TOP
|
特許
|
意匠
|
商標
特許ウォッチ
Twitter
他の特許を見る
10個以上の画像は省略されています。
公開番号
2025176397
公報種別
公開特許公報(A)
公開日
2025-12-04
出願番号
2024082519
出願日
2024-05-21
発明の名称
全焦点画像生成方法、全焦点画像生成装置、及び全焦点画像生成プログラム
出願人
浜松ホトニクス株式会社
代理人
個人
,
個人
,
個人
,
個人
主分類
G06T
1/00 20060101AFI20251127BHJP(計算;計数)
要約
【課題】簡便且つ精度よく全焦点画像を生成することができる全焦点画像生成方法、全焦点画像生成装置、及び全焦点画像生成プログラムを提供する。
【解決手段】方法MT1は、対象物に関する焦点位置毎の元画像を取得する元画像取得ステップ(ステップST1)と、焦点位置毎の元画像に関する点拡がり情報算出ステップ(ステップST4)と、焦点位置毎の元画像に基づいて画素毎の焦点位置を決定する焦点位置決定ステップと(ステップST3)、点拡がり情報に基づいて画素毎の焦点位置を補正する焦点位置補正ステップ(ステップST5)と、補正後の画素毎の焦点位置に対応する画素をから抽出し、抽出した画素を統合することで全焦点画像を生成する全焦点画像生成ステップ(ステップST6)と、を備える。
【選択図】図4
特許請求の範囲
【請求項1】
所定方向に焦点位置をずらしながら対象物を撮像した前記対象物に関する焦点位置毎の元画像を取得する元画像取得ステップと、
前記焦点位置毎の元画像に関する点拡がり情報を算出する点拡がり情報算出ステップと、
前記焦点位置毎の元画像に基づいて画素毎の焦点位置を決定する焦点位置決定ステップと、
前記点拡がり情報に基づいて前記画素毎の焦点位置を補正する焦点位置補正ステップと、
補正後の前記画素毎の焦点位置に対応する画素を前記焦点位置毎の元画像から抽出し、抽出した画素を統合することで全焦点画像を生成する全焦点画像生成ステップと、を備えた全焦点画像生成方法。
続きを表示(約 1,100 文字)
【請求項2】
前記点拡がり情報は、点拡がり関数を含む、請求項1記載の全焦点画像生成方法。
【請求項3】
前記点拡がり情報算出ステップは、
前記焦点位置毎の元画像を周波数変換して振幅スペクトルを取得するステップと、
前記振幅スペクトルを逆周波数変換して前記点拡がり関数を算出するステップと、を含む、請求項2記載の全焦点画像生成方法。
【請求項4】
前記点拡がり情報は、光学伝達関数を含む、請求項1記載の全焦点画像生成方法。
【請求項5】
前記点拡がり情報算出ステップでは、前記焦点位置毎の元画像のうち少なくとも一枚の画像に基づいて前記点拡がり情報を算出する、請求項1~4のいずれか一項記載の全焦点画像生成方法。
【請求項6】
前記点拡がり情報算出ステップでは、前記焦点位置毎の元画像又は焦点位置毎の元画像における特徴量に基づいて、前記点拡がり情報を算出する、請求項1~4のいずれか一項記載の全焦点画像生成方法。
【請求項7】
前記点拡がり情報算出ステップでは、前記対象物を撮像する撮像装置の光学パラメータに基づいて、前記点拡がり情報を算出する、請求項1~4のいずれか一項記載の全焦点画像生成方法。
【請求項8】
所定方向に焦点位置をずらしながら対象物を撮像した前記対象物に関する焦点位置毎の元画像を取得する元画像取得部と、
前記焦点位置毎の元画像に関する点拡がり情報を算出する点拡がり情報算出部と、
前記焦点位置毎の元画像に基づいて画素毎の焦点位置を決定する焦点位置決定部と、
前記点拡がり情報に基づいて前記画素毎の焦点位置を補正する焦点位置補正部と、
補正後の前記画素毎の焦点位置に対応する画素を前記焦点位置毎の元画像から抽出し、抽出した画素を統合することで全焦点画像を生成する全焦点画像生成部と、を備えた全焦点画像生成装置。
【請求項9】
所定方向に焦点位置をずらしながら対象物を撮像した前記対象物に関する焦点位置毎の元画像を取得する元画像取得ステップと、
前記焦点位置毎の元画像に関する点拡がり情報を算出する点拡がり情報算出ステップと、
前記焦点位置毎の元画像に基づいて画素毎の焦点位置を決定する焦点位置決定ステップと、
前記点拡がり情報に基づいて前記画素毎の焦点位置を補正する焦点位置補正ステップと、
補正後の前記画素毎の焦点位置に対応する画素を前記焦点位置毎の元画像から抽出し、抽出した画素を統合することで全焦点画像を生成する全焦点画像生成ステップと、をコンピュータに実行させる全焦点画像生成プログラム。
発明の詳細な説明
【技術分野】
【0001】
本開示は、全焦点画像生成方法、全焦点画像生成装置、及び全焦点画像生成プログラムに関する。
続きを表示(約 1,600 文字)
【背景技術】
【0002】
同一の対象物を、焦点位置をずらしながら対象物の厚さ方向(Z軸方向)に撮影することで、互いに異なる焦点位置の複数の画像(Zスタック画像)を取得し、Zスタック画像から各画素において焦点が合った全焦点画像を生成する方法が知られている(例えば、特許文献1)。
【0003】
特許文献1の方法では、取得したZスタック画像から各画素位置において最大合焦度を有する画像の画素(焦点位置を示す画素)を組み合わせることで全焦点画像を生成する。具体的には、合焦度算出部がZスタック画像を構成する二次元画像の全ての画素位置において合焦度を算出し、全焦点画像生成部に送る。全焦点画像生成部は、合焦度が最も高くなるZ方向のいずれの二次元画像の画素値を選択(焦点位置を抽出)して、全ての画素位置において選択された画素値を組み合わせることにより全焦点画像を生成する。
【先行技術文献】
【特許文献】
【0004】
国際公開第2018/042629号明細書
【発明の概要】
【発明が解決しようとする課題】
【0005】
特許文献1の方法では、合焦度算出部がエッジ情報などの高周波成分を表現することができるラプラシアンピラミッドを利用して、高周波成分に基づいて合焦度を算出する。高周波成分には、合焦成分に加え、ノイズ成分が含まれ得る。
【0006】
高精度に合焦度を算出し、精度よく全焦点画像を生成するうえで、例えば、特許文献1の方法において、取得したZスタック画像又は全焦点画像に対して、合焦成分とノイズ成分とを切り分けることが有効である。例えば、Zスタック画像又は全焦点画像にノイズフィルタリングを施すことが想定されるが、撮像対象に応じてフィルタパラメータを手動で調整するのは非常に煩雑である。
【0007】
本開示では、簡便且つ精度よく全焦点画像を生成することができる全焦点画像生成方法、全焦点画像生成装置、及び全焦点画像生成プログラムを提供する。
【課題を解決するための手段】
【0008】
本開示の要旨は以下のとおりである。
[1]所定方向に焦点位置をずらしながら対象物を撮像した前記対象物に関する焦点位置毎の元画像を取得する元画像取得ステップと、前記焦点位置毎の元画像に関する点拡がり情報算出ステップと、前記焦点位置毎の元画像に基づいて画素毎の焦点位置を決定する焦点位置決定ステップと、前記点拡がり情報に基づいて前記画素毎の焦点位置を補正する焦点位置補正ステップと、補正後の前記画素毎の焦点位置に対応する画素を前記焦点位置毎の元画像から抽出し、抽出した画素を統合することで全焦点画像を生成する全焦点画像生成ステップと、を備えた全焦点画像生成方法。
【0009】
この全焦点画像生成方法では、点拡がり情報を用いることで、焦点位置毎の元画像には存在していない高周波成分を抑制することによって、ノイズ成分を低減する。この結果、画素毎の焦点位置の情報を保持しつつも、各画素の画素値が平滑化されてノイズ成分が低減され、焦点位置を精度よく算出することができる。また、元画像に対する点拡がり情報を補正のパラメータとして用いることにより、補正のパラメータを撮像対象に合わせて手動で調整する必要が無くなり、補正した焦点位置に対応する画素を焦点位置毎の元画像から抽出し、抽出した画素を統合することで、簡便に全焦点画像を生成できる。
【0010】
[2]前記点拡がり情報は、点拡がり関数を含む、[1]記載の全焦点画像生成方法。この場合、点拡がり関数は、空間領域における関数である。画素毎の焦点位置は、画像空間上のデータであることから、点拡がり関数を直接的に適用し易い。これにより、効率的に全焦点画像を生成できる。
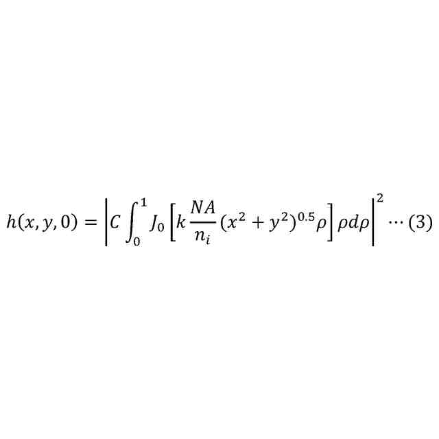
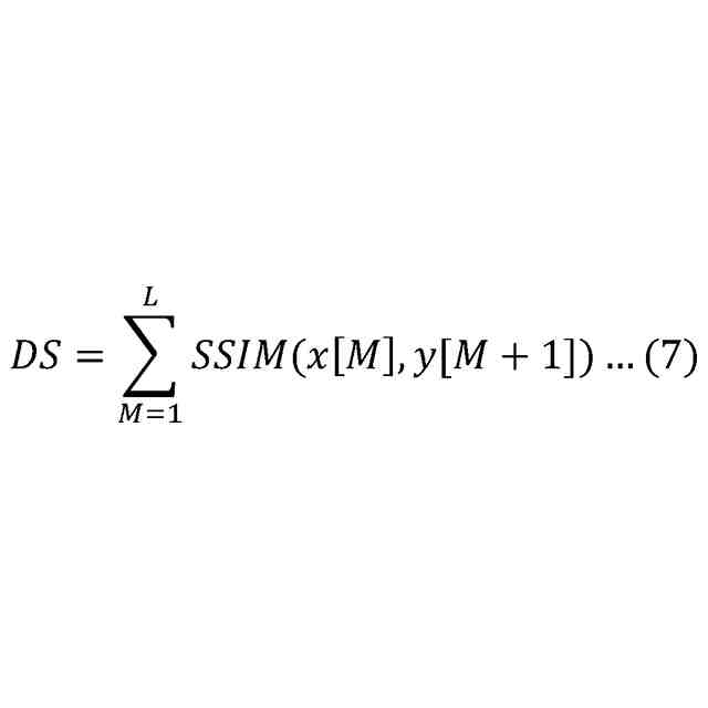
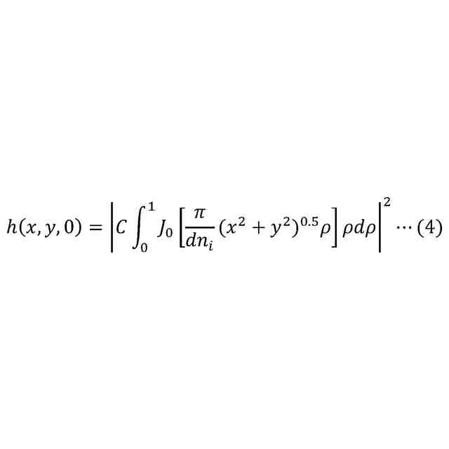
(【0011】以降は省略されています)
この特許をJ-PlatPat(特許庁公式サイト)で参照する
関連特許
個人
職業自動販売機
25日前
個人
RFタグシート
1か月前
個人
5掛けポイント
1か月前
個人
ペルソナ認証方式
1か月前
個人
自動調理装置
1か月前
個人
情報処理装置
1か月前
個人
立体グラフの利用方法
4日前
個人
インターネットの利用構造
1か月前
NISSHA株式会社
入力装置
5日前
個人
サービス情報提供システム
27日前
個人
学習用データ生成装置
6日前
個人
エリアガイドナビAIシステム
1か月前
株式会社ケアコム
項目選択装置
1か月前
株式会社ケアコム
項目選択装置
1か月前
キラル株式会社
顧客体験提供システム
7日前
株式会社ワコム
電子ペン
1か月前
株式会社ワコム
電子ペン
1か月前
キヤノン株式会社
情報処理装置
19日前
キヤノン株式会社
情報処理装置
1か月前
キヤノン株式会社
画像認識装置
19日前
キヤノン株式会社
情報処理装置
19日前
株式会社アジラ
行動推定システム
19日前
個人
請求金額算出システム
11日前
株式会社ITP
仮想展示システム
13日前
キヤノン電子株式会社
情報処理システム
4日前
大同大學
スーパーアプリ構築方法
19日前
株式会社ゼロワン
ケア支援システム
1か月前
株式会社フジシール
識別情報利用システム
25日前
トヨタ自動車株式会社
作業計画装置
20日前
PRONI株式会社
受発注支援装置
25日前
PRONI株式会社
受発注支援装置
25日前
三菱電機株式会社
点検管理装置
1か月前
個人
キャリアウーマン家庭科実習プログラム
25日前
株式会社三富
取引管理システム
1か月前
キヤノン株式会社
映像送受信システム
1か月前
村田機械株式会社
タスク管理システム
19日前
続きを見る
他の特許を見る