TOP
|
特許
|
意匠
|
商標
特許ウォッチ
Twitter
他の特許を見る
10個以上の画像は省略されています。
公開番号
2025178765
公報種別
公開特許公報(A)
公開日
2025-12-09
出願番号
2024085571
出願日
2024-05-27
発明の名称
情報処理装置、情報処理方法及びプログラム
出願人
キヤノン株式会社
代理人
個人
,
個人
,
個人
主分類
G06F
17/17 20060101AFI20251202BHJP(計算;計数)
要約
【課題】演算の規模が小さく、かつ入力値に対する平方根の近似誤差の均一性を向上し得る情報処理装置、情報処理方法及びプログラムを提供する。
【解決手段】情報処理装置1は、入力された数値xに対し、
<com:Image com:imageContentCategory="Drawing"> <com:ImageFormatCategory>TIFF</com:ImageFormatCategory> <com:FileName>2025178765000039.tif</com:FileName> <com:HeightMeasure com:measureUnitCode="Mm">6</com:HeightMeasure> <com:WidthMeasure com:measureUnitCode="Mm">150</com:WidthMeasure> </com:Image>
を満たす最大の整数nを算出する判定部と、数値αを所定の定数としたとき、数値xに対し、
<com:Image com:imageContentCategory="Drawing"> <com:ImageFormatCategory>TIFF</com:ImageFormatCategory> <com:FileName>2025178765000040.tif</com:FileName> <com:HeightMeasure com:measureUnitCode="Mm">10</com:HeightMeasure> <com:WidthMeasure com:measureUnitCode="Mm">150</com:WidthMeasure> </com:Image>
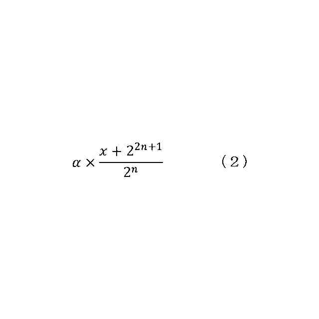
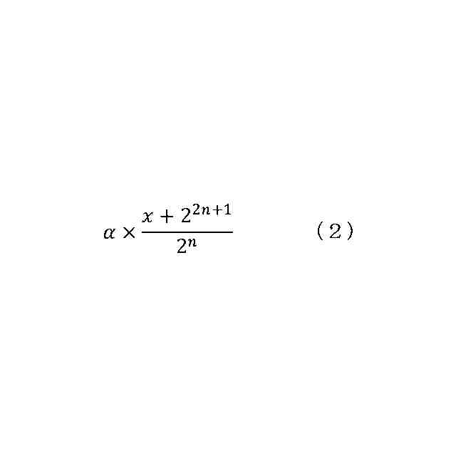
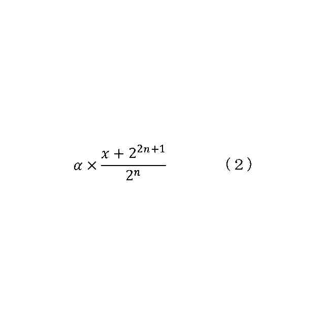
の項を含む演算により得られた数値yを出力する第1演算部と、を有する。数値αは、1/3に近い所定の定数である。以上のようにして得られた数値yは、数値xの平方根(すなわち、√x)の近似値である。
【選択図】図2
特許請求の範囲
【請求項1】
入力された数値xに対し、
TIFF
2025178765000033.tif
6
150
を満たす最大の整数nを算出する判定部と、
数値αを所定の定数としたとき、前記数値xに対し、
TIFF
2025178765000034.tif
10
150
の項を含む演算により得られた数値yを出力する第1演算部と、
を有することを特徴とする情報処理装置。
続きを表示(約 1,200 文字)
【請求項2】
前記数値αは、整数p及び整数qを用いてq/2
p
と表される数である
ことを特徴とする請求項1に記載の情報処理装置。
【請求項3】
整数qは、所定の整数pに対してq/2
p
が1/3に最も近い値になるように定められる
ことを特徴とする請求項2に記載の情報処理装置。
【請求項4】
前記数値αは、85/256である
ことを特徴とする請求項2に記載の情報処理装置。
【請求項5】
前記数値αは、1/3である
ことを特徴とする請求項1に記載の情報処理装置。
【請求項6】
前記第1演算部は、
1を(2n+1)ビットだけ左シフトした第1の2進数を出力する第1シフト演算部と、
前記数値xに前記第1の2進数を加算して第2の2進数を算出する加算部と、
前記第2の2進数又は前記第2の2進数に前記数値αを乗算して得られた第3の2進数をnビットだけ右シフトして第4の2進数を算出する第2シフト演算部と、
を含むことを特徴とする請求項1に記載の情報処理装置。
【請求項7】
前記数値αは整数p及び整数qを用いてq/2
p
と表される数であり、
前記第1演算部は、
1を(2n+1)ビットだけ左シフトした第1の2進数を出力する第1シフト演算部と、
前記数値xに前記第1の2進数を加算して第2の2進数を算出する加算部と、
前記第2の2進数又は前記第2の2進数に整数qを乗算して得られた第3の2進数を(n+p)ビットだけ右シフトして第4の2進数を算出する第2シフト演算部と、
を含むことを特徴とする請求項1に記載の情報処理装置。
【請求項8】
前記第2シフト演算部は、前記右シフトに相当する除算の除数よりも小さい数を前記第3の2進数に加算してから前記右シフトを行う
ことを特徴とする請求項6に記載の情報処理装置。
【請求項9】
ルックアップテーブルを参照することにより前記数値xから数値yを決定する第2演算部を更に有し、
前記情報処理装置は、前記数値x又は前記整数nの値に応じて前記第1演算部及び前記第2演算部のいずれかで生成された数値yを出力する
ことを特徴とする請求項1に記載の情報処理装置。
【請求項10】
前記数値x又は前記整数nが閾値以上の場合に、前記情報処理装置は、前記第1演算部で生成された数値yを出力し、
前記数値x又は前記整数nが閾値より小さい場合に、前記情報処理装置は、前記第2演算部で生成された数値yを出力する
ことを特徴とする請求項9に記載の情報処理装置。
(【請求項11】以降は省略されています)
発明の詳細な説明
【技術分野】
【0001】
本発明は、情報処理装置、情報処理方法及びプログラムに関する。
続きを表示(約 2,200 文字)
【背景技術】
【0002】
特許文献1には、ニュートン-ラフソン法に基づいて平方根の近似を行う装置が開示されている。特許文献1の手法においては、演算の初期推定値が入力値の範囲に応じた2の冪乗の値に設定されており、ビットシフトにより除算を行うことができる。更に、特許文献1においては、反復回数を1回にすることも提案されている。このように、特許文献1の手法では演算の規模が削減されている。
【先行技術文献】
【特許文献】
【0003】
特開2001-005802号公報
【発明の概要】
【発明が解決しようとする課題】
【0004】
特許文献1に開示されているような平方根の近似手法において、入力値に対する近似誤差の均一性を向上することが求められる場合がある。そこで、本発明は、演算の規模が小さく、かつ入力値に対する平方根の近似誤差の均一性を向上し得る情報処理装置、情報処理方法及びプログラムを提供することを目的とする。
【課題を解決するための手段】
【0005】
本明細書の一開示によれば、
入力された数値xに対し、
TIFF
2025178765000002.tif
6
150
を満たす最大の整数nを算出する判定部と、
数値αを所定の定数としたとき、前記数値xに対し、
TIFF
2025178765000003.tif
10
150
の項を含む演算により得られた数値yを出力する第1演算部と、
を有することを特徴とする情報処理装置が提供される。
【0006】
本明細書の一開示によれば、
情報処理装置により実行される情報処理方法であって、
入力された数値xに対し、
TIFF
2025178765000004.tif
6
150
を満たす最大の整数nを算出するステップと、
数値αを所定の定数としたとき、前記数値xに対し、
TIFF
2025178765000005.tif
10
150
の項を含む演算により得られた数値yを出力するステップと、
を有することを特徴とする情報処理方法が提供される。
【0007】
本明細書の一開示によれば、
入力された数値xに対し、
TIFF
2025178765000006.tif
6
150
を満たす最大の整数nを算出するステップと、
数値αを所定の定数としたとき、前記数値xに対し、
TIFF
2025178765000007.tif
10
150
の項を含む演算により得られた数値yを出力するステップと、
を有することを特徴とする情報処理方法を情報処理装置に実行させるためのプログラムが提供される。
【発明の効果】
【0008】
本発明によれば、演算の規模が小さく、かつ入力値に対する平方根の近似誤差の均一性を向上し得る情報処理装置、情報処理方法及びプログラムが提供される。
【図面の簡単な説明】
【0009】
第1実施形態に係る情報処理装置のハードウェア構成を示すブロック図である。
第1実施形態に係る情報処理装置により行われる平方根の近似処理についての機能ブロック図である。
平方根関数の直線近似を示すグラフである。
平方根関数の直線近似及び区分線形近似を示すグラフである。
平方根関数の直線近似及び区分線形近似の誤差を示すグラフである。
分割数を増加させた区分線形近似を示すグラフである。
分割数を増加させた区分線形近似の誤差を示すグラフである。
区分線形関数の分割点の座標を示す表である。
比較例に係る相対誤差を示すグラフである。
第1実施形態に係る判定部の動作例を示すフローチャートである。
第1実施形態に係る第1演算部の構成例を示すブロック図である。
第1実施形態に係る第1演算部の動作例を示すフローチャートである。
第1実施形態に係る第1演算部の別の動作例を示すフローチャートである。
第2実施形態に係る情報処理装置により行われる平方根の近似処理についての機能ブロック図である。
第2実施形態に係る判定部の動作例を示すフローチャートである。
第2実施形態に係る第2演算部の動作例を示すフローチャートである。
第3実施形態に係る機器の概略構成を示すブロック図である。
第4実施形態に係る機器の概略構成を示すブロック図である。
【発明を実施するための形態】
【0010】
以下、図面を参照しつつ、本発明の実施形態を説明する。複数の図面にわたって同一の要素又は対応する要素には共通の符号が付されており、その説明は省略又は簡略化されることがある。
(【0011】以降は省略されています)
この特許をJ-PlatPat(特許庁公式サイト)で参照する
関連特許
他の特許を見る