TOP
|
特許
|
意匠
|
商標
特許ウォッチ
Twitter
他の特許を見る
公開番号
2025177983
公報種別
公開特許公報(A)
公開日
2025-12-05
出願番号
2024085178
出願日
2024-05-24
発明の名称
間葉系間質/幹細胞の細胞集団において機能的な細胞亜集団を同定する方法
出願人
国立医薬品食品衛生研究所長
,
国立研究開発法人国立成育医療研究センター
,
地方独立行政法人神奈川県立産業技術総合研究所
,
国立研究開発法人理化学研究所
代理人
弁理士法人アルガ特許事務所
主分類
C12Q
1/6869 20180101AFI20251128BHJP(生化学;ビール;酒精;ぶどう酒;酢;微生物学;酵素学;突然変異または遺伝子工学)
要約
【課題】不均一性を有する間葉系間質/幹細胞(MSCs)の構成を明確化し、MSCsの機能的な亜集団を同定すること。
【解決手段】MSCsの細胞集団において機能的な細胞亜集団を同定する方法であって、MSCsの細胞集団を単一細胞レベルでオミックス解析すること、及び、該解析の結果に基づいて該MSCsの細胞集団をクラスタリングして細胞亜集団に分類すること、を含む方法。
【選択図】なし
特許請求の範囲
【請求項1】
間葉系間質/幹細胞の細胞集団において機能的な細胞亜集団を同定する方法であって、
間葉系間質/幹細胞の細胞集団を単一細胞レベルでオミックス解析すること、及び、
該解析の結果に基づいて該間葉系間質/幹細胞の細胞集団をクラスタリングして細胞亜集団に分類すること、
を含む、方法。
続きを表示(約 1,000 文字)
【請求項2】
前記オミックス解析が1細胞RNAシーケンシングによる遺伝子発現解析である、請求項1記載の方法。
【請求項3】
前記細胞集団のクラスタリングが、該細胞集団のオミックス解析の結果を次元削減することにより行われる、請求項1記載の方法。
【請求項4】
前記分類した細胞亜集団の中の所与の亜集団において、他の亜集団と比べて差次的に発現している遺伝子を同定すること、
該遺伝子の機能を同定すること、
該遺伝子の機能を、該所与の亜集団が寄与する機能として推定すること、
を含む、請求項1記載の方法。
【請求項5】
前記分類した細胞亜集団の中の所与の亜集団において、他の亜集団と比べて差次的に発現している遺伝子を同定すること、
該遺伝子をマーカーとして、所与の間葉系間質/幹細胞の細胞集団から、機能的な細胞亜集団を選択すること、
を含む、請求項1記載の方法。
【請求項6】
異なる間葉系間質/幹細胞株に由来する間葉系間質/幹細胞の細胞集団を前記オミックス解析及びクラスタリングして細胞亜集団に分類すること、
該細胞亜集団の各々に含まれる、該異なる間葉系間質/幹細胞株の各々に由来する細胞の数を求めること、
該各々の細胞株における特定の機能のレベルを測定すること、
該亜集団に含まれる該各々の細胞株に由来する細胞の数と、該各々の細胞株における該特定の機能のレベルとの間に相関を有する細胞亜集団を、該特定の機能に寄与する細胞亜集団と推定すること、
を含む、請求項1記載の方法。
【請求項7】
前記特定の機能が薬理効果及び臨床的な安全性である、請求項6記載の方法。
【請求項8】
前記特定の機能がVEGF分泌能である、請求項6記載の方法。
【請求項9】
前記特定の機能が血管新生能である、請求項6記載の方法。
【請求項10】
前記分類した細胞亜集団の中の前記特定の機能に寄与すると推定される亜集団において、他の亜集団と比べて差次的に発現している遺伝子を同定すること、
該遺伝子を、該特定の機能に関与する遺伝子として推定すること、
を含む、請求項6記載の方法。
(【請求項11】以降は省略されています)
発明の詳細な説明
【技術分野】
【0001】
本発明は、間葉系間質/幹細胞の細胞集団において機能的な細胞亜集団を同定する方法に関する。
続きを表示(約 6,600 文字)
【背景技術】
【0002】
間葉系間質/幹細胞(Mesenchymal stromal/stem cells;MSCs)は、様々な疾患における細胞治療のソースとして既に臨床で使用されており、さらなる臨床応用も期待されている。一方で、MSCsは、臨床における有効性が不安定であり、また不均一性(heterogeneity)のある細胞集団であることが報告されている(非特許文献1、2)。そのため、従来、臨床応用のためのMSCs又はMSCsを加工して製造される細胞加工製品(合わせて「MSCsベースの細胞製品」と呼ぶ)については、薬理効果に関連する重要品質特性や品質規格を設定することが困難であった。これまでに、MSCsとして単離又は調製された細胞のうち、骨分化誘導早期に特定の形態を示す細胞の存在率、及びインターフェロンγで活性化したのちに特定の形態を示す細胞の存在率を指標とすることによって、MSCsの骨細胞分化能及び免疫抑制能をそれぞれ予測する試みが報告されている(非特許文献3、4)。
【先行技術文献】
【非特許文献】
【0003】
Dunn CM, et al. Strategies to address mesenchymal stem/stromal cell heterogeneity in immunomodulatory profiles to improve cell-based therapies. Acta Biomater. 2021 Oct 1;133:114-125. doi: 10.1016/j.actbio.2021.03.069. Epub 2021 Apr 20. PMID: 33857693.
Phinney DG. Functional heterogeneity of mesenchymal stem cells: implications for cell therapy. J Cell Biochem. 2012;113(9):2806-12.
Marklein RA, et al. High Content Imaging of Early Morphological Signatures Predicts Long Term Mineralization Capacity of Human Mesenchymal Stem Cells upon Osteogenic Induction. Stem Cells. 2016 Apr;34(4):935-47. doi: 10.1002/stem.2322. Epub 2016 Feb 29. PMID: 26865267.
Marklein RA, et al. Morphological profiling using machine learning reveals emergent subpopulations of interferon-γ-stimulated mesenchymal stromal cells that predict immunosuppression. Cytotherapy. 2019 Jan;21(1):17-31. doi: 10.1016/j.jcyt.2018.10.008. Epub 2018 Nov 28. PMID: 30503100.
【発明の概要】
【発明が解決しようとする課題】
【0004】
近年MSCsの臨床応用が急速に発展していることを考慮すると、MSCsの薬理効果又は安全性を評価することは、MSCsベースの細胞製品の品質確保にとって有用であるだけでなく、当該製品の薬理効果又は安全性を評価するためにも重要である。不均一性を有するMSCsの構成を明確化すること、又は、MSCsの細胞集団において機能的な細胞亜集団を同定することが望まれる。
【課題を解決するための手段】
【0005】
本発明者らは、MSCsを単一細胞レベルでオミックス解析し、該解析の結果に基づいて細胞をクラスタリングすることで、不均一性を有するMSCsの細胞集団の細胞をその性質に基づいて分類することができ、又は、MSCsの細胞集団に含まれる機能的な細胞亜集団を同定することができることを見出した。
【0006】
本発明は、代表的実施形態として、以下を提供する。
〔1〕間葉系間質/幹細胞の細胞集団において機能的な細胞亜集団を同定する方法であって、
間葉系間質/幹細胞の細胞集団を単一細胞レベルでオミックス解析すること、及び、
該解析の結果に基づいて該間葉系間質/幹細胞の細胞集団をクラスタリングして細胞亜集団に分類すること、
を含む、方法。
〔2〕前記オミックス解析が1細胞RNAシーケンシングによる遺伝子発現解析である、〔1〕記載の方法。
〔3〕前記細胞集団のクラスタリングが、該細胞集団のオミックス解析の結果を次元削減することにより行われる、〔1〕又は〔2〕記載の方法。
〔4〕前記分類した細胞亜集団の中の所与の亜集団において、他の亜集団と比べて差次的に発現している遺伝子を同定すること、
該遺伝子の機能を同定すること、
該遺伝子の機能を、該所与の亜集団が寄与する機能として推定すること、
を含む、〔1〕~〔3〕のいずれか1項記載の方法。
〔5〕前記分類した細胞亜集団の中の所与の亜集団において、他の亜集団と比べて差次的に発現している遺伝子を同定すること、
該遺伝子をマーカーとして、所与の間葉系間質/幹細胞の細胞集団から、機能的な細胞亜集団を選択すること、
を含む、〔1〕~〔3〕のいずれか1項記載の方法。
〔6〕異なる間葉系間質/幹細胞株に由来する間葉系間質/幹細胞の細胞集団を前記オミックス解析及びクラスタリングして細胞亜集団に分類すること、
該細胞亜集団の各々に含まれる、該異なる間葉系間質/幹細胞株の各々に由来する細胞の数を求めること、
該各々の細胞株における特定の機能のレベルを測定すること、
該亜集団に含まれる該各々の細胞株に由来する細胞の数と、該各々の細胞株における該特定の機能のレベルとの間に相関を有する細胞亜集団を、該特定の機能に寄与する細胞亜集団と推定すること、
を含む、〔1〕~〔3〕のいずれか1項記載の方法。
〔7〕前記特定の機能が薬理効果及び臨床的な安全性である、〔6〕記載の方法。
〔8〕前記特定の機能がVEGF分泌能である、〔6〕記載の方法。
〔9〕前記特定の機能が血管新生能である、〔6〕記載の方法。
〔10〕前記分類した細胞亜集団の中の前記特定の機能に寄与すると推定される亜集団において、他の亜集団と比べて差次的に発現している遺伝子を同定すること、
該遺伝子を、該特定の機能に関与する遺伝子として推定すること、
を含む、〔6〕~〔9〕のいずれか1項記載の方法。
〔11〕細胞亜集団の機能を制御する方法であって、
〔6〕~〔9〕のいずれか1項記載の方法に従って、特定の機能に寄与すると推定される細胞亜集団を準備すること、
該特定の機能に寄与すると推定される亜集団において、他の亜集団と比べて差次的に発現している遺伝子を同定すること、
所与の間葉系間質/幹細胞における該遺伝子又はその発現産物の発現レベルを調節し、該細胞における該特定の機能を制御すること、
を含む、方法。
〔12〕間葉系間質/幹細胞の虚血環境下におけるVEGF分泌能又は血管新生能を評価する方法であって、
間葉系間質/幹細胞における、LRRC75A遺伝子、LGALS1遺伝子、CD73遺伝子、CD90遺伝子、及びCD105遺伝子、ならびにそれらがコードするタンパク質からなる群より選択される少なくとも1種の発現レベルに基づいて、該細胞の虚血環境下におけるVEGF分泌能又は血管新生能を評価すること、
を含む、方法。
〔13〕虚血環境下におけるVEGF分泌能又は血管新生能が高い間葉系間質/幹細胞を選択する方法であって、
間葉系間質/幹細胞における、LRRC75A遺伝子、LGALS1遺伝子、CD73遺伝子、CD90遺伝子、及びCD105遺伝子、ならびにそれらがコードするタンパク質からなる群より選択される少なくとも1種の発現レベルに基づいて、虚血環境下におけるVEGF分泌能又は血管新生能が高い間葉系間質/幹細胞を選択すること、
を含む、方法。
〔14〕虚血環境下におけるVEGF分泌能又は血管新生能が高い間葉系間質/幹細胞の製造方法であって、
〔13〕記載の方法で選択された虚血環境下におけるVEGF分泌能又は血管新生能が高い間葉系間質/幹細胞を培養すること、
を含む、方法。
〔15〕間葉系間質/幹細胞における虚血環境下におけるVEGF分泌能又は血管新生能を制御する方法であって、
間葉系間質/幹細胞におけるLRRC75A遺伝子又はその発現産物の発現レベルを調節すること、
を含む、方法。
〔16〕間葉系間質/幹細胞の免疫抑制能を評価する方法であって、
間葉系間質/幹細胞における、LGALS1遺伝子、LRRC75A遺伝子、CD73遺伝子、CD90遺伝子、及びCD105遺伝子、ならびにそれらがコードするタンパク質からなる群より選択される少なくとも1種の発現レベルに基づいて、該細胞の免疫抑制能を評価すること、
を含む、方法。
〔17〕免疫抑制能が高い間葉系間質/幹細胞を選択する方法であって、
間葉系間質/幹細胞における、LGALS1遺伝子、LRRC75A遺伝子、CD73遺伝子、CD90遺伝子、及びCD105遺伝子、ならびにそれらがコードするタンパク質からなる群より選択される少なくとも1種の発現レベルに基づいて、免疫抑制能が高い間葉系間質/幹細胞を選択すること、
を含む、方法。
〔18〕免疫抑制能が高い間葉系間質/幹細胞の製造方法であって、
〔17〕記載の方法で選択された免疫抑制能が高い間葉系間質/幹細胞を培養すること、
【発明の効果】
【0007】
本発明によれば、不均一性を有するMSCsの細胞集団の細胞をその性質に基づいて分類することで、該集団の構成を明確化することができる。また本発明によれば、MSCsの細胞集団の中から機能的な細胞亜集団、例えば、特定の薬理効果又は安全性に関与する細胞亜集団を同定することができる。
【図面の簡単な説明】
【0008】
A:実施例で用いた骨髄由来MSCs(BM-MSCs)の培養条件。B:11株のBM-MSCsを通常及び虚血培養条件下で16時間培養した後の、培養上清中に分泌されたVEGF量(平均値±SE、各株n=5)。*;p<0.05、**;p<0.01、ns;有意差なし(Student t-test)。
通常培養条件下における11株のBM-MSCsの細胞ごとのmRNA発現プロファイルに基づいた2次元UMAPプロット。8個の細胞亜集団のクラスター(CL0~CL7)が検出された。
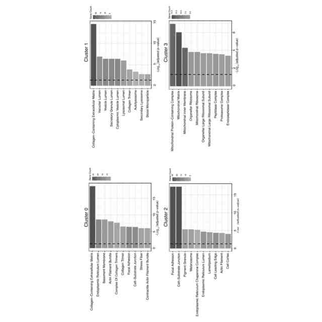
クラスターの遺伝子オントロジー(GO)解析の結果。クラスター0~3についてのGO解析の結果。図は、クラスターごとに検出された有意な遺伝子の遺伝子オントロジー(GO)の注釈情報をカテゴリーとした2×2の度数分布表から超幾何分布検定を行い、BH(Benjanmini-Hochberg method)法に基づく、多重比較の補正後のP値(adjusted P-value)を計算し、log10対数変換を行った値を棒グラフで図示したもの。棒グラフの色は、それぞれのGO注釈情報に該当した有意な遺伝子数に応じてオレンジ-赤色の濃淡で表した。
図3-Aの続き。クラスター4~7についてGO解析の結果。
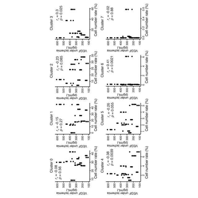
各クラスターにおける各BM-MSCs株の細胞数の割合に対して、各細胞株の虚血培養条件下でのVEGF分泌量をプロットした散布図。各図に、各細胞株の細胞数の割合とVEGF分泌量との間のスピアマン順位相関係数(rs)とそのp値を示す。
2次元UMAPプロット上に表示した各細胞のLRRC75Aの相対発現量。スケールバーは、SeuratのFeaturePlot関数を用いて規格化した遺伝子発現量のカラースケールである。
BM-MSCsにおけるLRRC75A発現抑制がVEGF分泌に及ぼす影響。control siRNAを導入したBM-MSCs株(siNegative)と、siRNAによりLRRC75A発現を抑制したBM-MSCs株(siLRRC75A#1)についての、通常培養条件下及び虚血培養条件下での、LRRC75A mRNAの発現量(A)、VEGF分泌量(B)、及び[虚血培養条件下でのVEGF分泌量]/[通常培養条件下でのVEGF分泌量](C)。各図中のバーは平均値±SE(n=3)を示す。*;p<0.05、**;p<0.01(Student’s t-test)。
2次元UMAPプロット上に表示した各細胞のCD73、CD90及びCD105の相対発現量。スケールバーは、SeuratのFeaturePlot関数を用いて規格化した遺伝子発現量のカラースケールである。
【発明を実施するための形態】
【0009】
間葉系間質/幹細胞(Mesenchymal stromal/stem cells;MSCs)は、体内に存在する中胚葉由来の幹細胞である。MSCsは、骨髄、脂肪、臍帯、胎盤などの様々な組織から単離することができる。MSCsは、骨、軟骨、血管、心筋細胞などの中胚葉由来の組織に分化することができるほか、外胚葉由来の神経細胞やグリア細胞、内胚葉由来の肝細胞にも分化することができることが報告されている。国際細胞治療学会(ISCT)によるMSCsを定義するための基準は、以下のとおりである:(1)in vitroで接着細胞として増殖すること、(2)細胞表面マーカーのCD73、CD90、及びCD105が陽性であり、かつCD45、CD34、CD14、CD11b、CD79a、CD19、及びヒト白血球抗原class IIが陰性であること、(3)骨芽細胞、軟骨細胞、脂肪細胞への分化能を有すること。
【0010】
MSCsの臨床応用では、一般に、生体から採取した細胞を培養し、得られた細胞株を患者の治療に使用する。MSCsベースの細胞製品も市販されている。MSCsは、免疫調節能、創傷治癒促進能、様々な細胞への分化能などを有し、創傷治癒や再生医療などの分野での利用が期待される。例えば、MSCsは、抗炎症、増殖因子分泌、血管新生促進などの生理活性を発揮することができる。一方で、MSCsには、細胞株間で生物学的及び機能的性質(増殖能、分化能、生理活性など)に多様性があることが知られている。例えば、MSCsは、いずれも上記のISCTによる定義を満たす場合であっても、由来する組織などによって生物学的持性が異なる。こうした性質は、MSCsの不均一性(heterogeneity)として知られる。MSCsの不均一性は、MSCs細胞株間の生物学的及び機能的性質に差異を生じさせ得、またMSCsベースの細胞製品において、薬理効果を不安定にさせるなど品質低下の原因となり得る。さらに、MSCsベースの細胞製品の不安定性は、その薬理効果や安全性を損なうだけでなく、製品間の比較を困難にし、ひいては臨床での治療効果に対して深刻な負の影響をもたらし得る。
(【0011】以降は省略されています)
特許ウォッチbot のツイートを見る
この特許をJ-PlatPat(特許庁公式サイト)で参照する
関連特許
個人
抗遺伝子劣化装置
3か月前
個人
細胞内探査とその利用
3か月前
三洋化成工業株式会社
細胞培養用担体
11日前
雪国アグリ株式会社
単糖類の製造方法
2か月前
株式会社タクマ
バイオマス処理装置
4か月前
テルモ株式会社
吐出デバイス
3か月前
株式会社タクマ
バイオマス処理装置
4か月前
株式会社東洋新薬
経口組成物
3か月前
宝酒造株式会社
アルコール飲料
2か月前
島根県
油吸着材とその製造方法
2か月前
東ソー株式会社
pH応答性マイクロキャリア
3か月前
テルモ株式会社
容器蓋デバイス
3か月前
大陽日酸株式会社
培養装置
3か月前
大陽日酸株式会社
培養装置
3か月前
トヨタ自動車株式会社
バイオ燃料製造方法
2か月前
株式会社ファンケル
SEC12タンパク発現促進剤
4か月前
個人
有機フッ素化合物を分解する廃液処理法
1か月前
月桂冠株式会社
低プリン体清酒
1か月前
株式会社豊田中央研究所
細胞励起装置
2か月前
株式会社シャローム
スフィンゴミエリン製造方法
3か月前
株式会社カクサスバイオ
新規免疫抑制方法
27日前
テルモ株式会社
採取組織細切補助デバイス
3か月前
横河電機株式会社
藻類培養装置
2か月前
株式会社村田製作所
濾過装置および濾過方法
2か月前
新東工業株式会社
培養システム
2か月前
株式会社今宮
瓶詰ビールの加熱殺菌方法および装置
3か月前
株式会社ショウワ
キトサンオリゴマー分画方法
2か月前
東ソー株式会社
免疫学的測定法
1か月前
公立大学法人北九州市立大学
微生物の検知方法
3か月前
東ソー株式会社
免疫グロブリン結合性タンパク質の製造方法
1か月前
住友金属鉱山株式会社
連続発酵方法及び連続発酵装置
3か月前
フジッコ株式会社
エリナシンAの産生方法
2か月前
個人
酒粕パウダーの製造方法
19日前
株式会社日本触媒
スフェロイドの輸送方法
2か月前
住友ベークライト株式会社
培養キット
3か月前
NTN株式会社
細胞配置の制御方法
2か月前
続きを見る
他の特許を見る