TOP
|
特許
|
意匠
|
商標
特許ウォッチ
Twitter
他の特許を見る
10個以上の画像は省略されています。
公開番号
2025177805
公報種別
公開特許公報(A)
公開日
2025-12-05
出願番号
2024084915
出願日
2024-05-24
発明の名称
ブレードラバー、ワイパーブレード及びワイパー装置
出願人
キヤノン株式会社
代理人
弁理士法人秀和特許事務所
主分類
C08G
18/61 20060101AFI20251128BHJP(有機高分子化合物;その製造または化学的加工;それに基づく組成物)
要約
【課題】使用時の湿度環境の変化に対し、水分の吸湿による硬度変化を抑制し、耐久使用を通じて高い払拭性能を有するブレードラバー。
【解決手段】ポリウレタンエラストマーを含有する弾性部材からなり、被清掃部材の表面に該弾性部材の一部を当接させて、該被清掃部材の表面を清掃するブレードラバーであって、24℃環境において該ブレードラバーの振動周波数が1×10
-3
Hz時の貯蔵弾性率E´が12.0~18.0MPaであり、該ブレードラバーからサンプリングした試料の50℃環境でのパルスNMR測定においてスピン-スピン緩和時間(T2
L
)が250~360μsのセグメントが存在し、該ポリウレタンエラストマーが特定のポリシロキサンセグメントを有し、該ポリシロキサンセグメントが該ポリウレタンエラストマーにおけるポリウレタン骨格を含む構造と結合している。
【選択図】図1
特許請求の範囲
【請求項1】
ポリウレタンエラストマーを含有する弾性部材からなり、被清掃部材の表面に該弾性部材の一部を当接させて、該被清掃部材の表面を清掃するブレードラバーであって、
24℃環境において、該ブレードラバーの、振動周波数が1×10
-3
Hz時の貯蔵弾性率E´が、12.0~18.0MPaであり、
該ブレードラバーからサンプリングした試料の50℃環境でのパルスNMR測定において、スピン-スピン緩和時間(T2
L
)が250~360μsのセグメントが存在し、
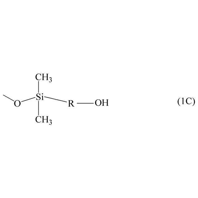
該ポリウレタンエラストマーが、下記式(1)で示される構造を有するポリシロキサンセグメントを有し、
該ポリシロキサンセグメントが、該ポリウレタンエラストマーにおけるポリウレタン骨格を含む構造と結合しており、
1つの該ポリシロキサンセグメントあたりの、式(1)で示される構造の数Iが、7~195である、
ことを特徴とするブレードラバー。
TIFF
2025177805000017.tif
40
153
続きを表示(約 1,600 文字)
【請求項2】
前記ポリシロキサンセグメントが下記式(2)で示される構造を介して前記ポリウレタン骨格に結合しており、
1つの前記ポリシロキサンセグメントあたりの、下記式(2)で示される構造の数mが、1~10である、請求項1に記載のブレードラバー。
TIFF
2025177805000018.tif
45
153
(式(2)中、nは1~5の整数を示し、*は前記ポリウレタン骨格との結合部位を示す。)
【請求項3】
前記mが2~10である、請求項2に記載のブレードラバー。
【請求項4】
前記パルスNMR測定において、スピン-スピン緩和時間(T2
L
)が250~320μsのセグメントが存在する、請求項1に記載のブレードラバー。
【請求項5】
前記ポリウレタンエラストマーが前記式(1)で示される構造を、0.5~10.0質量%含有する、請求項1に記載のブレードラバー。
【請求項6】
前記ポリシロキサンセグメントは、下記式(3)で示される構造を有するポリシロキサ
ンが前記ポリウレタン骨格にウレタン結合した構造である、請求項1に記載のブレードラバー。
TIFF
2025177805000019.tif
43
153
(式(3)中、I及びmは平均付加モル数であり、Iは7~195であり、mは1~10であり、nは1~5の整数である。式(3)中、(-O-Si(CH
3
)
2
-)で表されるシロキサン構造及び(-O-Si(CH
3
)((CH
2
)
n
OH)-)で表される構造の配列は、ブロック共重合でもよいし、ランダム共重合でもよい。)
【請求項7】
ATR結晶としてダイヤモンドを用いた前記ブレードラバーのFT-IR測定において、
1415cm
-1
のピーク強度の1538cm
-1
のピーク強度に対する比の値が、0.50~0.65である、請求項1に記載のブレードラバー。
【請求項8】
前記ブレードラバーは、少なくとも前記ブレードラバーの先端側において、前記被清掃部材に面する主面と、該主面と共に先端側エッジを形成する先端面とを有する板形状を有し、
該先端面に、該先端側エッジと平行に、該先端側エッジとの距離が0.5mmである線分を引いたと仮定したときに、
該線分の長さをL’とし、
該線分上の一端側から1/8L’、1/2L’、7/8L’の点を各々、P0’、P1’、P2’とし、
該P0’、該P1’及び該P2’の各々においてサンプリングされる試料を、イオン化室内で加熱気化させ、試料分子をイオン化する直接試料導入方式の質量分析計を用いて、昇温速度10℃/s、1000℃まで加熱したときに得られる、
全てのイオンの検出量をM1とし、
ポリメリックMDIに由来するm/z値が380.5~381.5の範囲に対応する抽出イオンサーモグラムのピークの積分強度をM2としたとき、
M2/M1が0.0010未満である
請求項1に記載のブレードラバー。
【請求項9】
ワイパーブレードであって、
該ワイパーブレードは、ブレードラバーと、該ブレードラバーを支持する支持部材と、を有し、
該ブレードラバーが、請求項1~8のいずれか一項に記載のブレードラバーである、ことを特徴とするワイパーブレード。
【請求項10】
ワイパー装置であって、
該ワイパー装置は、ワイパーアームと該ワイパーアームに装着されたワイパーブレードとを具備し、
該ワイパーブレードが、請求項9に記載のワイパーブレードである、ことを特徴とするワイパー装置。
発明の詳細な説明
【技術分野】
【0001】
本開示は、車両などのウインドシールドの表面や、ネットワークカメラ等のレンズ装置や撮像装置の保護ガラス表面を払拭する、ポリウレタンエラストマーを含むブレードラバー、ワイパーブレード及びワイパー装置に関する。
続きを表示(約 2,100 文字)
【背景技術】
【0002】
ワイパー装置は屋外で使用される様々な被払拭面に密着して動くことで被払拭面に付着した雨、水滴、汚れなどを払拭し、その視界を確保する目的で使用されることが知られている。
【0003】
ワイパー装置は、自動車、電車、船舶、航空機などの各種運搬・移動装置における視界確保や、屋外に設置されるネットワークカメラ等のレンズ装置や保護ガラスなどの表面の払拭に使用される。
ワイパー装置は被払拭面と接触する部分にゴムを含むワイパーブレードが設けられたものが知られている。ワイパーブレードには、高湿環境と低湿環境共に、被払拭面に密着し、被払拭面に付着した水滴を十分に払拭し、また、被払拭面に固着した汚れなどを十分に掻き取ることのできるものが望まれている。
【先行技術文献】
【特許文献】
【0004】
特開2020-024375号公報
特開2003-186366号公報
【発明の概要】
【発明が解決しようとする課題】
【0005】
特許文献1は、被払拭面と当接する部分に硬化性組成物の硬化物からなるシロキサン系化合物を含有する表面層を有する、プロセスカートリッジ及び画像形成装置のラバーブレードを開示している。シロキサンを含有する表面層により、ブレードの摩擦係数を小さくし、摺動時の摩擦力を小さくしてブレードの摩耗を抑え、加えて摺動時のブレード先端部の挙動を安定化させる効果が示されている。
しかしながら、本発明者らの検討によれば、特許文献1に係るワイパーブレードゴムは、ゴム中のシロキサン化合物がゴムと化学的に結合しておらず、シロキサン化合物がゴム中を自由に動くことができる。そのためゴム中でシロキサン化合物が偏って存在している箇所が存在し、高湿環境におけるゴム中への水分の侵入を防ぐことができない。結果、膨潤による硬度低下を引き起こし、払拭面との当接幅が広がることによる当接圧が低下し、払拭性の低下を引き起こす場合がある。
【0006】
特許文献2は、片末端に反応性基を有するオルガノポリシロキサンを含有するウレタンポリマーからなる電子複写機クリーニングブレードを開示している。特許文献1と異なり、シロキサンはゴム中で化学的に結合しているため、分子構造の一部にシロキサンが導入されており、分子鎖付近に近づく水分の侵入を防ぐことができている。
しかしながら、本発明者らの検討によれば、特許文献2に係るワイパーブレードゴムは、分子鎖の架橋間距離が大きく、分子内の空間が大きく、水分による膨潤抑制は十分ではない。そのため、特許文献1と同じく、膨潤による硬度低下を引き起こし、払拭面との当接幅が広がることによる当接圧が低下し、払拭性の低下を引き起こす場合がある。
【0007】
特許文献1及び特許文献2において、膨潤による硬度低下を想定し、ゴム硬度を高めに
設定することで、払拭性の低下を回避することができる。しかしながら、硬度が高いことで払拭面との当接幅が小さくなり、ワイパーブレードと払拭面の隙間に異物が入り込み、ワイパー自身が欠けてしまい、長寿命の使用が困難になる場合がある。
【0008】
本開示、使用時の湿度環境の変化に対し、水分の吸湿による硬度変化を抑制し、耐久使用を通じて高い払拭性能を有するブレードラバー、ワイパーブレード及びワイパー装置に向けたものである。
【課題を解決するための手段】
【0009】
本開示は、ポリウレタンエラストマーを含有する弾性部材からなり、被清掃部材の表面に該弾性部材の一部を当接させて、該被清掃部材の表面を清掃するブレードラバーであって、
24℃環境において、該ブレードラバーの、振動周波数が1×10
-3
Hz時の貯蔵弾性率E´が、12.0~18.0MPaであり、
該ブレードラバーからサンプリングした試料の50℃環境でのパルスNMR測定において、スピン-スピン緩和時間(T2
L
)が250~360μsのセグメントが存在し、
該ポリウレタンエラストマーが、下記式(1)で示される構造を有するポリシロキサンセグメントを有し、
該ポリシロキサンセグメントが、該ポリウレタンエラストマーにおけるポリウレタン骨格を含む構造と結合しており、
1つの該ポリシロキサンセグメントあたりの、式(1)で示される構造の数Iが、7~195である、ブレードラバーに関する。
TIFF
2025177805000002.tif
40
153
【0010】
本開示は、ワイパーブレードであって、
該ワイパーブレードは、ブレードラバーと、該ブレードラバーを支持する支持部材と、を有し、該ブレードラバーが、上記ブレードラバーであるワイパーブレードに関する。
(【0011】以降は省略されています)
この特許をJ-PlatPat(特許庁公式サイト)で参照する
関連特許
キヤノン株式会社
トナー
1か月前
キヤノン株式会社
撮像装置
4日前
キヤノン株式会社
定着装置
25日前
キヤノン株式会社
記録装置
1か月前
キヤノン株式会社
定着装置
19日前
キヤノン株式会社
記録装置
5日前
キヤノン株式会社
記録装置
25日前
キヤノン株式会社
電子機器
4日前
キヤノン株式会社
記録装置
5日前
キヤノン株式会社
定着装置
25日前
キヤノン株式会社
電子機器
1か月前
キヤノン株式会社
撮像装置
4日前
キヤノン株式会社
撮像装置
4日前
キヤノン株式会社
電子機器
今日
キヤノン株式会社
定着装置
25日前
キヤノン株式会社
電子機器
1か月前
キヤノン株式会社
測距装置
1か月前
キヤノン株式会社
記録装置
1か月前
キヤノン株式会社
撮像装置
19日前
キヤノン株式会社
表示装置
4日前
キヤノン株式会社
撮像装置
4日前
キヤノン株式会社
撮像装置
4日前
キヤノン株式会社
撮像装置
19日前
キヤノン株式会社
発光装置
11日前
キヤノン株式会社
撮像装置
13日前
キヤノン株式会社
定着装置
19日前
キヤノン株式会社
撮像装置
27日前
キヤノン株式会社
二次電池
6日前
キヤノン株式会社
表示装置
11日前
キヤノン株式会社
電子機器
27日前
キヤノン株式会社
撮像装置
1か月前
キヤノン株式会社
撮像装置
11日前
キヤノン株式会社
表示装置
11日前
キヤノン株式会社
撮像装置
11日前
キヤノン株式会社
表示装置
11日前
キヤノン株式会社
雲台装置
1か月前
続きを見る
他の特許を見る