TOP
|
特許
|
意匠
|
商標
特許ウォッチ
Twitter
他の特許を見る
10個以上の画像は省略されています。
公開番号
2025174431
公報種別
公開特許公報(A)
公開日
2025-11-28
出願番号
2024080811
出願日
2024-05-17
発明の名称
ポリマー電解質及び二次電池
出願人
キヤノン株式会社
代理人
弁理士法人秀和特許事務所
主分類
H01B
1/06 20060101AFI20251120BHJP(基本的電気素子)
要約
【課題】高温下においても機械的強度が高く、高いイオン導電率を有し、かつ、電池負極との界面におけるデンドライトの成長を抑制しうるポリマー電解質。
【解決手段】ポリマー電解質であって、該ポリマー電解質は、特定の末端フリーのポリエーテル構造と、特定のポリエーテルによる架橋構造と、を有するポリマーと、樹脂微粒子及び金属酸化物微粒子からなる群から選択される少なくとも一の微粒子と、アルカリ金属カチオンを含み、該ポリマー電解質のメチルエチルケトン浸漬法による体積膨潤率が、30~120%である。
【選択図】図1
特許請求の範囲
【請求項1】
ポリマー電解質であって、
該ポリマー電解質は、
下記式(1)で示される構造と、
下記式(2)で示される構造及び下記式(3)で示される構造からなる群から選択される少なくとも一の構造と、を有するポリマーと、
樹脂微粒子及び金属酸化物微粒子からなる群から選択される少なくとも一の微粒子と、
アルカリ金属カチオンを含み、
該ポリマー電解質のメチルエチルケトン浸漬法による体積膨潤率が、30~120%である、ことを特徴とするポリマー電解質:
TIFF
2025174431000031.tif
170
153
(式(1)において、R
1
は水素原子又はメチル基を表す。R
2
は炭素数1~6の直鎖又は分岐を有するアルキレン基を表す。R
3
は炭素数1~6のアルキル基を表す。
式(2)において、R
4
はそれぞれ独立して水素原子又はメチル基を表す。R
5
、R
6
はそれぞれ独立して炭素数1~6の直鎖又は分岐を有するアルキレン基を表す。
式(3)において、R
7
はそれぞれ独立して水素原子又はメチル基を表す。R
8
、R
9
、R
10
はそれぞれ独立して炭素数1~6の直鎖又は分岐を有するアルキレン基を表す。R
11
は炭素数1~6の3価の有機基を表す。
式(1)~(3)におけるA1、B1、D1、D2及びD3は各々独立に、少なくとも(-CH
2
CH
2
-O-)で示されるエチレンオキシド構造を有する連結基である。)
続きを表示(約 3,100 文字)
【請求項2】
前記ポリマーが、さらに下記式(4)で示される構造を含む、請求項1に記載のポリマー電解質:
TIFF
2025174431000032.tif
68
153
式(4)において、R
12
は水素原子又はメチル基を表す。R
13
は2価の連結基を表す。R
14
はフッ素原子又は炭素数1~4のパーフルオロアルキル基を表す。
【請求項3】
前記ポリマーが、下記式(5)で示される構造、式(6)で示される構造及び式(7)で示される構造からなる群から選択される少なくとも一の構造を含む、請求項1に記載のポリマー電解質:
TIFF
2025174431000033.tif
242
153
式(5)において、R
15
は水素原子又はメチル基を表す。R
16
は2価の連結基を表す。R
17
は炭素数1~4のアルキル基を表す。R
18
は水素原子又は炭素数1~4のアルキル基を表す。R
16
~R
18
の各々はイミダゾリウム環構造を構成する2つの窒素原子及び3つの炭素原子からなる群から選択される3つの元素に結合している。ただし、R
16
~R
18
のうちの一つは、イミダゾリウム環構造中のカチオン性窒素原子に結合している。X1
-
はアニオンを表す。
式(6)において、R
19
は水素原子又はメチル基を表す。R
20
は2価の連結基を表す。R
21
は水素原子又は炭素数1~4のアルキル基を表す。R
20
及びR
21
のいずれか一方はピリジニウム環構造を構成する窒素原子に結合し、他方はピリジニウム環構造を構成する5つの炭素原子のいずれかに結合している。X2
-
はアニオンを表す。
式(7)において、R
22
は水素原子又はメチル基を表す。R
23
は2価の連結基を表す。R
24
~R
26
は各々独立に水素原子又は炭素数1~8のアルキル基を表す。X3-はアニオンを表す。
【請求項4】
前記ポリマーにおける(メタ)アクリロイル残基1モルに対する前記エチレンオキシド構造の平均付加モル数Meoが2.5モル以上である、請求項1に記載のポリマー電解質。
【請求項5】
前記A1、B1、D1、D2及びD3は各々独立に(-CH
2
CH(CH
3
)-O-)で示されるプロピレンオキシド構造を更に有する、請求項1に記載のポリマー電解質。
【請求項6】
前記ポリマーにおいて、(メタ)アクリロイル残基1モルに対する前記プロピレンオキシド構造の平均付加モル数Mpoが、(メタ)アクリロイル残基1モルに対する前記エチレンオキシド構造の平均付加モル数Meoの5~25%である、請求項5に記載のポリマー電解質。
【請求項7】
前記ポリマー電解質に含まれる前記ポリマーにおける前記式(1)で示される構造の質量基準の含有率をAとし、前記式(2)で示される構造及び前記式(3)で示される構造の質量基準の合計の含有率をBとしたとき、質量比A:Bが、70:30~98:2である、請求項1に記載のポリマー電解質。
【請求項8】
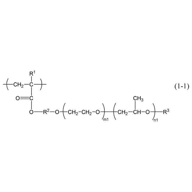
前記式(1)で示される構造が、下記式(1-1)で示される構造であり、
前記式(2)で示される構造が、下記式(2-1)で示される構造であり、
前記式(3)で示される構造が、下記式(3-1)で示される構造である、
請求項1に記載のポリマー電解質:
TIFF
2025174431000034.tif
42
153
(式(1-1)において、R
1
は水素原子又はメチル基を表す。R
2
は炭素数1~6の直鎖又は分岐を有するアルキレン基を表す。R
3
は炭素数1~6のアルキル基を表す。m1及びn1は、平均付加モル数であり、m1は1以上の整数を、n1は0以上の整数を表す。(-CH
2
-CH
2
-O-)で表されるエチレンオキシド構造及び(-CH
2
-CH(CH
3
)-O-)で表されるプロピレンオキシド構造の配列は、ブロック共重合でもよいし、ランダム共重合でもよい。)
TIFF
2025174431000035.tif
42
153
(式(2-1)において、R
4
はそれぞれ独立して水素原子又はメチル基を表す。R
5
、R
6
はそれぞれ独立して炭素数1~6の直鎖又は分岐を有するアルキレン基を表す。
m2及びn2は、平均付加モル数であり、m2は1以上の整数を、n2は0以上の整数を表す。(-CH
2
-CH
2
-O-)で表されるエチレンオキシド構造及び(-CH
2
-CH(CH
3
)-O-)で表されるプロピレンオキシド構造の配列は、ブロック共重合でもよいし、ランダム共重合でもよい。2つの-COO-で挟まれる鎖はさらに炭素数1~6のジオール構造を含んでいてもよい。)
TIFF
2025174431000036.tif
64
153
(式(3-1)において、R
7
はそれぞれ独立して水素原子又はメチル基を表す。R
8
、R
9
、R
10
はそれぞれ独立して炭素数1~6の直鎖又は分岐を有するアルキレン基を表す。R
11
は炭素数1~6の3価の有機基を表す。m3及びn3は、平均付加モル数であり、m3はそれぞれ独立して1以上の整数を、n3はそれぞれ独立して0以上の整数を表す。(-CH
2
-CH
2
-O-)で表されるエチレンオキシド構造及び(-CH
2
-CH(CH
3
)-O-)で表されるプロピレンオキシド構造の配列は、ブロック共重合でもよいし、ランダム共重合でもよい。-COO-とR
11
とで挟まれる鎖はさらに炭素数1~6のジオール構造を含んでいてもよい。)。
【請求項9】
前記ポリマー電解質において、前記式(1-1)におけるm1+n1が、14~58であり、
前記式(2-1)におけるm2+n2及び/又は式(3-1)におけるm3+n3が、14~58である請求項8に記載のポリマー電解質。
【請求項10】
前記ポリマー電解質において、
前記式(1-1)におけるm1:n1が、80:20~95:5であり、
前記式(2-1)におけるm2:n2及び/又は前記式(3)におけるm3:n3が、80:20~95:5である請求項9に記載のポリマー電解質。
(【請求項11】以降は省略されています)
発明の詳細な説明
【技術分野】
【0001】
本開示は、ポリマー電解質及び二次電池に関する。
続きを表示(約 2,600 文字)
【背景技術】
【0002】
近年、気候変動問題が顕著化し、世界各国でカーボンニュートラル実現に向けた取り組みが進んでいる。カーボンニュートラルの実現に向け、電気の利用がより着目されつつあり、その電源としての二次電池の需要が拡大している。
一般に二次電池は、正極及び負極などの電極並びに電解質で構成され、電極間で電解質を介したイオンの移動が生じることで充電や放電を行う。このような二次電池は、スマートフォンなどの小型機器から、電気自動車等の大型機器まで幅広い用途で利用されている。そのため、高い安全性と、性能のさらなる向上が求められている。
【0003】
現在、二次電池の電解質は、主に有機電解液が用いられているが、電解液に使用される有機溶媒は可燃性であることが多く、漏洩した場合の安全性の問題があり、電解質を固体化した固体電解質が注目されている。固体電解質としては、酸化物系、硫化物系、ポリマー系の材料が広く検討されている。
二次電池の充放電特性を高めるためには、一般的に電極中の活物質と電解質との界面を大きくすることが重要である。ここで、活物質とは、電気を生じさせる反応に関与する物質のことである。
【0004】
この中で硫化物系、酸化物系の固体電解質はイオン導電率に優れる反面、活物質との界面を大きくすることが難しく、また耐衝撃性が十分でない場合があるため、電解液とポリマーを組み合わせたゲル電解質や、ポリマーと支持電解質を組み合わせたドライポリマー系電解質を用いることが提案されている。
特許文献1には、非プロトン性有機溶媒を含有するゲル電解質が記載されている。
また、特許文献2には、第4級アンモニウム塩基を主鎖に組み込むことで電解液との親和性を向上させたゲル電解質が記載されている。さらに特許文献3には、ポリアミンに無機酸化物を加えることで、組成物の成分保持性を向上させたドライポリマー系電解質が記載されている。
【先行技術文献】
【特許文献】
【0005】
特開2013-097993号公報
国際公開第2004/027789号
特開2019-021538号公報
【発明の概要】
【発明が解決しようとする課題】
【0006】
近年、二次電池には、高い安全性に加え、より高い放電特性、より長いサイクル寿命が求められている。二次電池は、充放電を繰り返すことで、電解質と金属負極界面においてデンドライト(樹状突起)が成長する場合がある。デンドライトの成長によって、短絡のリスクが高まり、さらに場合によっては電池を構成する基材や梱包材を破損する恐れがある。
本発明者らは、特許文献1及び特許文献2のようなポリマーゲルを用いた場合、充放電を繰り返すことでデンドライトが成長し、短絡のリスクが生じる場合があることを認識した。また、高温で強度が低下し、衝撃により短絡のリスクが生じる場合がある。
また、特許文献3のようなドライポリマーを用いた場合、充放電による短絡のリスクは
低いが、イオン伝導率が低下しやすく、二次電池の出力低下が顕著になる場合がある。
【0007】
本開示の少なくとも一つの態様は、高温下においても機械的強度が高く、高いイオン導電率を有し、かつ、電池負極との界面におけるデンドライトの成長を抑制しうるポリマー電解質に向けたものである。また、本開示の少なくとも一つの態様は、安全性が高く、優れた電池性能を有する二次電池の提供に向けたものである。
【課題を解決するための手段】
【0008】
本開示の少なくとも一つの態様によれば、ポリマー電解質であって、
該ポリマー電解質は、
下記式(1)で示される構造と、
下記式(2)で示される構造及び下記式(3)で示される構造からなる群から選択される少なくとも一の構造と、を有するポリマーと、
樹脂微粒子及び金属酸化物微粒子からなる群から選択される少なくとも一の微粒子と、
アルカリ金属カチオンを含み、
該ポリマー電解質のメチルエチルケトン浸漬法による体積膨潤率が、30~120%である、ポリマー電解質が提供される。
TIFF
2025174431000002.tif
170
153
式(1)において、R
1
は水素原子又はメチル基を表す。R
2
は炭素数1~6の直鎖又は分岐を有するアルキレン基を表す。R
3
は炭素数1~6のアルキル基を表す。
式(2)において、R
4
はそれぞれ独立して水素原子又はメチル基を表す。R
5
、R
6
はそれぞれ独立して炭素数1~6の直鎖又は分岐を有するアルキレン基を表す。
式(3)において、R
7
はそれぞれ独立して水素原子又はメチル基を表す。R
8
、R
9
、R
10
はそれぞれ独立して炭素数1~6の直鎖又は分岐を有するアルキレン基を表す。R
11
は炭素数1~6の3価の有機基を表す。
式(1)~(3)におけるA1、B1、D1、D2及びD3は各々独立に、少なくとも(-CH
2
CH
2
-O-)で示されるエチレンオキシド構造を有する連結基である。
【0009】
また、本開示の少なくとも一態様によれば、正極、バルク電解質及び負極を具備する二次電池であって、
該バルク電解質が、上記ポリマー電解質を含有する、二次電池が提供される。
【発明の効果】
【0010】
本開示の少なくとも一態様によれば、高温下においても機械的強度が高く、高いイオン
導電率を有し、かつ、電池負極との界面におけるデンドライトの成長を抑制しうるポリマー電解質が提供できる。また本開示の他の態様によれば、安全性が高く、優れた電池性能を有する二次電池が提供できる。
【図面の簡単な説明】
(【0011】以降は省略されています)
特許ウォッチbot のツイートを見る
この特許をJ-PlatPat(特許庁公式サイト)で参照する
関連特許
キヤノン株式会社
容器
1か月前
キヤノン株式会社
容器
1か月前
キヤノン株式会社
トナー
1か月前
キヤノン株式会社
トナー
22日前
キヤノン株式会社
測距装置
1か月前
キヤノン株式会社
現像装置
1か月前
キヤノン株式会社
表示装置
1日前
キヤノン株式会社
表示装置
1日前
キヤノン株式会社
撮像装置
1日前
キヤノン株式会社
撮像装置
9日前
キヤノン株式会社
定着装置
15日前
キヤノン株式会社
撮像装置
1か月前
キヤノン株式会社
撮像装置
1か月前
キヤノン株式会社
撮像装置
1か月前
キヤノン株式会社
現像容器
1か月前
キヤノン株式会社
撮像装置
23日前
キヤノン株式会社
撮像装置
9日前
キヤノン株式会社
現像容器
1か月前
キヤノン株式会社
現像装置
1か月前
キヤノン株式会社
記録装置
15日前
キヤノン株式会社
撮像装置
3日前
キヤノン株式会社
撮像装置
1日前
キヤノン株式会社
表示装置
1日前
キヤノン株式会社
定着装置
9日前
キヤノン株式会社
表示装置
1か月前
キヤノン株式会社
定着装置
15日前
キヤノン株式会社
撮像装置
1か月前
キヤノン株式会社
測距装置
24日前
キヤノン株式会社
記録装置
1か月前
キヤノン株式会社
現像装置
1か月前
キヤノン株式会社
撮像装置
22日前
キヤノン株式会社
撮像装置
17日前
キヤノン株式会社
電子機器
17日前
キヤノン株式会社
発光装置
1日前
キヤノン株式会社
記録装置
22日前
キヤノン株式会社
定着装置
1か月前
続きを見る
他の特許を見る