TOP
|
特許
|
意匠
|
商標
特許ウォッチ
Twitter
他の特許を見る
10個以上の画像は省略されています。
公開番号
2025175175
公報種別
公開特許公報(A)
公開日
2025-11-28
出願番号
2025159023,2023213443
出願日
2025-09-25,2015-05-14
発明の名称
美容組成物
出願人
株式会社東洋新薬
代理人
主分類
A61K
8/9767 20170101AFI20251120BHJP(医学または獣医学;衛生学)
要約
【課題】 美容効果の高い美容組成物を提供すること。
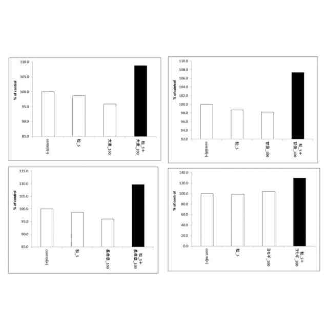
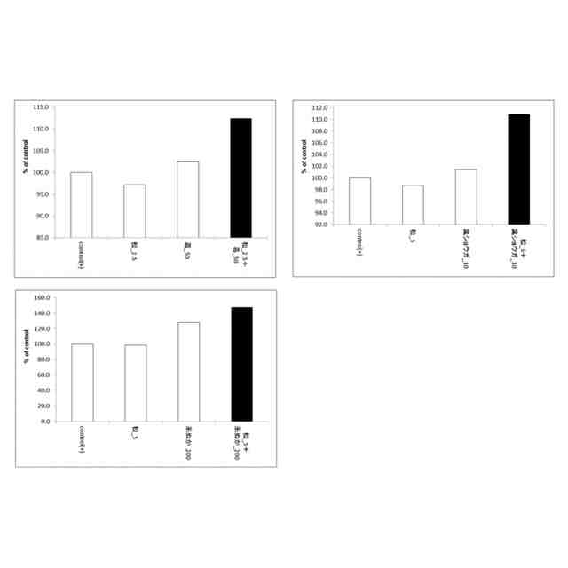
【解決手段】 松樹皮抽出物と、松樹皮抽出物と、プロリン、アルギニン、バリン、アスパラギン、アスパラギン酸、システイン、イソロイシン、メチオニン、フェニルアラニン、トリプトファン、チロシン、グリシン及びアラニンから選ばれる少なくとも1種のアミノ酸を含有することを特徴とする美容組成物である。
【選択図】図1
特許請求の範囲
【請求項1】
松樹皮抽出物と、下記(a)及び(b)からなる群より選ばれる少なくとも1種の成分とを有効成分として含有することを特徴とする経口組成物。
(a)大麦
(b)還元麦芽糖、麦芽糖、ステアリン酸カルシウム、ショ糖脂肪酸エステル、アスパルテーム、還元パラチノース、及びトレハロースから選ばれる少なくとも1種の機能性添加剤
(ただし、下記(1)~(5)を除く
(1)松樹皮抽出物及び還元型コエンザイムQ10から選択される少なくとも1種を含有する、内服用の肌水分量増加剤。
(2)糖質を、ポリフェノールに対して、無水物換算重量で5倍量以上含有せしめたポリフェノール高含有水溶液
(3)ポリフェノールと、ポリフェノールに対して、無水物換算重量で5倍量以上の糖質との混合粉末
(4)麦若葉加工物と松樹皮抽出物と黒糖と水溶性食物繊維とを含有することを特徴とする、健康食品
(5)フラバノイド、ビタミンC、ビタミンE、およびナイアシンを含む組成物)
発明の詳細な説明
【技術分野】
【0001】
本発明は、美容組成物に係り、詳しくは、松樹皮抽出物及び特定の他の成分を有効成分とする美容組成物に関する。
続きを表示(約 1,500 文字)
【背景技術】
【0002】
近年、しわ等の皮膚の老化を防ぐアンチエイジングに対する研究が盛んに行われており、コラーゲンやヒアルロン酸が注目されている。このコラーゲンやヒアルロン酸は、皮膚の真皮を構成する繊維芽細胞により産生されることが知られている。
【0003】
このようなコラーゲンやヒアルロン酸の産生に注目した組成物として、例えば、β1,3Dグルカンを含有するβグルカンを有してなることを特徴とするコラーゲン生成促進剤(特許文献1参照)や、カルダモンの抽出物を含むコラーゲン産生促進用美容組成物(特許文献2参照)や、ハマミズナ科の植物体から抽出した抽出物を含有することを特徴とするヒアルロン酸産生促進用組成物(特許文献3参照)が提案されている。
【先行技術文献】
【特許文献】
【0004】
特開2015-71588号公報
特開2015-48338号公報
特開2013-155140号公報
【発明の概要】
【発明が解決しようとする課題】
【0005】
本発明の課題は、コラーゲンやヒアルロン酸の産生に寄与する繊維芽細胞を保護することにより、紫外線等による皮膚のダメージを低減して、皮膚を保護することが可能な美容組成物を提供することにある。
【課題を解決するための手段】
【0006】
本発明者らは、松樹皮抽出物の繊維芽細胞保護能について鋭意調査・研究したところ、松樹皮抽出物と特定の他の成分とを組み合わせることにより、高い繊維芽細胞保護効果が得られることを見いだし、本発明を完成するに至った。すなわち、松樹皮抽出物と、繊維芽細胞保護能がほとんどないか、その能力が小さい特定の他の成分を組み合わせることにより、繊維芽細胞保護能を相乗的に向上させることができることを見いだした。
【0007】
すなわち、本発明は、松樹皮抽出物と、下記(a)~(e)からなる群より選ばれる少なくとも1種の成分とを有効成分として含有することを特徴とする美容組成物に関する。
(a)アスパルテーム、麦芽糖、ショ糖脂肪酸エステル、トレハロース、還元パラチノース、還元麦芽糖、及びステアリン酸カルシウムから選ばれる少なくとも1種の機能性添加剤
(b)大麦、甘藷、長命草、ヨモギ、葛、黒ショウガ、及び稲から選ばれる少なくとも1種の植物素材
(c)アラニン、アルギニン、アスパラギン、アスパラギン酸、システイン、グリシン、イソロイシン、メチオニン、フェニルアラニン、プロリン、トリプトファン、チロシン、及びバリンから選ばれる少なくとも1種のアミノ酸
(d)ビタミンA、ビタミンB1、ビタミンB2、ビタミンB6、ビタミンB12、ビタミンC、ビタミンD3、ビタミンE、パントテン酸ナトリウム、ナイアシン、葉酸、ビオチン、カルシウム、マンガン、亜鉛、銅、及びクロムから選ばれる少なくとも1種のビタミン・ミネラル類
(e)ヒアルロン酸、プラセンタ、及びコラーゲンから選ばれる少なくとも1種の美容成分
【0008】
本発明の美容組成物は、皮膚の保護作用を有し、皮膚保護に用いられる皮膚保護剤となり得る。
【0009】
本発明の美容組成物は、松樹皮抽出物と(a)~(e)からなる群より選ばれる少なくとも1種の成分とからなる有効成分を添加して得たものであってもよい。
【0010】
また、本発明の美容組成物は、経口用であることが好ましく、錠剤、カプセル剤、粉末剤、顆粒剤、又は液剤であることが好ましい。
(【0011】以降は省略されています)
この特許をJ-PlatPat(特許庁公式サイト)で参照する
関連特許
株式会社東洋新薬
飲料
1か月前
株式会社東洋新薬
飲料
1か月前
株式会社東洋新薬
組成物
1か月前
株式会社東洋新薬
皮膚外用剤
1か月前
株式会社東洋新薬
皮膚外用剤
9日前
株式会社東洋新薬
経口組成物
1か月前
株式会社東洋新薬
皮膚外用剤
1か月前
株式会社東洋新薬
包装容器及び展開体
2か月前
株式会社東洋新薬
睡眠の質向上用組成物
1か月前
株式会社東洋新薬
pDC活性化用経口組成物
2か月前
株式会社東洋新薬
飲料
1か月前
株式会社東洋新薬
骨強化剤
15日前
株式会社東洋新薬
美容組成物
1日前
株式会社東洋新薬
肝機能改善剤
1か月前
株式会社東洋新薬
網膜保護組成物
1か月前
株式会社東洋新薬
青汁用の飲食用組成物
1か月前
株式会社東洋新薬
錠剤及び錠剤の製造方法
1日前
株式会社東洋新薬
テロメラーゼ発現増強剤
2か月前
株式会社東洋新薬
血中中性脂肪上昇抑制組成物
1か月前
株式会社東洋新薬
葛花乾燥粉末を含有する組成物
3日前
コタ株式会社
毛髪用糖酸化抑制剤
2か月前
個人
貼付剤
1か月前
個人
簡易担架
15日前
個人
健康器具
9か月前
個人
足踏み器具
22日前
個人
短下肢装具
4か月前
個人
腋臭防止剤
15日前
個人
鼾防止用具
9か月前
個人
白内障治療法
8か月前
個人
嚥下鍛錬装置
4か月前
個人
脈波測定方法
9か月前
個人
排尿補助器具
1か月前
個人
前腕誘導装置
4か月前
個人
洗井間専家。
8か月前
個人
ウォート指圧法
1か月前
個人
胸骨圧迫補助具
2か月前
続きを見る
他の特許を見る