TOP
|
特許
|
意匠
|
商標
特許ウォッチ
Twitter
他の特許を見る
10個以上の画像は省略されています。
公開番号
2025177653
公報種別
公開特許公報(A)
公開日
2025-12-05
出願番号
2024084682
出願日
2024-05-24
発明の名称
セル制御システム
出願人
株式会社デンソー
代理人
弁理士法人あいち国際特許事務所
主分類
H01M
8/04 20160101AFI20251128BHJP(基本的電気素子)
要約
【課題】長寿命化を図ることができるセル制御システムを提供すること。
【解決手段】セル制御システムは、複数の層20が積層された電気化学セル2を有する。複数の層20は、第一電極層21、第二電極層22、電解質層23を少なくとも含む。第一電極層21は、還元性ガスが供給されるか、又は還元性ガスを生成する層20である。電解質層23、及び、電解質層23に対し、複数の層20の積層方向Zにおける第一電極層21側にある層20のうち、少なくとも1つは、セリウム含有層3である。セリウム含有層3は、セリウムを含むと共に、蛍石型の結晶構造を有する。制御部は、各層20の応力、各層20にかかる荷重、各層20の歪のうち、少なくとも1つが、所定の値以下となるように、電気化学セル2の温度T、及び、第一電極層21に供給されるガスの酸素分圧PO
2
を制御する。
【選択図】図2
特許請求の範囲
【請求項1】
第一電極層(21)、第二電極層(22)、及び前記第一電極層と前記第二電極層との間に配された電解質層(23)を少なくとも含む、複数の層(20)が積層された電気化学セル(2)を有し、
前記第一電極層は、還元性ガスが供給されるか、又は前記還元性ガスを生成する前記層であり、
前記電解質層、及び、前記電解質層に対し、前記複数の層の積層方向(Z)における前記第一電極層側にある前記層のうち、少なくとも1つは、セリウムを含むと共に、蛍石型の結晶構造を有するセリウム含有層(3)であり、
前記電気化学セルの温度Tと、前記第一電極層に供給されるガスの酸素分圧PO
2
と、を制御する制御部(6)を有し、
前記制御部は、前記各層の応力、前記各層にかかる荷重、前記各層の歪のうち、少なくとも1つが、所定の値以下となるように前記温度T及び前記酸素分圧PO
2
を制御する、セル制御システム(1)。
続きを表示(約 1,400 文字)
【請求項2】
Δε
m
を、前記温度Tと前記酸素分圧PO
2
とに基づいて算出される、m番目の前記層の歪量とし、b
m
をm番目の前記層の幅とし、t
m
をm番目の前記層の厚みとし、I
m
をm番目の前記層の断面二次モーメントとし、E
m
をm番目の前記層の縦弾性係数とし、ν
m
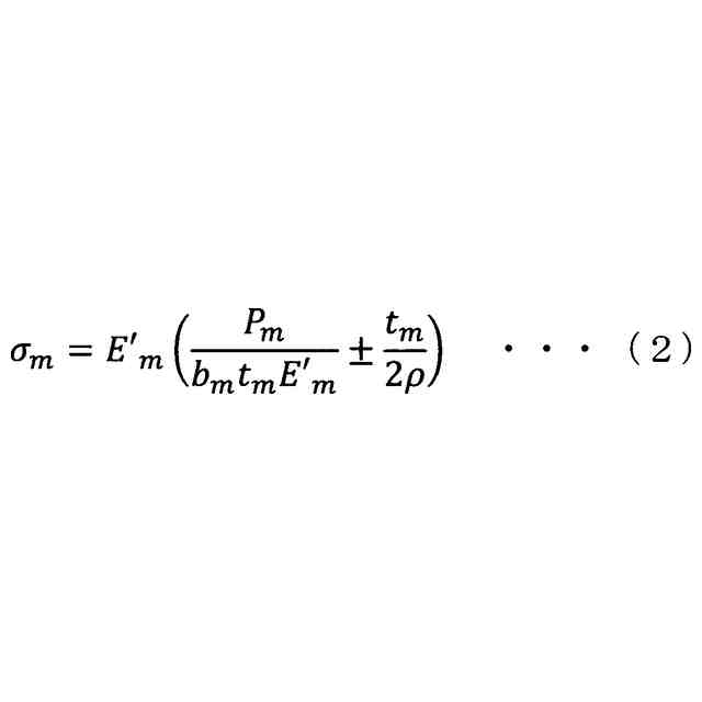
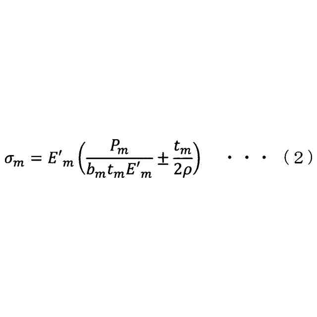
をm番目の前記層のポアソン比とし、P
m
をm番目の前記層の厚み方向に沿った断面に直交する方向の荷重とし、ρを前記電気化学セルの曲率半径とし、σ
m
をm番目の前記層の応力とし、t´
m
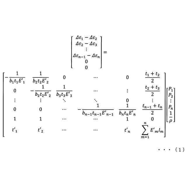
を、前記電気化学セルの前記積層方向における一方側の端面であって、前記電解質層に対し前記第一電極層側にある端面である基準端面(24)から、m番目の前記層の前記積層方向における中心までの距離としたとき、
前記制御部は、下記式(1)~(3)に基づいて、前記温度T及び前記酸素分圧PO
2
を制御する、請求項1に記載のセル制御システム。
TIFF
2025177653000011.tif
89
170
TIFF
2025177653000012.tif
14
170
TIFF
2025177653000013.tif
9
170
前記式(1)~(3)中、mは、1~nの整数であり、前記式(1)中、nは、整数であると共に、前記複数の層の総数である。
【請求項3】
前記電解質層は、前記セリウム含有層である、請求項1又は2に記載のセル制御システム。
【請求項4】
前記電気化学セルは、酸素イオン伝導性を有すると共に、電子伝導性を有さないリーク防止層(71)を有し、前記リーク防止層は、前記電解質層に隣接して積層される、請求項3に記載のセル制御システム。
【請求項5】
前記電気化学セルは、前記第一電極層における、前記電解質層側とは反対側に、支持層(25)が設けられており、前記支持層は、前記セリウム含有層である、請求項1又は2に記載のセル制御システム。
【請求項6】
前記第一電極層は、前記セリウム含有層である、請求項1又は2に記載のセル制御システム。
【請求項7】
前記電気化学セルの運転前に、前記第一電極層に前記還元性ガスを含むガスを供給することにより、前記第一電極層に含まれる触媒を還元する還元工程を行い、
前記制御部は、前記還元工程において、前記温度Tが、前記電気化学セルの運転時の前記温度Tよりも低くなるように制御する、請求項1又は2に記載のセル制御システム。
【請求項8】
前記還元工程において前記第一電極層に供給するガスは、前記運転時において前記第一電極層に供給するガスよりも前記還元性ガスの割合が高く、
前記制御部は、前記還元工程の後、前記運転時の前記温度Tまで前記電気化学セルを昇温させる前に、前記第一電極層に供給するガスにおける水蒸気の割合を、前記還元工程時よりも高くすることにより、前記酸素分圧PO
2
を上昇させるよう制御する、請求項7に記載のセル制御システム。
発明の詳細な説明
【技術分野】
【0001】
本発明は、セル制御システムに関する。
続きを表示(約 2,500 文字)
【背景技術】
【0002】
例えば、特許文献1に記載されているように、電解質層を有する電気化学セルを備えた燃料電池が知られている。特許文献1に記載の燃料電池において、電解質層は、セリア系母材を有すると共に、セリア系母材の表面に、アルカリ土類元素、セリウム、酸素、希土類元素等を含む層が形成されている。これにより、高温下において、還元性ガスによってセリウムが還元されることを抑制し、セリウムの還元に伴う膨張による電解質層の損傷や劣化を防ごうとしている。
【先行技術文献】
【特許文献】
【0003】
特開2005-243473号公報
【発明の概要】
【発明が解決しようとする課題】
【0004】
しかしながら、特許文献1に記載の燃料電池は、運転中、又は運転状態から停止状態にする際等に変化する電気化学セルの温度及び酸素分圧について、充分に考慮されておらず、また、電気化学セルを構成する電解質層以外の層についても充分に考慮されていない。つまり、電気化学セルの温度、及び電気化学セルに供給されるガスの酸素分圧によって電解質層や燃料極層に含まれるセリウムの膨張量が変化することについては、充分に考慮されていない。そのため、特許文献1に記載の燃料電池は、セリウムの還元に伴う膨張による電気化学セルの損傷や劣化を抑制し、長寿命化を図る観点から、さらなる改善の余地があるといえる。
【0005】
本発明は、かかる課題に鑑みてなされたものであり、長寿命化を図ることができるセル制御システムを提供しようとするものである。
【課題を解決するための手段】
【0006】
本発明の一態様は、第一電極層(21)、第二電極層(22)、及び前記第一電極層と前記第二電極層との間に配された電解質層(23)を少なくとも含む、複数の層(20)が積層された電気化学セル(2)を有し、
前記第一電極層は、還元性ガスが供給されるか、又は前記還元性ガスを生成する前記層であり、
前記電解質層、及び、前記電解質層に対し、前記複数の層の積層方向(Z)における前記第一電極層側にある前記層のうち、少なくとも1つは、セリウムを含むと共に、蛍石型の結晶構造を有するセリウム含有層(3)であり、
前記電気化学セルの温度Tと、前記第一電極層に供給されるガスの酸素分圧PO
2
と、を制御する制御部(6)を有し、
前記制御部は、前記各層の応力、前記各層にかかる荷重、前記各層の歪のうち、少なくとも1つが、所定の値以下となるように前記温度T及び前記酸素分圧PO
2
を制御する、セル制御システム(1)にある。
【発明の効果】
【0007】
上記セル制御システムにおいて、制御部は、セリウム含有層に含まれるセリウムの膨張による各層の応力、各層にかかる荷重、各層の歪のうち、少なくとも1つが、所定の値以下となるように温度T及び酸素分圧PO
2
を制御する。それゆえ、電気化学セルの損傷や劣化を抑制することができる。その結果、長寿命化を図ることができる。
【0008】
以上のごとく、上記態様によれば、長寿命化を図ることができるセル制御システムを提供することができる。
なお、特許請求の範囲及び課題を解決する手段に記載した括弧内の符号は、後述する実施形態に記載の具体的手段との対応関係を示すものであり、本発明の技術的範囲を限定するものではない。
【図面の簡単な説明】
【0009】
実施形態1における、セル制御システムの構成図。
実施形態1における、電気化学セルの断面図。
実施形態1における、各層の厚みt
m
を示す、電気化学セルの断面図。
実施形態1における、距離t´
m
を示す、電気化学セルの断面図。
実施形態1における、各層の荷重P
m
を示す図。
実施形態1における、曲率半径ρを示す、電気化学セルの断面図。
実施形態1における、セルスタックの断面図。
実施形態1における、セル制御システムの制御領域CRを示すグラフ。
実験例1における、酸素分圧と試料の膨張量との関係を示すグラフ。
実験例1における、試料の酸素欠陥の変化量Δδと、試料の歪量Δ
ε
との関係を示すグラフ。
実験例2における、制御領域CR外の条件Aにて運転させた電気化学セルの、運転後の断面写真。
実験例2における、制御領域CR外の条件Bにて運転させた電気化学セルの、運転後の断面写真。
実験例3における、実験装置の断面図。
実験例3における、還元時間と、電解質層及び第一電極層の変位量との関係を示すグラフ。
実験例3における、還元時間と、中間層及びリーク防止層の残留応力との関係を示すグラフ。
実験例4における、第一電極層のみがセリウム含有層であるときの中間層の安全率を示すグラフ。
実験例4における、電解質層のみがセリウム含有層であるときの中間層の安全率を示すグラフ。
実験例4における、支持層のみがセリウム含有層であるときの中間層の安全率を示すグラフ。
実施形態2における、セル制御システムの構成図。
実施形態2における、電気化学セルの断面図。
【発明を実施するための形態】
【0010】
(実施形態1)
セル制御システムに係る実施形態について、図1~図8を参照して説明する。
本形態のセル制御システム1は、図2に示すごとく、複数の層20が積層された電気化学セル2を有する。複数の層20は、第一電極層21、第二電極層22、及び第一電極層21と第二電極層22との間に配された電解質層23を少なくとも含む。第一電極層21は、還元性ガスが供給されるか、又は還元性ガスを生成する層20である。
(【0011】以降は省略されています)
この特許をJ-PlatPat(特許庁公式サイト)で参照する
関連特許
株式会社デンソーウェーブ
筐体
1か月前
株式会社デンソー
回転機
1か月前
株式会社デンソー
分離体
18日前
株式会社デンソー
ロータ
5日前
株式会社デンソー
ロータ
5日前
株式会社デンソー
端子台
12日前
株式会社デンソー
電動機
10日前
株式会社デンソー
電動弁
1か月前
株式会社デンソー
電子装置
1か月前
株式会社デンソー
検出装置
1か月前
株式会社デンソー
制御装置
1か月前
株式会社デンソー
電解装置
1か月前
株式会社デンソー
光学部材
10日前
株式会社デンソー
トランス
10日前
株式会社デンソー
反力装置
2か月前
株式会社デンソー
整流回路
3日前
株式会社デンソー
熱交換器
1か月前
株式会社デンソー
電子装置
1か月前
株式会社デンソー
光学部材
18日前
株式会社デンソー
電気回路
26日前
株式会社デンソー
電子装置
10日前
株式会社デンソー
撮像装置
1か月前
株式会社デンソー
摺動機構
1か月前
株式会社デンソー
摺動機構
1か月前
株式会社デンソー
撮像装置
1か月前
株式会社デンソー
光学部材
18日前
株式会社デンソー
回転電機
3日前
株式会社デンソー
電子装置
2か月前
株式会社デンソー
半導体装置
1か月前
株式会社デンソー
センサ装置
1か月前
株式会社デンソー
半導体装置
18日前
株式会社デンソー
電流センサ
1か月前
株式会社デンソー
音低減装置
3日前
株式会社デンソーエレクトロニクス
電磁継電器
4日前
株式会社デンソー
熱交換装置
1か月前
株式会社デンソーテン
インバータ
2か月前
続きを見る
他の特許を見る