TOP
|
特許
|
意匠
|
商標
特許ウォッチ
Twitter
他の特許を見る
10個以上の画像は省略されています。
公開番号
2025174122
公報種別
公開特許公報(A)
公開日
2025-11-28
出願番号
2024080205
出願日
2024-05-16
発明の名称
基板の製造方法及び処理装置
出願人
株式会社ディスコ
代理人
個人
,
個人
,
個人
,
個人
,
個人
,
個人
主分類
H01L
21/304 20060101AFI20251120BHJP(基本的電気素子)
要約
【課題】インゴット等の被加工物から複数の基板を製造する際の生産性及びスループットを向上させる。
【解決手段】基板の製造方法は、被加工物を分離することによって第一基板と第一薄化被加工物とを製造する分離ステップと、第一基板の第一剥離面側における第一変質層の残存量がしきい値以下になったと判定した時点における第一基板の厚さを第一狙い深さから減算することによって算出される基板側フィードバック量と、予め設定されている狙い厚さと、を参照して、第二狙い深さを設定する設定ステップを備える。
【選択図】図2
特許請求の範囲
【請求項1】
第一面と該第一面の反対側に位置する第二面とを含み、かつ、該第一面に含まれる第一基準点と該第一基準点の反対側に位置する該第二面上の第二基準点との間隔である初期厚さが予め把握されている被加工物から複数の基板を製造する基板の製造方法であって、
該被加工物の素材を透過する波長のレーザービームを該第一面側から該被加工物に照射した状態で該レーザービームが集束される集光点が該第一基準点から第一狙い深さに位置する点を通るように該被加工物と該集光点とを相対的に移動させることで該被加工物の内部に形成される第一変質層を分離起点として該被加工物を分離することによって、該第一面と該第一面の反対側に位置する第一剥離面とを含み、かつ、該第一変質層の一部が該第一剥離面側に残存する第一基板と、該第二面と該第二面の反対側に位置する第一被剥離面とを含み、かつ、該第一変質層の残部が該第一被剥離面側に残存する第一薄化被加工物と、を製造する第一分離ステップと、
該第一分離ステップの後に、該第一剥離面側に残存する該第一変質層を除去するように該第一基板を加工する加工ステップと、
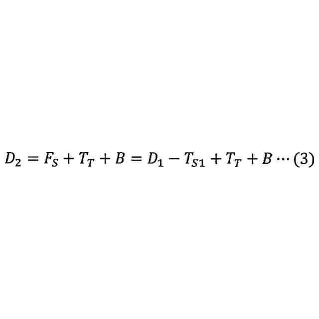
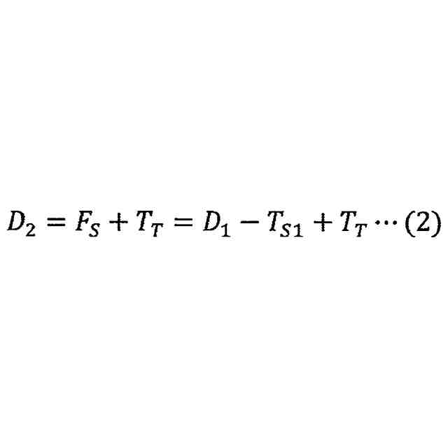
該加工ステップの後に、該第一剥離面側における該第一変質層の残存量がしきい値以下になったと判定した時点における該第一基準点と該第一基準点の反対側に位置する該第一剥離面上の第三基準点との間隔を測定することによって得られる厚さを該第一狙い深さから減算することによって算出される基板側フィードバック量と、該第一基準点と該第三基準点との間隔として予め設定されている狙い厚さと、を参照して、第二狙い深さを設定する設定ステップと、
該設定ステップの後に、該レーザービームを該第一被剥離面側から該第一薄化被加工物に照射した状態で該集光点が該第一薄化被加工物の該第二基準点の反対側に位置する該第一被剥離面上の第四基準点から該第二狙い深さに位置する点を通るように該第一薄化被加工物と該集光点とを相対的に移動させることで該第一薄化被加工物の内部に形成される第二変質層を分離起点として該第一薄化被加工物を分離することによって、該第一被剥離面と該第一被剥離面の反対側に位置する第二剥離面とを含み、かつ、該第二変質層の一部が該第二剥離面側に残存する第二基板と、該第二面と該第二面の反対側に位置する第二被剥離面とを含み、かつ、該第二変質層の残部が該第二被剥離面側に残存する第二薄化被加工物と、を製造する第二分離ステップと、
を備える、基板の製造方法。
続きを表示(約 2,100 文字)
【請求項2】
該加工ステップは、該第一剥離面側における該第一変質層の残存量が該しきい値以下になったと判定するまで該第一基板の該第一剥離面側を研削する研削ステップを含む、請求項1に記載の基板の製造方法。
【請求項3】
該研削ステップにおいては、該第一基板の該第一剥離面側の研削と並行して、又は、それを中断して該第一剥離面を撮像することによって形成される画像に基づいて該第一剥離面側における該第一変質層の残存量が特定される、請求項2に記載の基板の製造方法。
【請求項4】
該加工ステップは、該研削ステップの後に、該第一基板を所定の仕上げ研削量だけ薄化するように該第一基板の該第一剥離面側を仕上げ研削する仕上げ研削ステップをさらに含む、請求項2又は3に記載の基板の製造方法。
【請求項5】
該加工ステップは、該仕上げ研削ステップの後に、該第一基板を所定の研磨量だけ薄化するように該第一基板の該第一剥離面側を研磨する研磨ステップをさらに含む、請求項4に記載の基板の製造方法。
【請求項6】
第一面と該第一面の反対側に位置する第二面とを含み、かつ、該第一面に含まれる第一基準点と該第一基準点の反対側に位置する該第二面上の第二基準点との間隔である初期厚さが予め把握されている被加工物から複数の基板を製造する基板の製造方法であって、
該被加工物の素材を透過する波長のレーザービームを該第一面側から該被加工物に照射した状態で該レーザービームが集束される集光点が該第一基準点から第一狙い深さに位置する点を通るように該被加工物と該集光点とを相対的に移動させることで該被加工物の内部に形成される第一変質層を分離起点として該被加工物を分離することによって、該第一面と該第一面の反対側に位置する第一剥離面とを含み、かつ、該第一変質層の一部が該第一剥離面側に残存する第一基板と、該第二面と該第二面の反対側に位置する第一被剥離面とを含み、かつ、該第一変質層の残部が該第一被剥離面側に残存する第一薄化被加工物と、を製造する第一分離ステップと、
該第一分離ステップの後に、該第一被剥離面側に残存する該第一変質層を除去するように該第一薄化被加工物を加工する加工ステップと、
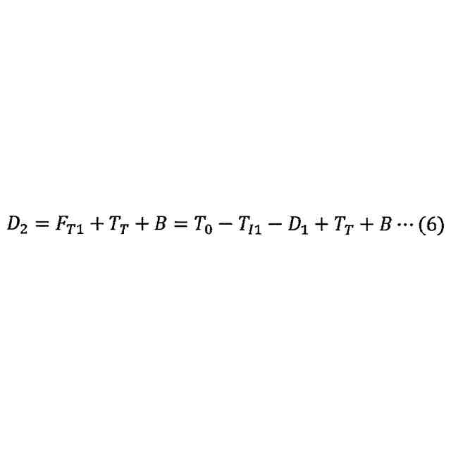
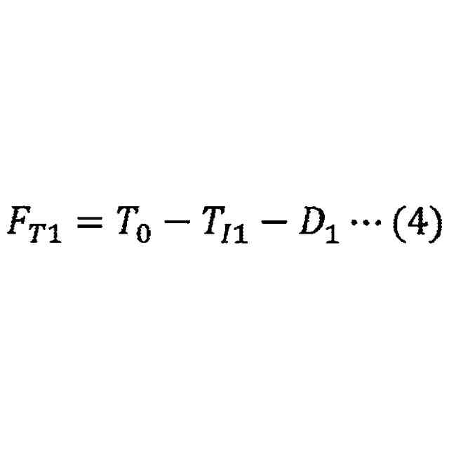
該加工ステップの後に、該第一被剥離面側における該第一変質層の残存量がしきい値以下になったと判定した時点における該第二基準点と該第二基準点の反対側に位置する該第一被剥離面上の第四基準点との間隔を測定することによって得られる厚さと該第一狙い深さとを該初期厚さから減算することによって算出される薄化被加工物側フィードバック量と、該第一剥離面側における該第一変質層の残存量が該しきい値以下になったと判定した時点における該第一基準点と該第一基準点の反対側に位置する該第一剥離面上の第三基準点との間隔として予め設定されている狙い厚さと、を参照して、第二狙い深さを設定する設定ステップと、
該設定ステップの後に、該レーザービームを該第一被剥離面側から該第一薄化被加工物に照射した状態で該集光点が該第一薄化被加工物の該第四基準点から該第二狙い深さに位置する点を通るように該第一薄化被加工物と該集光点とを相対的に移動させることで該第一薄化被加工物の内部に形成される第二変質層を分離起点として該第一薄化被加工物を分離することによって、該第一被剥離面と該第一被剥離面の反対側に位置する第二剥離面とを含み、かつ、該第二変質層の一部が該第二剥離面側に残存する第二基板と、該第二面と該第二面の反対側に位置する第二被剥離面とを含み、かつ、該第二変質層の残部が該第二被剥離面側に残存する第二薄化被加工物と、を製造する第二分離ステップと、
を備える、基板の製造方法。
【請求項7】
該加工ステップは、該第一被剥離面側における該第一変質層の残存量が該しきい値以下になったと判定するまで該第一薄化被加工物の該第一被剥離面側を研削する研削ステップを含む、請求項6に記載の基板の製造方法。
【請求項8】
該研削ステップにおいては、該第一薄化被加工物の該第一被剥離面側の研削と並行して、又は、それを中断して該第一被剥離面を撮像することによって形成される画像に基づいて該第一被剥離面側における該第一変質層の残存量が特定される、請求項7に記載の基板の製造方法。
【請求項9】
該加工ステップは、該研削ステップの後に、該第一薄化被加工物を所定の仕上げ研削量だけ薄化するように該第一薄化被加工物の該第一被剥離面側を仕上げ研削する仕上げ研削ステップをさらに含む、請求項7又は8に記載の基板の製造方法。
【請求項10】
該加工ステップは、該仕上げ研削ステップの後に、該第一薄化被加工物を所定の研磨量だけ薄化するように該第一薄化被加工物の該第一被剥離面側を研磨する研磨ステップをさらに含む、請求項9に記載の基板の製造方法。
(【請求項11】以降は省略されています)
発明の詳細な説明
【技術分野】
【0001】
本発明は、第一面と第一面の反対側に位置する第二面とを含み、かつ、第一面に含まれる第一基準点と第一基準点の反対側に位置する第二面上の第二基準点との間隔である初期厚さが予め把握されている被加工物から複数の基板を製造する基板の製造方法と、この被加工物から当該複数の基板を製造するための処理装置と、に関する。
続きを表示(約 1,500 文字)
【背景技術】
【0002】
半導体デバイスのチップは、一般的に、シリコン(Si)、炭化シリコン(SiC)又は窒化ガリウム(GaN)等の単結晶を素材とする基板を利用して製造される。この基板は、例えば、ワイヤソーを使用して、第一面と第一面の反対側に位置する第二面とを含むインゴットから切り出されることによって製造される。
【0003】
ただし、インゴットからワイヤソーを使用して基板を切り出す際の切り代は、300μm前後であり、比較的大きい。また、このように切り出された基板の表面には微細な凹凸が形成され、また、この基板は全体的に湾曲する(基板に反りが生じる)。そのため、この基板を利用してチップを製造する際には、基板の表面にラッピング、エッチング及び/又はポリッシングを施して表面を平坦化する必要がある。
【0004】
この場合、最終的にチップの製造に供される基板として利用される量は、インゴットの総量の2/3程度である。すなわち、インゴットの総量の1/3程度は、インゴットからの基板の切り出し及び基板の表面の平坦化の際に廃棄される。そのため、このようにワイヤソーを使用して基板を製造する場合には生産性が低くなる。
【0005】
この点に鑑み、インゴットの素材を透過する波長のレーザービームを利用してインゴットから基板を製造する基板の製造方法が提案されている(例えば、特許文献1参照)。具体的には、この方法においては、まず、このレーザービームが集束される集光点が第一面から狙い深さに位置付けられるようにレーザービームをインゴットに照射した状態でインゴットと集光点とを相対的に移動させる。
【0006】
これにより、インゴットの内部において、その素材の結晶構造が乱れた層(変質層)が形成されるとともに、この変質層を起点としてクラックが伸展する。そして、この方法においては、インゴットが分離されるまでクラックをさらに伸展させるようにインゴットに外力を付与する。その結果、第一面と第一面の反対側に位置する剥離面とを含む基板と、第二面と第二面の反対側に位置する被剥離面とを含む薄化インゴットと、が製造される。
【0007】
なお、このように基板及び薄化インゴットが製造される場合、基板の剥離面側に変質層の一部が残存し、かつ、薄化インゴットの被剥離面側に変質層の残部が残存する。また、基板の剥離面及び薄化インゴットの被剥離面のそれぞれは、インゴットの内部において伸展したクラックの分布を反映した凹凸形状を有することが多い。
【0008】
そのため、この場合には、剥離面側に残存する変質層を除去するとともに平坦化するように基板の剥離面側を加工(例えば、研削)し、かつ、被剥離面側に残存する変質層を除去するとともに平坦化するように薄化インゴットの被剥離面側を加工することが多い。さらに、この方法を繰り返すことによってインゴット(具体的には、この方法が繰り返される度に徐々に薄化されるインゴット)から複数の基板を製造することができる。
【先行技術文献】
【特許文献】
【0009】
特開2016-111143号公報
【発明の概要】
【発明が解決しようとする課題】
【0010】
上述した方法において第一面から狙い深さに集光点を位置付けるようにインゴットにレーザービームを照射しても、このインゴットに含まれる不純物の多寡等に依存して、集光点の第一面からの実際の深さが狙い深さからずれることがある。同様に、インゴットの内部に形成される変質層の厚さも不純物の多寡等に依存して変化することがある。
(【0011】以降は省略されています)
この特許をJ-PlatPat(特許庁公式サイト)で参照する
関連特許
株式会社ディスコ
焼成炉
1か月前
株式会社ディスコ
加工装置
1か月前
株式会社ディスコ
掃除器具
9日前
株式会社ディスコ
加工装置
9日前
株式会社ディスコ
加工装置
10日前
株式会社ディスコ
加工装置
22日前
株式会社ディスコ
処理装置
1日前
株式会社ディスコ
加工装置
1か月前
株式会社ディスコ
切削装置
1か月前
株式会社ディスコ
研削装置
1か月前
株式会社ディスコ
処理方法
9日前
株式会社ディスコ
処理装置
1か月前
株式会社ディスコ
加工装置
1か月前
株式会社ディスコ
加工方法
1か月前
株式会社ディスコ
加工装置
1か月前
株式会社ディスコ
加工装置
1か月前
株式会社ディスコ
加工装置
1か月前
株式会社ディスコ
切削装置
1か月前
株式会社ディスコ
加工装置
1か月前
株式会社ディスコ
掃除器具
9日前
株式会社ディスコ
加工装置
25日前
株式会社ディスコ
切削装置
1日前
株式会社ディスコ
加工装置
2日前
株式会社ディスコ
切削装置
3日前
株式会社ディスコ
研削装置
2日前
株式会社ディスコ
搬送システム
9日前
株式会社ディスコ
搬送システム
9日前
株式会社ディスコ
搬送システム
1日前
株式会社ディスコ
搬送システム
1か月前
株式会社ディスコ
搬送システム
1か月前
株式会社ディスコ
搬送システム
2日前
株式会社ディスコ
搬送システム
1か月前
株式会社ディスコ
搬送システム
9日前
株式会社ディスコ
シート固着装置
24日前
株式会社ディスコ
保護部材形成装置
1か月前
株式会社ディスコ
液状樹脂供給装置
1か月前
続きを見る
他の特許を見る