1)及び(条件2)の少なくとも一方を満足することを特徴とする、アルミニウム合金鍛造材。
(条件1)下記式(1)により算出される平均Mn濃度[Mn]avが0.465超である。
TIFF
2025180061000010.tif
11
166
・・・式(1)
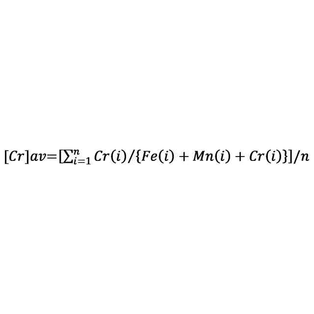
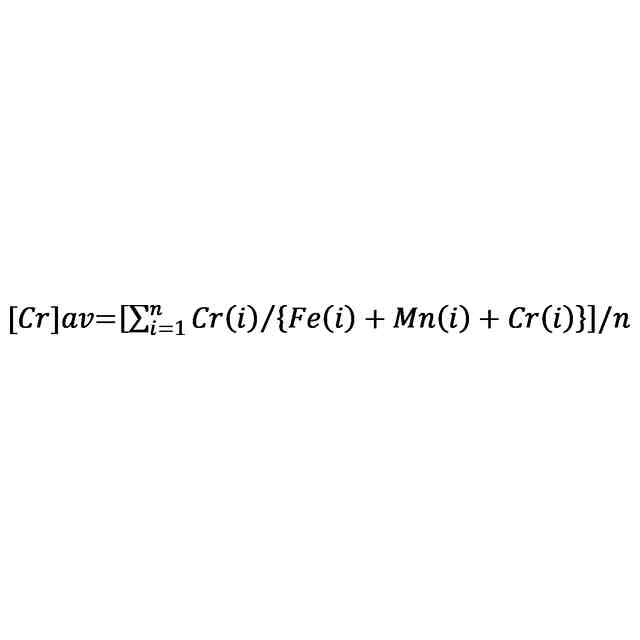
(条件2)下記式(2)により算出される平均Cr濃度[Cr]avが0.125以上0.235未満である。
TIFF
2025180061000011.tif
11
166
・・・式(2)
ただし、上記式(1)及び上記式(2)において、
Fe(i)は、所定の測定領域において特定されたAl-(Fe,Mn,Cr)-Si系化合物のうち、円相当直径が1.0μm以上であるn個の領域を測定対象とした場合における、i番目(1≦i≦n)の領域内の平均Fe濃度を原子%で表した値である。
Mn(i)は、所定の測定領域において特定されたAl-(Fe,Mn,Cr)-Si系化合物のうち、円相当直径が1.0μm以上であるn個の領域を測定対象とした場合における、i番目(1≦i≦n)の領域内の平均Mn濃度を原子%で表した値である。
Cr(i)は、所定の測定領域において特定されたAl-(Fe,Mn,Cr)-Si系化合物のうち、円相当直径が1.0μm以上であるn個の領域を測定対象とした場合における、i番目(1≦i≦n)の領域内の平均Cr濃度を原子%で表した値である。
【請求項3】
0.2%耐力が390MPa以上であることを特徴とする、請求項1又は2に記載のアルミニウム合金鍛造材。
発明の詳細な説明
【技術分野】
【0001】
本発明は、アルミニウム合金鍛造材に関する。
続きを表示(約 2,300 文字)
【背景技術】
【0002】
従来より、車両における乗員の安全性向上が求められており、係る目的のために車体の強度を向上させてきた。一方、地球温暖化問題等の深刻化を背景に、自動車の燃費改善の動きが加速している。燃費改善には車体の軽量化が有効であることが知られている。そこで、サスペンションなどの足回り部品の材料として、高強度高靱性であり、耐食性も比較的優れている6000系アルミ合金鍛造材が使用されてきている。近年、車体をより一層軽量化するために、車体に使用される部材を、従来と比較して更に薄肉化したうえで、高強度化や高靱性化することが求められている。
【0003】
例えば、特許文献1~5には、強度向上に有効な添加元素であるCuの含有量が適切に制御された自動車足回り部品又はアルミニウム合金鍛造材が提案されている。
【先行技術文献】
【特許文献】
【0004】
特許第5110938号公報
特許第5863626号公報
特許第5837026号公報
特許第5901738号公報
特許第6445958号公報
【発明の概要】
【発明が解決しようとする課題】
【0005】
しかしながら、上記特許文献1~特許文献5に記載の部品又は鍛造材においては、高強度化にともなって、耐応力腐食割れ性が劣化するという課題がある。したがって、強度と耐応力腐食割れ性のいずれもが優れた部材を得ることは困難であった。
【0006】
本発明は、かかる問題点に鑑みてなされたものであって、輸送機などの強度部材、特に、自動車の足回り部材に好適に用いられ、高強度化と耐応力腐食割れ性の向上とを両立することができ、これにより、軽量化による燃費改善を実現することができるアルミニウム合金鍛造材を提供することを目的とする。
【課題を解決するための手段】
【0007】
上記の目的は、本発明に係る下記[1]又は[2]のアルミニウム合金鍛造材により達成される。
【0008】
[1] Mg:0.50質量%以上1.25質量%以下、
Si:0.40質量%以上1.40質量%以下、
Cu:0.50質量%以上1.00質量%以下、
Fe:0.05質量%以上0.40質量%以下、
Ti:0.005質量%以上0.10質量%以下、を含有するとともに、
Mn及びCrから選択される少なくとも1種を、
Mn:0.50質量%以上1.20質量%以下、
Cr:0.20質量%以上0.33質量%以下、の範囲で含有し、
残部がAl及び不可避的不純物からなるアルミニウム合金鍛造材であって、
マトリックスと、円相当直径が1.0μm以上であるAl-(Fe,Mn,Cr)-Si系化合物と、の最大電位差の平均値[ΔVmax平均]が、144mV以下であることを特徴とする、アルミニウム合金鍛造材。
【0009】
[2] Mg:0.50質量%以上1.25質量%以下、
Si:0.40質量%以上1.40質量%以下、
Cu:0.50質量%以上1.00質量%以下、
Fe:0.05質量%以上0.40質量%以下、
Ti:0.005質量%以上0.10質量%以下、を含有するとともに、
Mn及びCrから選択される少なくとも1種を、
Mn:0.50質量%以上1.20質量%以下、
Cr:0.20質量%以上0.33質量%以下、の範囲で含有し、
残部がAl及び不可避的不純物からなるアルミニウム合金鍛造材であって、
円相当直径が1.0μm以上であるAl-(Fe,Mn,Cr)-Si系化合物において、下記(条件1)及び(条件2)の少なくとも一方を満足することを特徴とする、アルミニウム合金鍛造材。
(条件1)下記式(1)により算出される平均Mn濃度[Mn]avが0.465超である。
TIFF
2025180061000002.tif
11
166
・・・式(1)
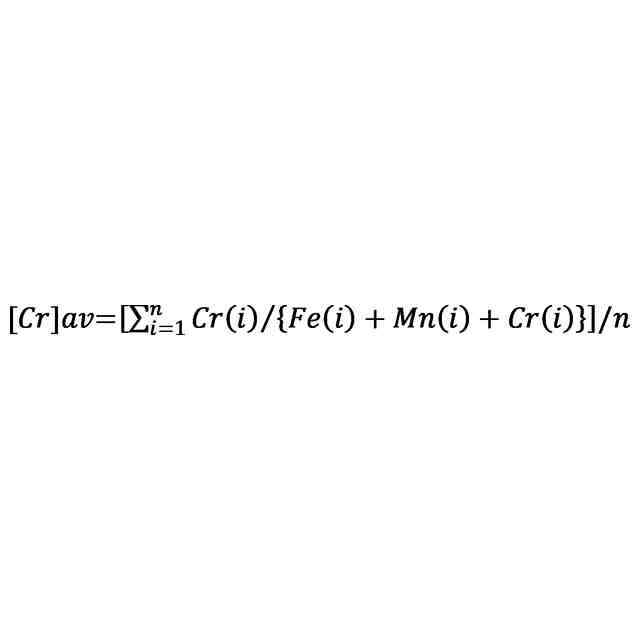
(条件2)下記式(2)により算出される平均Cr濃度[Cr]avが0.125以上0.235未満である。
TIFF
2025180061000003.tif
11
166
・・・式(2)
ただし、上記式(1)及び上記式(2)において、
Fe(i)は、所定の測定領域において特定されたAl-(Fe,Mn,Cr)-Si系化合物のうち、円相当直径が1.0μm以上であるn個の領域を測定対象とした場合における、i番目(1≦i≦n)の領域内の平均Fe濃度を原子%で表した値である。
Mn(i)は、所定の測定領域において特定されたAl-(Fe,Mn,Cr)-Si系化合物のうち、円相当直径が1.0μm以上であるn個の領域を測定対象とした場合における、i番目(1≦i≦n)の領域内の平均Mn濃度を原子%で表した値である。
Cr(i)は、所定の測定領域において特定されたAl-(Fe,Mn,Cr)-Si系化合物のうち、円相当直径が1.0μm以上であるn個の領域を測定対象とした場合における、i番目(1≦i≦n)の領域内の平均Cr濃度を原子%で表した値である。
【0010】
また、アルミニウム合金鍛造材に係る本発明の好ましい実施形態は、以下の[3]に関する。
(【0011】以降は省略されています)
この特許をJ-PlatPat(特許庁公式サイト)で参照する
関連特許
他の特許を見る