TOP
|
特許
|
意匠
|
商標
特許ウォッチ
Twitter
他の特許を見る
10個以上の画像は省略されています。
公開番号
2025174271
公報種別
公開特許公報(A)
公開日
2025-11-28
出願番号
2024080437
出願日
2024-05-16
発明の名称
直流電力供給システムおよび直流電力制御方法
出願人
富士電機株式会社
代理人
個人
,
個人
主分類
H02M
3/00 20060101AFI20251120BHJP(電力の発電,変換,配電)
要約
【課題】複数の電源部の入力および出力の少なくとも一方をドループ特性により制御する場合に、ドループ特性における特性値を適切に設定することが可能な直流電力供給システムおよび直流電力制御方法を提供する。
【解決手段】この直流電力供給システム100は、蓄電部21および22と、電力変換部31および32と、所定の特性値を用いて直流電力の出力と電圧との関係を表すドループ特性に基づいて、電力変換部31および32の各々により出力される直流電力を制御する制御部60と、を備えている。制御部60は、直流母線10側における電圧測定値に基づいて、電圧測定値が所定の範囲に含まれるように電力変換部31および32の少なくとも1つにおけるドループ特性の特性値を調整するように構成されている。
【選択図】図2
特許請求の範囲
【請求項1】
直流電力が印加される共通の直流母線に対して電力を供給することと、共通の前記直流母線から電力が供給されることとの少なくとも一方を行う複数の電源部と、
前記複数の電源部の各々ごとに設けられ、前記複数の電源部の各々と前記直流母線との間において、入力された電力を変換するとともに、変換された電力を出力する複数の電力変換部と、
所定の特性値を用いて直流電力の出力と電圧との関係を表すドループ特性に基づいて、前記複数の電力変換部の各々により出力される電力を制御する制御部と、を備え、
前記制御部は、前記直流母線側における電圧測定値に基づいて、前記電圧測定値が所定の範囲に含まれるように前記複数の電力変換部の少なくとも1つにおけるドループ特性の前記特性値を調整するように構成されている、直流電力供給システム。
続きを表示(約 2,000 文字)
【請求項2】
前記制御部は、前記複数の電源部の各々におけるエネルギー充填状態を示すエネルギー充填量と、前記電圧測定値とに基づいて、前記複数の電力変換部の少なくとも1つにおけるドループ特性の前記特性値を調整するように構成されている、請求項1に記載の直流電力供給システム。
【請求項3】
前記特性値は、ドループ特性において直流電力の出力と電圧との関係を表す特性係数を含み、
前記制御部は、
前記エネルギー充填量に基づいて前記特性係数を調整するための係数調整量を取得するとともに、前記電圧測定値に基づいて前記電圧測定値が前記所定の範囲に含まれるように前記係数調整量を調整する調整指数を取得し、
取得された前記係数調整量と前記調整指数とに基づいて、前記複数の電力変換部の少なくとも1つにおけるドループ特性の前記特性係数を調整するように構成されている、請求項2に記載の直流電力供給システム。
【請求項4】
前記制御部は、
前記複数の電源部における前記エネルギー充填量の平均である平均エネルギー充填量と、前記複数の電源部のうちの一の前記電源部における前記エネルギー充填量との差分に基づいて前記係数調整量を取得するとともに、
前記電圧測定値が前記所定の範囲に含まれるように予め設定された設定電圧範囲に対する前記電圧測定値の割合に基づいて前記調整指数を取得する、請求項3に記載の直流電力供給システム。
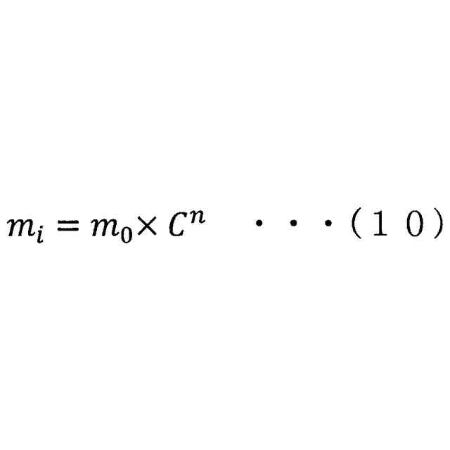
【請求項5】
前記制御部は、予め設定された前記特性係数の基準値をm
0
とし、前記係数調整量をCとし、前記調整指数をnとして、下記の式(1)によって前記特性係数m
i
を算出する、請求項4に記載の直流電力供給システム。
TIFF
2025174271000016.tif
9
141
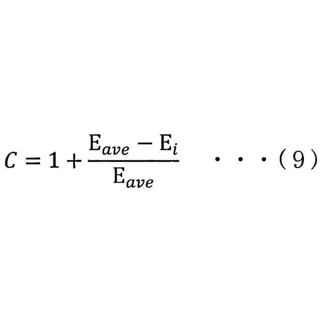
なお、前記平均エネルギー充填量をE
ave
とし、前記複数の電源部のうちの一の前記電源部における前記エネルギー充填量をE
i
として、前記係数調整量Cは、下記の式(2)により算出される。
TIFF
2025174271000017.tif
14
155
【請求項6】
前記制御部は、予め設定された基準指数をn
0
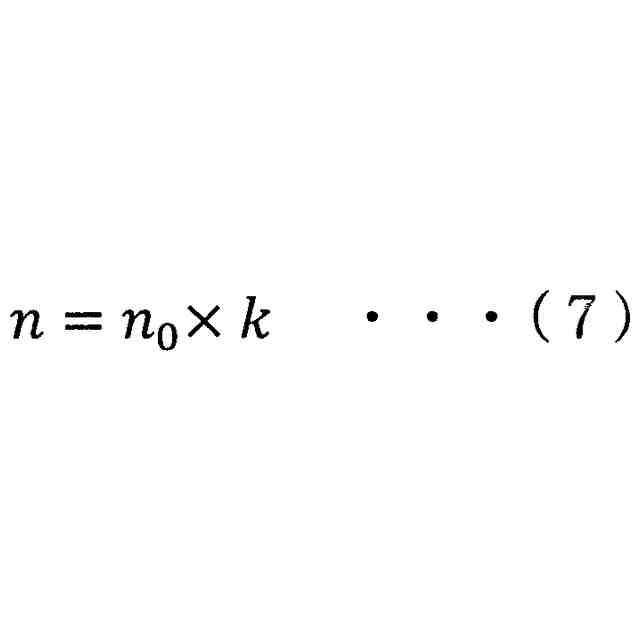
とし、0以上1以下の値により前記設定電圧範囲に対する前記電圧測定値の割合に基づいて取得される調整項をkとして、下記の式(3)により前記調整指数nを算出する、請求項5に記載の直流電力供給システム。
TIFF
2025174271000018.tif
8
146
【請求項7】
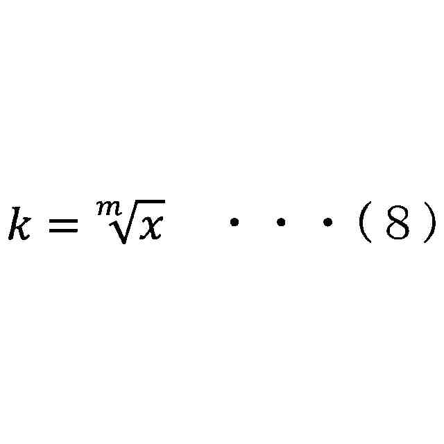
前記制御部は、1より大きい実数をmとし、前記設定電圧範囲に対する前記電圧測定値の割合を示す値をxとして、下記の式(4)により調整項kを算出する、請求項6に記載の直流電力供給システム。
TIFF
2025174271000019.tif
9
138
【請求項8】
前記制御部は、前記複数の電力変換部の各々ごとに、共通の演算式を用いて前記エネルギー充填量と前記電圧測定値とに基づいてドループ特性の前記特性値を調整するように構成されている、請求項2に記載の直流電力供給システム。
【請求項9】
前記複数の電源部は、直流電力の充放電を行う複数の蓄電部を含み、
前記制御部は、
前記複数の蓄電部から出力された直流電力を前記電力変換部により変換する制御を行う場合に、前記電圧測定値が前記所定の範囲に含まれるように予め設定された下限電圧値と、前記電圧測定値とに基づいて前記特性値を調整し、
前記複数の蓄電部に入力される直流電力を前記電力変換部により変換する制御を行う場合に、前記電圧測定値が前記所定の範囲に含まれるように予め設定された上限電圧値と、前記電圧測定値とに基づいて前記特性値を調整する、請求項1に記載の直流電力供給システム。
【請求項10】
前記制御部は、
前記複数の電源部から出力された電力を前記電力変換部により変換する制御を行う場合に、前記複数の電力変換部の各々の前記直流母線側における前記電圧測定値のうちの最小値に基づいて、前記特性値を調整し、
前記複数の電源部に入力される電力を前記電力変換部により変換する制御を行う場合に、前記複数の電力変換部の各々の前記直流母線側における前記電圧測定値のうちの最大値に基づいて、前記特性値を調整する、請求項1に記載の直流電力供給システム。
(【請求項11】以降は省略されています)
発明の詳細な説明
【技術分野】
【0001】
この発明は、直流電力供給システムおよび直流電力制御方法に関する。
続きを表示(約 2,100 文字)
【背景技術】
【0002】
従来、直流電力供給システムが知られている(たとえば、特許文献1および非特許文献1参照)。
【0003】
上記特許文献1には、直流母線に接続された2つのバッテリを備える直流電力供給システムが記載されている。2つのバッテリと直流母線との各々の間には、電圧の昇降圧を行う変換装置が2つのバッテリごとに1つずつ接続されている。この変換装置は、出力電流の増加に応じて出力電圧を減少させるドループ特性に基づいて電圧の昇降圧を行う。また、上記特許文献1に記載の直流電力供給システムでは、2つのバッテリのうちのバッテリ残量の少ない方の電力負担割合を小さくするようにドループ特性を変更する制御が行われる。
【0004】
また、上記非特許文献1には、直流バスに接続された2つのバッテリに対する入出力をドループ制御により制御するバッテリ蓄電システムが記載されている。このバッテリ蓄電システムでは、2つのバッテリ間におけるSOC(State Of Charge:充電率)の平衡化のために、ドループ制御において出力電圧を設定するためのドループ係数が、2つのバッテリごとのSOCの値と、2つのSOCの平均値との差分に基づいて設定される。上記非特許文献1のバッテリ蓄電システムでは、SOCに基づいてドループ特性のドループ係数が設定されることにより、SOCが高いバッテリがより多くの電力を供給し、SOCが低いバッテリはより少ない電力を供給して、バッテリ同士におけるSOCが平衡化される。
【先行技術文献】
【特許文献】
【0005】
特許第7233825号公報
【非特許文献】
【0006】
Jianmin Wang、「SoC-Based Dynamic Droop Control for Battery Energy Storage Systems in DC Microgrids Feeding CPLs」、Journal of Physics: Conference Series、2021、vol.1754
【発明の概要】
【発明が解決しようとする課題】
【0007】
ここで、上記特許文献1に記載の直流電力供給システム、および、上記非特許文献1に記載のバッテリ蓄電システムのように、ドループ特性におけるドループ係数などの特性値を変更する場合には、特性値の変更度合いが大きいことに起因して、直流母線における電圧が所定の範囲から逸脱する場合がある。そこで、複数のバッテリ(電源部)の入力および出力の少なくとも一方をドループ特性により制御する場合に、ドループ特性における特性値を適切に設定することが望まれている。
【0008】
この発明は、上記のような課題を解決するためになされたものであり、この発明の1つの目的は、複数の電源部の入力および出力の少なくとも一方をドループ特性により制御する場合に、ドループ特性における特性値を適切に設定することが可能な直流電力供給システムおよび直流電力制御方法を提供することである。
【課題を解決するための手段】
【0009】
上記目的を達成するために、この発明の第1の局面による直流電力供給システムは、直流電力が印加される共通の直流母線に対して電力を供給することと、共通の直流母線から電力が供給されることとの少なくとも一方を行う複数の電源部と、複数の電源部の各々ごとに設けられ、複数の電源部の各々と直流母線との間において、入力された電力を変換するとともに、変換された電力を出力する複数の電力変換部と、所定の特性値を用いて直流電力の出力と電圧との関係を表すドループ特性に基づいて、複数の電力変換部の各々により出力される電力を制御する制御部と、を備え、制御部は、直流母線側における電圧測定値に基づいて、電圧測定値が所定の範囲に含まれるように複数の電力変換部の少なくとも1つにおけるドループ特性の特性値を調整するように構成されている。
【0010】
この発明の第1の局面による直流電力供給システムでは、上記のように、制御部は、直流母線側における電圧測定値に基づいて、電圧測定値が所定の範囲に含まれるように複数の電力変換部の少なくとも1つにおけるドループ特性の特性値を調整するように構成されている。これにより、直流母線側における電圧測定値に基づいて電圧測定値が所定の範囲に含まれるようにドループ特性の特性値が調整されるため、直流母線における電圧が所定の範囲から逸脱することを抑制できる。そのため、直流母線における電圧が所定の範囲に含まれる状態を保ったまま、ドループ特性の特性値を適切な値に変更することができる。その結果、複数の電源部の入力および出力の少なくとも一方をドループ特性により制御する場合に、ドループ特性における特性値を適切に設定することができる。
(【0011】以降は省略されています)
この特許をJ-PlatPat(特許庁公式サイト)で参照する
関連特許
富士電機株式会社
集積回路
1日前
富士電機株式会社
駆動回路
1か月前
富士電機株式会社
冷却装置
1日前
富士電機株式会社
パネル構造
1日前
富士電機株式会社
電磁接触器
9日前
富士電機株式会社
自動販売機
1か月前
富士電機株式会社
半導体装置
2日前
富士電機株式会社
自動販売機
2日前
富士電機株式会社
半導体装置
15日前
富士電機株式会社
パネル構造
1日前
富士電機株式会社
半導体装置
1か月前
富士電機株式会社
学習システム
1か月前
富士電機株式会社
自動販売装置
1か月前
富士電機株式会社
ショーケース
1か月前
富士電機株式会社
飲料抽出装置
1か月前
富士電機株式会社
商品収納装置
1か月前
富士電機株式会社
硬貨処理装置
1か月前
富士電機株式会社
金銭処理装置
1か月前
富士電機株式会社
硬貨処理装置
1か月前
富士電機株式会社
飲料供給装置
1日前
富士電機株式会社
半導体モジュール
1か月前
富士電機株式会社
半導体モジュール
1か月前
富士電機株式会社
半導体モジュール
25日前
富士電機株式会社
ガス処理システム
1か月前
富士電機株式会社
制御装置、制御方法
1か月前
富士電機株式会社
集積回路、電源回路
1か月前
富士電機株式会社
自動販売機システム
1日前
富士電機株式会社
自動販売機システム
2日前
富士電機株式会社
半導体装置の製造方法
1か月前
富士電機株式会社
店舗情報設定システム
1か月前
富士電機株式会社
セーフリスト管理方法
1か月前
富士電機株式会社
制御回路および電源装置
25日前
富士電機株式会社
半導体装置及びその製造方法
9日前
富士電機株式会社
換気システムおよび冷却装置
23日前
富士電機株式会社
制御回路および電力供給回路
1か月前
富士電機株式会社
冷却器及び半導体モジュール
1か月前
続きを見る
他の特許を見る