TOP
|
特許
|
意匠
|
商標
特許ウォッチ
Twitter
他の特許を見る
10個以上の画像は省略されています。
公開番号
2025178740
公報種別
公開特許公報(A)
公開日
2025-12-09
出願番号
2024085526
出願日
2024-05-27
発明の名称
水性インクジェット用インク組成物
出願人
サカタインクス株式会社
代理人
弁理士法人WisePlus
主分類
C09D
11/30 20140101AFI20251202BHJP(染料;ペイント;つや出し剤;天然樹脂;接着剤;他に分類されない組成物;他に分類されない材料の応用)
要約
【課題】保存安定性、連続吐出性、耐ブロッキング性に優れ、かつ、ノズルプレートの撥水性の経時変化を抑制できる水性インクジェット用インク組成物を提供する。
【解決手段】顔料、アルカリ可溶性樹脂、水溶性有機溶剤、水、及び、界面活性剤を含み、
下記(条件1)~(条件3)を満たす水性インクジェット用インク組成物。
(条件1)上記水溶性有機溶剤は、25℃における水溶解度が500g/L以上である。
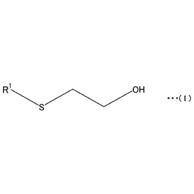
(条件2)上記界面活性剤は、下記式(I)で表される界面活性剤を含み、上記水性インクジェット用インク組成物中の下記式(I)で表される界面活性剤の含有量が0.7質量%以下である。
(条件3)pHが7.5以上8.3以下である。
[化1]
<com:Image com:imageContentCategory="Drawing"> <com:ImageFormatCategory>TIFF</com:ImageFormatCategory> <com:FileName>2025178740000010.tif</com:FileName> <com:HeightMeasure com:measureUnitCode="Mm">17</com:HeightMeasure> <com:WidthMeasure com:measureUnitCode="Mm">156</com:WidthMeasure> </com:Image> (式(I)中、R
1
は、ヒドロキシ基及び/又はエーテル構造を含み、炭素数1~15の直鎖又は分岐鎖の置換基である。)
【選択図】なし
特許請求の範囲
【請求項1】
顔料、アルカリ可溶性樹脂、水溶性有機溶剤、水、及び、界面活性剤を含み、
下記(条件1)~(条件3)を満たす水性インクジェット用インク組成物。
(条件1)前記水溶性有機溶剤は、25℃における水溶解度が500g/L以上である。
(条件2)前記界面活性剤は、下記式(I)で表される界面活性剤を含み、前記水性インクジェット用インク組成物中の下記式(I)で表される界面活性剤の含有量が0.7質量%以下である。
(条件3)pHが7.5以上8.3以下である。
TIFF
2025178740000009.tif
17
156
(式(I)中、R
1
は、ヒドロキシ基及び/又はエーテル構造を含み、炭素数1~15の直鎖又は分岐鎖の置換基である。)
続きを表示(約 330 文字)
【請求項2】
前記式(I)中、R
1
が、ヒドロキシ基を含む請求項1に記載の水性インクジェット用インク組成物。
【請求項3】
前記式(I)中、R
1
が、ヒドロキシ基及びエーテル構造を含む請求項1又は2に記載の水性インクジェット用インク組成物。
【請求項4】
前記式(I)中、R
1
の炭素数が2~11である請求項1又は2に記載の水性インクジェット用インク組成物。
【請求項5】
前記式(I)で示す界面活性剤の含有量が、前記水性インクジェット用インク組成物中に0.05質量%以上0.5質量%以下である請求項1又は2に記載の水性インクジェット用インク組成物。
発明の詳細な説明
【技術分野】
【0001】
本発明は、水性インクジェット用インク組成物に関する。
続きを表示(約 1,200 文字)
【背景技術】
【0002】
水性インクジェット用インク組成物は、安全性が高く、環境に対する負荷が小さいことから幅広い分野で利用されている。
【0003】
例えば特許文献1には、少なくとも水(A)、色材(B)、水溶性有機溶剤成分(C)、界面活性剤(D)、および樹脂微粒子(E)を含有する水性インクジェット用インク組成物であって、前記水性インクジェット用インク組成物は、架橋成分として水溶性カルボジイミド化合物(F)をさらに含有し、前記界面活性剤(D)が、シリコーン系界面活性剤であり、前記樹脂微粒子(E)は、少なくともその表面に、カルボジイミド基と反応する官能基を有し、前記樹脂微粒子(E)と前記水溶性カルボジイミド化合物(F)との質量比(E)/(F)が、10以上であることを特徴とする、水性インクジェット用インク組成物が開示されている。
【先行技術文献】
【特許文献】
【0004】
特開2018-070827号公報
【発明の概要】
【発明が解決しようとする課題】
【0005】
従来の水性インクジェット用インク組成物(単にインク組成物ともいう)では、吐出性が十分ではなく、特に連続で印刷を行うとスジ等により画質の劣化(連続吐出性に劣る)がみられることがあった。
【0006】
水性インクジェット用インク組成物を吐出するインクジェットプリンターにおいて、インク組成物を吐出する部位は、複数の吐出口を有するノズルプレートが備えられている。ノズルプレートは、インク組成物の吐出性を維持するため、表面に撥水層を有している。
しかしながら、従来のインク組成物を使用し続けた場合にはノズルプレートの撥水性が低下する(撥水性が経時により低下する)ことがあった。
【0007】
また、従来のインク組成物では、保存時間の経過により顔料の分散性が低下して顔料の凝集が起こり、ノズルプレートが詰まりやすくなるといった問題もあった。そのため保存時間が経過したとしても顔料の凝集を抑制する性質(保存安定性)が求められている。
【0008】
更にインク組成物では、印刷されたインク組成物が容易に転写されない性質(ブロッキング性)も求められている。
【0009】
従来の水性インクジェット用インク組成物では、上述した全ての課題を解決できるものは得られておらず、更なる改善の余地があった。
【0010】
そこで本発明は、保存安定性、連続吐出性、耐ブロッキング性に優れ、かつ、ノズルプレートの撥水性の経時変化を抑制できる水性インクジェット用インク組成物を提供することを目的とする。
【課題を解決するための手段】
(【0011】以降は省略されています)
この特許をJ-PlatPat(特許庁公式サイト)で参照する
関連特許
他の特許を見る