TOP
|
特許
|
意匠
|
商標
特許ウォッチ
Twitter
他の特許を見る
10個以上の画像は省略されています。
公開番号
2025174847
公報種別
公開特許公報(A)
公開日
2025-11-28
出願番号
2025022075
出願日
2025-02-14
発明の名称
ズームレンズおよび撮像装置
出願人
キヤノン株式会社
代理人
個人
,
個人
,
個人
主分類
G02B
15/16 20060101AFI20251120BHJP(光学)
要約
【課題】より良好な光学性能を有するズームレンズを提供する。
【解決手段】ズームレンズは、複数のレンズ群B1~B3を有する。複数のレンズ群のうち少なくとも1つのレンズ群は、波長分散が制御された回折面MOEを有する。回折面のアッベ数ν
0
は、-0.28≦1/ν
0
≦0.00なる条件を満足する。
【選択図】図1
特許請求の範囲
【請求項1】
複数のレンズ群を有し、ズーミングに際して隣り合うレンズ群の間隔が変化するズームレンズであって、
前記複数のレンズ群のうち少なくとも1つのレンズ群は、波長分散が制御された回折面を有し、
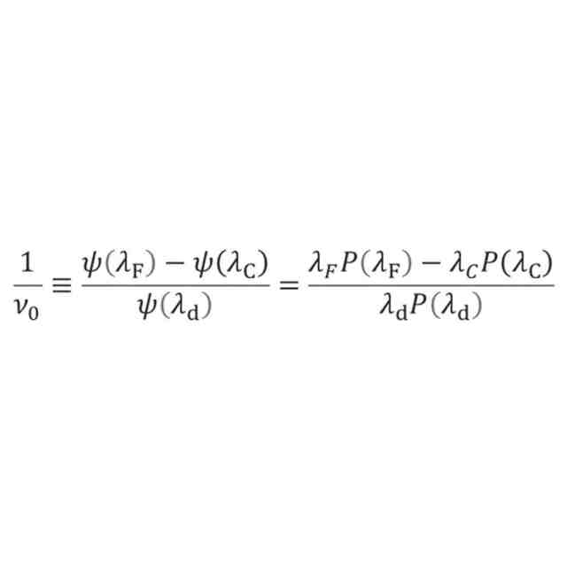
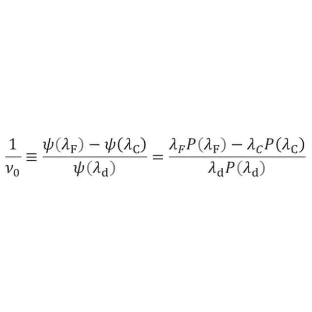
前記回折面のアッベ数をν
0
、基準波長をd線、主分散をF線とC線とし、d線、F線およびC線の波長における光路差関数をそれぞれψ(λ
d
)、ψ(λ
F
)、ψ(λ
C
)、d線、F線およびC線の波長における面の光路差分散をP(λ
d
)、P(λ
F
)、P(λ
C
)とし、
JPEG
2025174847000006.jpg
18
114
であるとき、
-0.28≦1/ν
0
≦0.00
なる条件を満足することを特徴とするズームレンズ。
続きを表示(約 1,200 文字)
【請求項2】
前記回折面を有するレンズ群の焦点距離をfi、前記回折面の焦点距離をfmiとするとき、
0.15≦fi/fmi≦10.00
なる条件を満足することを特徴とする請求項1に記載のズームレンズ。
【請求項3】
前記複数のレンズ群の光軸上の厚みの総和をDsum、前記ズームレンズの無限遠物体に合焦した状態かつ広角端および望遠端での焦点距離をそれぞれfwおよびftとするとき、
0.05≦Dsum/√(fw・ft)≦0.80
なる条件を満足することを特徴とする請求項1に記載のズームレンズ。
【請求項4】
前記複数のレンズ群の光軸上の厚みの総和をDsum、前記ズームレンズの無限遠物体に合焦した状態かつ望遠端での焦点距離をft、前記ズームレンズの無限遠物体に合焦した状態かつ望遠端での半画角をωTとするとき、
0.1≦Dsum/(ft・tanωT)≦2.0
なる条件を満足することを特徴とする請求項1に記載のズームレンズ。
【請求項5】
前記複数のレンズ群のうち物体側から数えてi番目のレンズ群における最も像側のレンズ面の曲率半径をRi2、(i+1)番目のレンズ群における最も物体側のレンズ面の曲率半径をR(i+1)1とするとき、
|(R(i+1)1-Ri2)/(R(i+1)1+Ri2)|≦2.0
なる条件を満足することを特徴とする請求項1に記載のズームレンズ。
【請求項6】
前記複数のレンズ群は、物体側から像側へ順に配置された、負の屈折力の第1レンズ群と、正の屈折力の第2レンズ群とを有し、
前記第1レンズ群の焦点距離をf1、前記第2レンズ群の焦点距離をf2とするとき、
-2.1≦f1/f2≦-1.0
なる条件を満足することを特徴とする請求項1に記載のズームレンズ。
【請求項7】
前記複数のレンズ群は、物体側から像側へ順に配置された、正の屈折力の第1レンズ群と、負の屈折力の第2レンズ群とを有し、
前記第2レンズ群の焦点距離をf2、前記ズームレンズの無限遠物体に合焦した状態かつ望遠端での焦点距離をftとするとき、
-0.80≦f2/ft≦-0.05
なる条件を満足することを特徴とする請求項1に記載のズームレンズ。
【請求項8】
少なくとも1つの屈折面を有することを特徴とする請求項1に記載のズームレンズ。
【請求項9】
前記回折面を有するレンズ群が、2つ以下のレンズにより構成されていることを特徴する請求項1に記載のズームレンズ。
【請求項10】
前記複数のレンズ群がそれぞれ、2つ以下のレンズにより構成されていることを特徴とする請求項1に記載のズームレンズ。
(【請求項11】以降は省略されています)
発明の詳細な説明
【技術分野】
【0001】
本発明は,撮像に適したズームレンズに関する。
続きを表示(約 1,600 文字)
【背景技術】
【0002】
ズームレンズとして、特許文献1には、回折光学素子を使用して色収差を補正したものが開示されている。特許文献2には、材料の相変化を利用して変倍効果を得るメタサーフェスズームレンズが開示されている。特許文献3には、メタサーフェスレンズを光軸に直交する方向に移動させることで変倍効果を得るズームレンズが開示されている。
【先行技術文献】
【特許文献】
【0003】
特開平09-197273号公報
米国特許公開2021/333575号公報
米国特許公開2021/231909号公報
【発明の概要】
【発明が解決しようとする課題】
【0004】
上記のようなズームレンズでは、より良好な光学性能が求められている。
【課題を解決するための手段】
【0005】
本発明の一側面としてのズームレンズは、複数のレンズ群を有し、ズーミングに際して隣り合うレンズ群の間隔が変化する。複数のレンズ群のうち少なくとも1つのレンズ群は、波長分散が制御された回折面を有し、該回折面のアッベ数ν
0
が、
-0.28≦1/ν
0
≦0.00
なる条件を満足することを特徴とする。アッベ数ν
0
については後述する。
【0006】
また本発明の他の一側面としてのズームレンズは、複数のレンズ群を有し、ズーミングに際して隣り合うレンズ群の間隔が変化する。複数のレンズ群のうち少なくとも1つのレンズ群は、波長分散が制御された回折面を有し、複数のレンズ群のうち少なくとも1つのレンズ群は、屈折面を有する。回折面のアッベ数をν
0
が、
1/ν
0
≦0.00
なる条件を満足することを特徴とする。なお、上記ズームレンズを有する撮像装置も、本発明の他の一側面を構成する。
【発明の効果】
【0007】
従来よりも良好な光学性能を有するズームレンズを提供することができる。
【図面の簡単な説明】
【0008】
実施例1のズームレンズの断面図。
実施例1のズームレンズの広角端、中間ズーム位置および望遠端での収差図。
実施例2のズームレンズの断面図。
実施例2のズームレンズの広角端、中間ズーム位置および望遠端での収差図。
実施例3のズームレンズの断面図。
実施例3のズームレンズの広角端、中間ズーム位置および望遠端での収差図。
実施例4のズームレンズの断面図。
実施例4のズームレンズの広角端、中間ズーム位置および望遠端での収差図。
実施例5のズームレンズの断面図。
実施例5のズームレンズの広角端、中間ズーム位置および望遠端での収差図。
実施例1~5のズームレンズを備えた撮像装置を示す図。
【発明を実施するための形態】
【0009】
以下、本発明の実施例について図面を参照しながら説明する。
【0010】
図1、図3、図5、図7および図9はそれそれ、実施例1~5のズームレンズの広角端で構成を示している。Oは光軸を示している。Bi(iは物体側から数えたときの順番)は第iレンズ群、MOEは波長分散が制御された(以下、分散制御されたという)回折面を示している。MOEに付された左側の数字はその回折面が含まれるレンズ群(第iレンズ群)を示し、右側の1はその回折面が回折光学素子(レンズ)の物体側の面であることを、2はその回折面が回折光学素子の像側の面であることを示している。
(【0011】以降は省略されています)
この特許をJ-PlatPat(特許庁公式サイト)で参照する
関連特許
キヤノン株式会社
容器
1か月前
キヤノン株式会社
容器
1か月前
キヤノン株式会社
トナー
22日前
キヤノン株式会社
トナー
1か月前
キヤノン株式会社
撮像装置
17日前
キヤノン株式会社
表示装置
1日前
キヤノン株式会社
表示装置
1日前
キヤノン株式会社
撮像装置
1日前
キヤノン株式会社
電子機器
17日前
キヤノン株式会社
記録装置
15日前
キヤノン株式会社
撮像装置
1か月前
キヤノン株式会社
撮像装置
1日前
キヤノン株式会社
表示装置
1日前
キヤノン株式会社
定着装置
9日前
キヤノン株式会社
撮像装置
23日前
キヤノン株式会社
記録装置
22日前
キヤノン株式会社
定着装置
9日前
キヤノン株式会社
撮像装置
1か月前
キヤノン株式会社
撮像装置
1か月前
キヤノン株式会社
撮像装置
1か月前
キヤノン株式会社
電子機器
22日前
キヤノン株式会社
記録装置
1か月前
キヤノン株式会社
定着装置
15日前
キヤノン株式会社
定着装置
15日前
キヤノン株式会社
撮像装置
3日前
キヤノン株式会社
定着装置
15日前
キヤノン株式会社
測距装置
24日前
キヤノン株式会社
電子機器
22日前
キヤノン株式会社
雲台装置
22日前
キヤノン株式会社
記録装置
22日前
キヤノン株式会社
撮像装置
9日前
キヤノン株式会社
撮像装置
9日前
キヤノン株式会社
現像装置
1か月前
キヤノン株式会社
発光装置
1日前
キヤノン株式会社
表示装置
1か月前
キヤノン株式会社
撮像装置
22日前
続きを見る
他の特許を見る