TOP
|
特許
|
意匠
|
商標
特許ウォッチ
Twitter
他の特許を見る
10個以上の画像は省略されています。
公開番号
2025178585
公報種別
公開特許公報(A)
公開日
2025-12-09
出願番号
2024085255
出願日
2024-05-27
発明の名称
像ブレ補正装置、光学機器、像ブレ補正装置の制御方法、およびプログラム
出願人
キヤノン株式会社
代理人
個人
,
個人
,
個人
主分類
G03B
5/00 20210101AFI20251202BHJP(写真;映画;光波以外の波を使用する類似技術;電子写真;ホログラフイ)
要約
【課題】 高精度に像ブレ補正を行うことが可能な像ブレ補正装置を提供する。
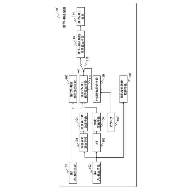
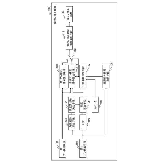
【解決手段】 像ブレ補正装置(100)は、第1ブレ信号を取得する第1取得手段(101)と、第1ブレ信号よりも高周波帯域でのノイズ量が多く低周波帯域でのノイズ量が少ない第2ブレ信号を取得する第2取得手段(102)と、第1ブレ信号のうち分割帯域よりも高い周波数を含む第1信号と、第2ブレ信号のうち分割帯域よりも低い周波数を含む第2信号と、に基づいて合成ブレ補正信号を生成する生成手段(111)と、分割帯域を設定する設定手段(110)とを有し、設定手段は、撮影条件情報に応じて分割帯域を変更する。
【選択図】図1
特許請求の範囲
【請求項1】
第1ブレ信号を取得する第1取得手段と、
前記第1ブレ信号よりも高周波帯域でのノイズ量が多く低周波帯域でのノイズ量が少ない第2ブレ信号を取得する第2取得手段と、
前記第1ブレ信号のうち分割帯域よりも高い周波数を含む第1信号と、前記第2ブレ信号のうち前記分割帯域よりも低い周波数を含む第2信号と、に基づいて合成ブレ補正信号を生成する生成手段と、
前記分割帯域を設定する設定手段と、を有し、
前記設定手段は、撮影条件情報に応じて前記分割帯域を変更することを特徴とする像ブレ補正装置。
続きを表示(約 1,600 文字)
【請求項2】
前記撮影条件情報は、露光時間、撮像装置のシャッター方式、または前記第2ブレ信号のノルムの少なくとも一つに関する情報を含むことを特徴とする請求項1に記載の像ブレ補正装置。
【請求項3】
前記撮影条件情報は、露光時間に関する情報であり、
前記設定手段は、
前記露光時間が第1露光時間の場合、前記分割帯域を第1帯域に設定し、
前記露光時間が前記第1露光時間よりも長い第2露光時間の場合、前記分割帯域を前記第1帯域よりも高い第2帯域に設定することを特徴とする請求項1に記載の像ブレ補正装置。
【請求項4】
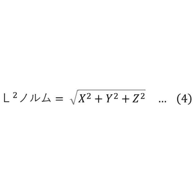
前記撮影条件情報は、前記第2ブレ信号のノルムに関する情報であり、
前記設定手段は、前記ノルムが所定値以上である場合、前記ノルムが前記所定値より小さい場合よりも前記分割帯域を低く設定することを特徴とする請求項1に記載の像ブレ補正装置。
【請求項5】
前記撮影条件情報は、撮像装置のシャッター方式に関する情報であり、
前記設定手段は、前記シャッター方式がメカニカルシャッター方式である場合、メカニカルシャッターの駆動後に所定期間が経過するまで、電子シャッター方式の場合よりも前記分割帯域を低く設定することを特徴とする請求項1に記載の像ブレ補正装置。
【請求項6】
前記撮影条件情報は、撮像装置のシャッター方式に関する情報であり、
前記設定手段は、前記シャッター方式が電子先幕シャッター方式である場合、メカニカル後幕シャッターの駆動後に所定期間が経過するまで、前記所定期間の経過後、または電子シャッター方式の場合よりも前記分割帯域を低く設定することを特徴とする請求項1に記載の像ブレ補正装置。
【請求項7】
前記第1ブレ信号に基づいて第1ブレ補正信号を算出する第1算出手段と、
前記分割帯域に基づいて前記第1ブレ補正信号または前記合成ブレ補正信号の一方を選択して、選択されたブレ補正信号を出力する選択手段と、
前記ブレ補正信号に基づいて像ブレを補正する補正部材の駆動信号を算出する第2算出手段と、を更に有することを特徴とする請求項1に記載の像ブレ補正装置。
【請求項8】
前記撮影条件情報は、前記第2ブレ信号のノルムに関する情報であり、
前記設定手段は、
前記ノルムが所定値以上である場合、前記ノルムが前記所定値より小さい場合よりも前記分割帯域を高く設定し、
前記ノルムが前記所定値以上から前記所定値より小さくなるように遷移した場合、時間経過とともに前記分割帯域を低くして所定の低い分割帯域に設定することを特徴とする請求項7に記載の像ブレ補正装置。
【請求項9】
前記撮影条件情報は、撮像装置のシャッター方式に関する情報であり、
前記設定手段は、
前記シャッター方式がメカニカルシャッター方式である場合、メカニカルシャッターの駆動後に所定期間が経過するまで、電子シャッター方式の場合よりも前記分割帯域を高く設定し、
前記所定期間の経過後、時間経過とともに前記分割帯域を低くして所定の低い分割帯域に設定することを特徴とする請求項7に記載の像ブレ補正装置。
【請求項10】
前記撮影条件情報は、撮像装置のシャッター方式に関する情報であり、
前記設定手段は、
前記シャッター方式が電子先幕シャッター方式である場合、メカニカル後幕シャッターの駆動後に所定期間が経過するまで、前記所定期間の経過後または電子シャッター方式の場合よりも前記分割帯域を高く設定し、
前記所定期間の経過後、時間経過とともに前記分割帯域を低くして所定の低い分割帯域に設定することを特徴とする請求項7に記載の像ブレ補正装置。
(【請求項11】以降は省略されています)
発明の詳細な説明
【技術分野】
【0001】
本発明は、像ブレ補正装置、光学機器、像ブレ補正装置の制御方法、およびプログラムに関する。
続きを表示(約 1,200 文字)
【背景技術】
【0002】
デジタルカメラなどの撮像装置(光学機器)において、CMOSセンサなどの撮像素子や撮像光学系の一部の光学素子を光軸と直交する方向に移動させることにより、装置に加わる振れに起因する像ブレを補正する技術が知られている。このような像ブレ補正機能を有する撮像装置は、一般的には、撮像装置に加わる振れをジャイロセンサにより検出している。
【0003】
特許文献1には、加速度センサや地磁気センサの検出信号とジャイロセンサ検出信号の相補フィルタによる合成信号に基づいてジャイロセンサの検出信号のオフセット成分を算出し、オフセット成分をジャイロセンサの検出信号から減算する方法が開示されている。特許文献2には、動きベクトルとジャイロセンサの相補フィルタなどによる合成において、動きベクトルの信頼度に基づいて合成の重みを変更する方法が開示されている。
【先行技術文献】
【特許文献】
【0004】
特開2018-116134号公報
特開2018-205551号公報
【発明の概要】
【発明が解決しようとする課題】
【0005】
加速度センサや地磁気センサの低周波成分とジャイロセンサの高周波成分から相補フィルタなどで合成信号を算出する場合、低周波成分と高周波成分の分割帯域によって合成信号のノイズ特性が変わる。このため、分割帯域の適切な設定が重要である。
【0006】
しかしながら、特許文献1には、分割帯域の設定について開示されていない。特許文献2には、分割帯域の設定について開示されているが、動きベクトル以外のセンサとの合成の際の分割帯域の設定について考慮されていない。
【0007】
そこで本発明は、高精度に像ブレ補正を行うことが可能な像ブレ補正装置を提供すること目的とする。
【課題を解決するための手段】
【0008】
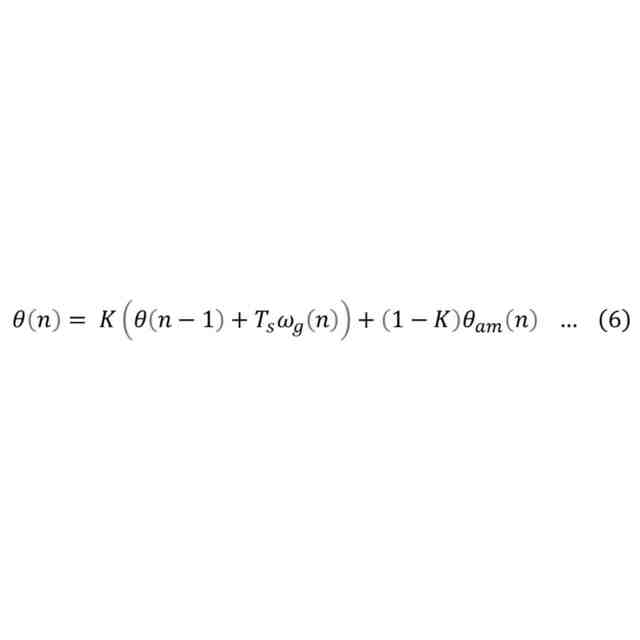
本発明の一側面としての像ブレ補正装置は、第1ブレ信号を取得する第1取得手段と、前記第1ブレ信号よりも高周波帯域でのノイズ量が多く低周波帯域でのノイズ量が少ない第2ブレ信号を取得する第2取得手段と、前記第1ブレ信号のうち分割帯域よりも高い周波数を含む第1信号と、前記第2ブレ信号のうち前記分割帯域よりも低い周波数を含む第2信号と、に基づいて合成ブレ補正信号を生成する生成手段と、前記分割帯域を設定する設定手段とを有し、前記設定手段は、撮影条件情報に応じて前記分割帯域を変更する。
【0009】
本発明の他の目的及び特徴は、以下の実施形態において説明される。
【発明の効果】
【0010】
本発明によれば、高精度に像ブレ補正を行うことが可能な像ブレ補正装置を提供することができる。
【図面の簡単な説明】
(【0011】以降は省略されています)
この特許をJ-PlatPat(特許庁公式サイト)で参照する
関連特許
キヤノン株式会社
記録装置
5日前
キヤノン株式会社
電子機器
今日
キヤノン株式会社
表示装置
11日前
キヤノン株式会社
撮像装置
11日前
キヤノン株式会社
記録装置
5日前
キヤノン株式会社
表示装置
11日前
キヤノン株式会社
二次電池
6日前
キヤノン株式会社
表示装置
4日前
キヤノン株式会社
撮像装置
4日前
キヤノン株式会社
撮像装置
4日前
キヤノン株式会社
撮像装置
4日前
キヤノン株式会社
電子機器
4日前
キヤノン株式会社
定着装置
19日前
キヤノン株式会社
撮像装置
19日前
キヤノン株式会社
撮像装置
19日前
キヤノン株式会社
撮像装置
4日前
キヤノン株式会社
撮像装置
4日前
キヤノン株式会社
発光装置
11日前
キヤノン株式会社
撮像装置
13日前
キヤノン株式会社
定着装置
19日前
キヤノン株式会社
表示装置
11日前
キヤノン株式会社
撮像装置
11日前
キヤノン株式会社
インク容器
5日前
キヤノン株式会社
画像形成装置
19日前
キヤノン株式会社
映像表示装置
5日前
キヤノン株式会社
画像形成装置
12日前
キヤノン株式会社
情報処理装置
19日前
キヤノン株式会社
画像形成装置
20日前
キヤノン株式会社
画像形成装置
19日前
キヤノン株式会社
情報処理装置
4日前
キヤノン株式会社
画像形成装置
19日前
キヤノン株式会社
画像形成装置
4日前
キヤノン株式会社
画像形成装置
20日前
キヤノン株式会社
画像形成装置
19日前
キヤノン株式会社
画像形成装置
20日前
キヤノン株式会社
検査システム
11日前
続きを見る
他の特許を見る