TOP
|
特許
|
意匠
|
商標
特許ウォッチ
Twitter
他の特許を見る
10個以上の画像は省略されています。
公開番号
2025178147
公報種別
公開特許公報(A)
公開日
2025-12-05
出願番号
2025079531
出願日
2025-05-12
発明の名称
梁、柱梁接合構造、建築物、梁の施工方法、及び梁の設計方法
出願人
日本製鉄株式会社
代理人
個人
,
個人
,
個人
,
個人
,
個人
,
個人
,
個人
,
個人
主分類
E04B
1/24 20060101AFI20251128BHJP(建築物)
要約
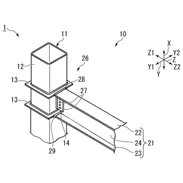
【課題】柱に接合される梁であって、塑性変形能力を発揮することができる梁を提供する。
【解決手段】梁21は、第1フランジ22と、第2フランジ23と、第1フランジ及び第2フランジにそれぞれ接合されたウェブ24と、を備える鉄骨製の梁であって、数式を満足し、梁の材軸方向Zの少なくとも一方の端部では、第1フランジ、第2フランジ、及びウェブが柱11とそれぞれ接合され、端部には、ウェブを補剛する補剛材が取付けられていない。
【選択図】図1
特許請求の範囲
【請求項1】
第1フランジと、
第2フランジと、
前記第1フランジ及び前記第2フランジにそれぞれ接合されたウェブと、
を備える鉄骨製の梁であって、
(1)式及び(2)式を満足し、
前記梁の材軸方向の少なくとも一方の端部では、前記第1フランジ、前記第2フランジ、及び前記ウェブが柱とそれぞれ接合され、
前記端部には、前記ウェブを補剛する補剛材が取付けられていない、梁。
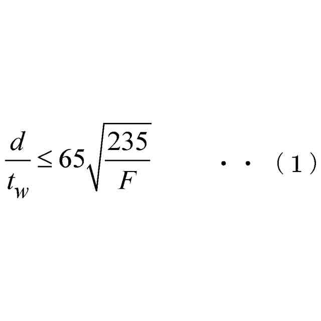
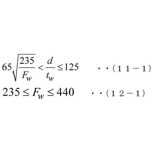
ここに、F
w
は前記ウェブを形成する鋼材の許容応力度の基準強度、dは前記梁の内法せい、t
w
は前記ウェブの厚さである。
TIFF
2025178147000027.tif
29
170
続きを表示(約 1,900 文字)
【請求項2】
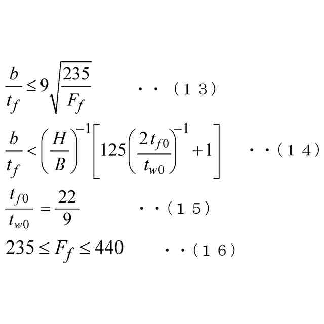
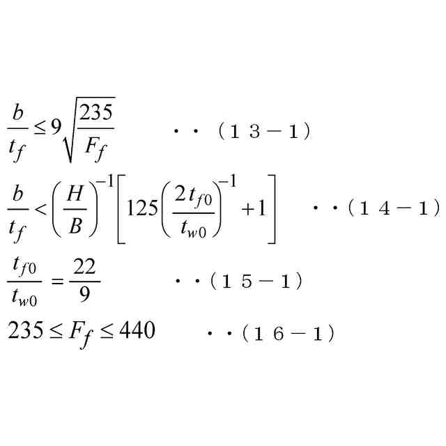
(3)式から(6)式を満足する、請求項1に記載の梁。
ここに、F
f
は前記第1フランジ及び前記第2フランジを形成する鋼材の許容応力度の基準強度、t
f
は前記第1フランジ及び前記第2フランジそれぞれの厚さ、bは前記第1フランジ及び前記第2フランジそれぞれの幅の半分の長さ、Hは前記梁のせい、Bは前記梁の幅である。
TIFF
2025178147000028.tif
63
170
【請求項3】
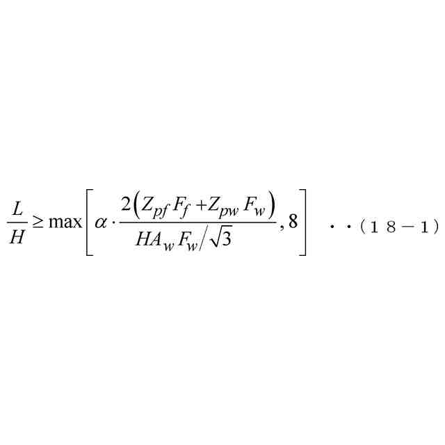
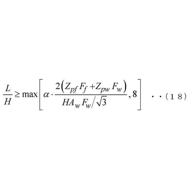
前記梁の前記材軸方向の両方の前記端部では、前記第1フランジ、前記第2フランジ、及び前記ウェブが前記柱2つとそれぞれ接合され、
(8)式を満足する、請求項1又は2に記載の梁。
ここに、Lは前記梁の長さ、Hは前記梁のせい、Z
pf
は前記第1フランジ及び前記第2フランジの塑性断面係数の合計、Z
pw
は前記ウェブの塑性断面係数、A
w
は前記ウェブの前記材軸方向に直交する面による断面積、αは前記梁の前記材軸方向の端に生じる塑性ヒンジ部のひずみ硬化の程度を表す係数である。
なお、前記梁の断面や鋼種が前記梁の前記材軸方向の前記端部と前記梁の前記材軸方向の中央部とで変化する場合、(8)式中のZ
pf
F
f
及びZ
pw
F
w
は前記梁の前記端部において前記材軸方向に直交する断面について計算した値とし、(8)式中のA
w
F
w
は前記梁の前記端部と前記梁の前記中央部とで計算した値の小さい方とする。
TIFF
2025178147000029.tif
23
170
【請求項4】
前記梁の前記材軸方向の一方のみの前記端部では、前記第1フランジ、前記第2フランジ、及び前記ウェブが前記柱とそれぞれ接合され、
(9)式を満足する、請求項1又は2に記載の梁。
ここに、Lは前記梁の長さ、Hは前記梁のせい、Z
pf
は前記第1フランジ及び前記第2フランジの塑性断面係数の合計、Z
pw
は前記ウェブの塑性断面係数、A
w
は前記ウェブの前記材軸方向に直交する面による断面積、αは前記梁の前記材軸方向の端に生じる塑性ヒンジ部のひずみ硬化の程度を表す係数である。
なお、前記梁の断面や鋼種が前記梁の前記材軸方向の前記端部と前記梁の前記材軸方向の中央部とで変化する場合、(9)式中のZ
pf
F
f
及びZ
pw
F
w
は前記梁の前記端部において前記材軸方向に直交する断面について計算した値とし、(9)式中のA
w
F
w
は前記梁の前記端部と前記梁の前記中央部とで計算した値の小さい方とする。
TIFF
2025178147000030.tif
21
170
【請求項5】
前記梁の前記材軸方向の少なくとも一方の前記端部において、少なくとも前記端部から前記梁のせいの範囲に塑性化領域が生じる、請求項1又は2に記載の梁。
【請求項6】
前記梁の前記材軸方向の少なくとも一方の前記端部において、少なくとも前記端部から前記梁のせいの範囲に塑性化領域が生じる、請求項3に記載の梁。
【請求項7】
前記梁の前記材軸方向の一方の前記端部において、少なくとも端部から前記梁のせいの範囲に塑性化領域が生じる、請求項4に記載の梁。
【請求項8】
前記第1フランジ及び前記第2フランジを形成する鋼材の許容応力度の基準強度F
f
が、前記基準強度F
w
よりも大きい、請求項1又は2に記載の梁。
【請求項9】
前記第1フランジ及び前記第2フランジを形成する鋼材の許容応力度の基準強度F
f
が、前記基準強度F
w
よりも大きい、請求項3に記載の梁。
【請求項10】
前記第1フランジ及び前記第2フランジを形成する鋼材の許容応力度の基準強度F
f
が、前記基準強度F
w
よりも大きい、請求項4に記載の梁。
(【請求項11】以降は省略されています)
発明の詳細な説明
【技術分野】
【0001】
本発明は、梁、柱梁接合構造、建築物、梁の施工方法、及び梁の設計方法に関する。
続きを表示(約 1,600 文字)
【背景技術】
【0002】
従来、耐震構造や制振構造等を有する建築物において、柱に接合される梁(大梁)には、地震等の水平荷重が作用し、一般に柱に接合されている位置すなわち梁の端部が最も大きな応力を負担することから、当該梁の端部から塑性化が進行すると考えられる。よって、上記の梁は、地震等の水平荷重に対して安定して抵抗するための塑性変形能力が要求される。
一方で、建築物に用いられる梁が小梁の場合には、建築物の性能を損なうことなく重量をより一層軽量化して建築物のコストを低減することが検討されている(例えば、特許文献1及び2参照)。また、曲げ剛性等を確保しつつ、重量を低減できる梁が検討されている(例えば、特許文献3から6参照)。
【0003】
また、この梁にH形鋼を用いる場合、そのH形鋼のウェブは、地震等の水平荷重に対して安定した塑性変形能力を発揮するために、建設省告示に規定される幅厚比以下となることが求められる。具体的には、(1)式に示す制限を満足することが求められる(例えば、非特許文献1参照)。
【0004】
TIFF
2025178147000002.tif
18
170
【0005】
ここに、(1)式の左辺の(d/t
w
)は、ウェブの幅厚比、(1)式の右辺のFは、梁を形成する鋼材の許容応力度の基準強度である。dは梁の内法せい、t
w
はウェブの厚さである。
一方で、(1)式を超える範囲についても、設計上適用は可能である。
【先行技術文献】
【特許文献】
【0006】
特許第6003526号公報
特許第6003527号公報
特許第7172779号公報
特許第7207054号公報
特許第7207055号公報
特許第7207056号公報
【非特許文献】
【0007】
一般財団法人 建築行政情報センター、一般財団法人 日本建築防災協会編集、「2020年版 建築物の構造関係技術基準解説書」、全国官報販売協同組合、令和2年11月
【発明の概要】
【発明が解決しようとする課題】
【0008】
しかしながら、(1)式を超える範囲では、塑性変形能力が期待できない範囲となっている。この場合、設計ペナルティが大きく不経済な設計となるため、ウェブを補剛する補剛材が取付けられていない、無補強の梁は一般的に用いられない。
なお、ウェブに局部座屈を補剛するスチフナを溶接して用いる場合もあるが、加工コストや手間が増加する。
【0009】
本発明は、このような問題点に鑑みてなされたものであって、柱に接合される梁であって、塑性変形能力を発揮することができる梁、この梁を備える柱梁接合構造、建築物、この梁の施工方法、及びこの梁の設計方法を提供することを目的とする。
【課題を解決するための手段】
【0010】
前記課題を解決するために、この発明は以下の手段を提案している。
(1)本発明の態様1は、第1フランジと、第2フランジと、前記第1フランジ及び前記第2フランジにそれぞれ接合されたウェブと、を備える鉄骨製の梁であって、(11)式及び(12)式を満足し、前記梁の材軸方向の少なくとも一方の端部では、前記第1フランジ、前記第2フランジ、及び前記ウェブが柱とそれぞれ接合され、前記端部には、前記ウェブを補剛する補剛材が取付けられていない、梁である。
ここに、F
w
は前記ウェブを形成する鋼材の許容応力度の基準強度、dは前記梁の内法せい、t
w
は前記ウェブの厚さである。
(【0011】以降は省略されています)
この特許をJ-PlatPat(特許庁公式サイト)で参照する
関連特許
日本製鉄株式会社
鋳片
10日前
日本製鉄株式会社
棒鋼
18日前
日本製鉄株式会社
棒鋼
18日前
日本製鉄株式会社
線材
1か月前
日本製鉄株式会社
ボルト
2か月前
日本製鉄株式会社
鋼部品
2か月前
日本製鉄株式会社
鋼部品
2か月前
日本製鉄株式会社
ボルト
3か月前
日本製鉄株式会社
床構造
2か月前
日本製鉄株式会社
床構造
2か月前
日本製鉄株式会社
鋼部品
18日前
日本製鉄株式会社
剪断機
2か月前
日本製鉄株式会社
耐力壁
3日前
日本製鉄株式会社
歯車装置
4日前
日本製鉄株式会社
橋脚構造
1か月前
日本製鉄株式会社
構造部材
2か月前
日本製鉄株式会社
溶接継手
1か月前
日本製鉄株式会社
管理装置
3か月前
日本製鉄株式会社
溶接継手
24日前
日本製鉄株式会社
耐火構造物
2か月前
日本製鉄株式会社
鍛鋼ロール
2か月前
日本製鉄株式会社
リクレーマ
3か月前
日本製鉄株式会社
腐食センサ
1か月前
日本製鉄株式会社
耐火構造物
2か月前
日本製鉄株式会社
鍛鋼ロール
2か月前
日本製鉄株式会社
耐火構造物
2か月前
日本製鉄株式会社
学習システム
2か月前
日本製鉄株式会社
高Ni合金鋼
1か月前
日本製鉄株式会社
管理システム
1か月前
日本製鉄株式会社
高Ni合金鋼
1か月前
日本製鉄株式会社
表面処理鋼材
10日前
日本製鉄株式会社
転炉精錬方法
2か月前
日本製鉄株式会社
高Ni合金板
3か月前
日本製鉄株式会社
機械構造用部品
19日前
日本製鉄株式会社
原油油槽用鋼材
1か月前
日本製鉄株式会社
溶鉄の製造方法
3か月前
続きを見る
他の特許を見る