TOP
|
特許
|
意匠
|
商標
特許ウォッチ
Twitter
他の特許を見る
10個以上の画像は省略されています。
公開番号
2025173532
公報種別
公開特許公報(A)
公開日
2025-11-28
出願番号
2024079077
出願日
2024-05-15
発明の名称
量子化学計算プログラム、量子化学計算方法、および情報処理装置
出願人
富士通株式会社
代理人
弁理士法人扶桑国際特許事務所
主分類
G06N
10/60 20220101AFI20251120BHJP(計算;計数)
要約
【課題】VQEの計算の効率化を図る。
【解決手段】情報処理装置10は、第3の式における係数の値の更新処理と多電子系の基底状態の探査処理とを繰り返す。第3の式は、多電子系の物理量を計算する第1の式に、多電子系内の電子数に関する第2の式に係数を乗算した項を追加した式である。探索処理は多電子系の量子状態に応じた第3の式の期待値が低下するように多電子系の量子状態を変化させることにより多電子系の基底状態を探索する変分量子固有値ソルバー法での探索処理である。情報処理装置10は、k+1回目の探索処理では、1回目からk回目までのいずれかの探索処理における多電子系の終状態を、k+1回目の探索処理における多電子系の初期状態として、初期状態から、第3の式の期待値が低下するように多電子系の量子状態を変化させる。
【選択図】図1
特許請求の範囲
【請求項1】
多電子系の物理量を計算する第1の式に、前記多電子系内の電子数に関する第2の式に係数を乗算した項を追加した第3の式における前記係数の値の更新処理と、前記多電子系の量子状態に応じた前記第3の式の期待値が低下するように前記多電子系の前記量子状態を変化させることにより前記多電子系の基底状態を探索する変分量子固有値ソルバー法での探索処理とを交互に繰り返し、
k+1回目(kは自然数)の前記探索処理では、1回目からk回目までのいずれかの前記探索処理における前記多電子系の終状態を、k+1回目の前記探索処理における前記多電子系の初期状態として、前記初期状態から、前記第3の式の期待値が低下するように前記多電子系の量子状態を変化させる、
量子化学計算プログラム。
続きを表示(約 1,100 文字)
【請求項2】
k+1回目の前記探索処理では、k回目の前記探索処理における前記多電子系の終状態を、k+1回目の前記探索処理における前記多電子系の前記初期状態とする、
請求項1記載の量子化学計算プログラム。
【請求項3】
k+1回目の前記探索処理では、1回目からk回目までの前記探索処理で使用した前記第3の式の前記係数の値それぞれと、k+1回目の前記探索処理で使用する前記第3の式の前記係数の値との差に基づいて一の値を選択し、選択した前記一の値を前記係数の値とする前記第3の式を使用して実行された前記探索処理における前記多電子系の終状態を、k+1回目の前記探索処理における前記多電子系の前記初期状態とする、
請求項1記載の量子化学計算プログラム。
【請求項4】
前記探索処理では、前記多電子系内の電子数の変動を許容して前記多電子系の量子状態を変化させ、前記多電子系の終状態における前記多電子系内の電子数が所定の要件を満たしたときの前記多電子系の終状態を、前記多電子系の基底状態と判定する、
請求項1記載の量子化学計算プログラム。
【請求項5】
多電子系の物理量を計算する第1の式に、前記多電子系内の電子数に関する第2の式に係数を乗算した項を追加した第3の式における前記係数の値の更新処理と、前記多電子系の量子状態に応じた前記第3の式の期待値が低下するように前記多電子系の前記量子状態を変化させることにより前記多電子系の基底状態を探索する変分量子固有値ソルバー法での探索処理とを交互に繰り返し、
k+1回目(kは自然数)の前記探索処理では、1回目からk回目までのいずれかの前記探索処理における前記多電子系の終状態を、k+1回目の前記探索処理における前記多電子系の初期状態として、前記初期状態から、前記第3の式の期待値が低下するように前記多電子系の量子状態を変化させる、
量子化学計算方法。
【請求項6】
多電子系の物理量を計算する第1の式に、前記多電子系内の電子数に関する第2の式に係数を乗算した項を追加した第3の式における前記係数の値の更新処理と、前記多電子系の量子状態に応じた前記第3の式の期待値が低下するように前記多電子系の前記量子状態を変化させることにより前記多電子系の基底状態を探索する変分量子固有値ソルバー法での探索処理とを交互に繰り返し、k+1回目(kは自然数)の前記探索処理では、1回目からk回目までのいずれかの前記探索処理における前記多電子系の終状態を、k+1回目の前記探索処理における前記多電子系の初期状態として、前記初期状態から、前記第3の式の期待値が低下するように前記多電子系の量子状態を変化させる処理部、
を有する情報処理装置。
発明の詳細な説明
【技術分野】
【0001】
本発明は、量子化学計算プログラム、量子化学計算方法、および情報処理装置に関する。
続きを表示(約 1,800 文字)
【背景技術】
【0002】
量子コンピュータを使用した量子化学計算の1つに変分量子固有値ソルバー法(VQE:Variational Quantum Eigensolver)と呼ばれる計算手法がある。VQEは、量子力学の多電子系における物理量の固有値(例えばエネルギーの最小固有値)および固有状態を計算する手法である。VQEでは、例えば以下の手順で、分子の基底状態のエネルギー期待値(エネルギーの最小固有値)が計算される。
1.古典コンピュータからの制御により、量子コンピュータ内に量子力学の多電子系における試行状態「|ψ(θ)>」を生成する(θは実数のパラメータ)。
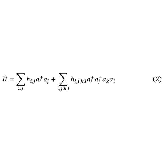
2.量子コンピュータが試行状態のエネルギーの期待値「<ψ(θ)|H|ψ(θ)>」を計算する(Hはハミルトニアン)。
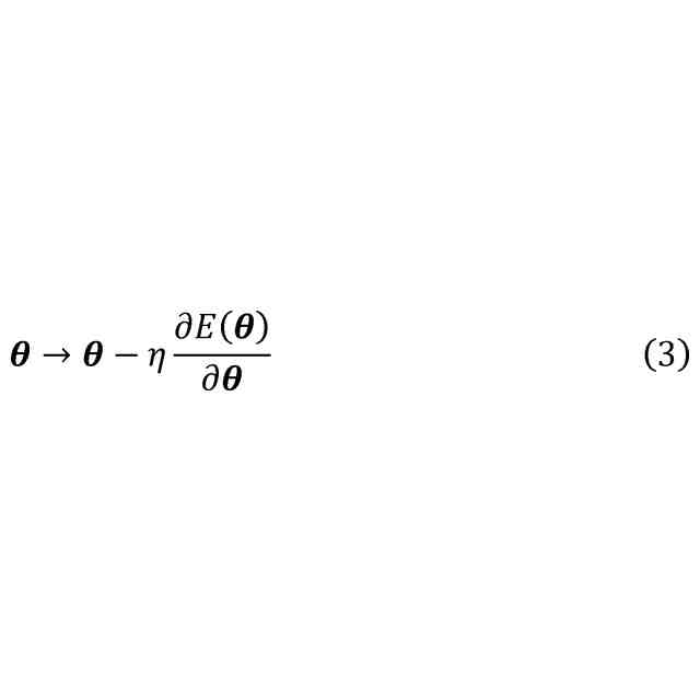
3.古典コンピュータは、エネルギーの期待値の計算結果をもとに、その期待値「<ψ(θ)|H|ψ(θ)>」を小さくするようにパラメータθの値を更新する。
【0003】
古典コンピュータと量子コンピュータとの連係動作により、エネルギーの期待値「<ψ(θ)|H|ψ(θ)>」の値が収束するまで上記の処理が繰り返される。これにより、近似的なエネルギー最小値およびその状態が求まる。
【0004】
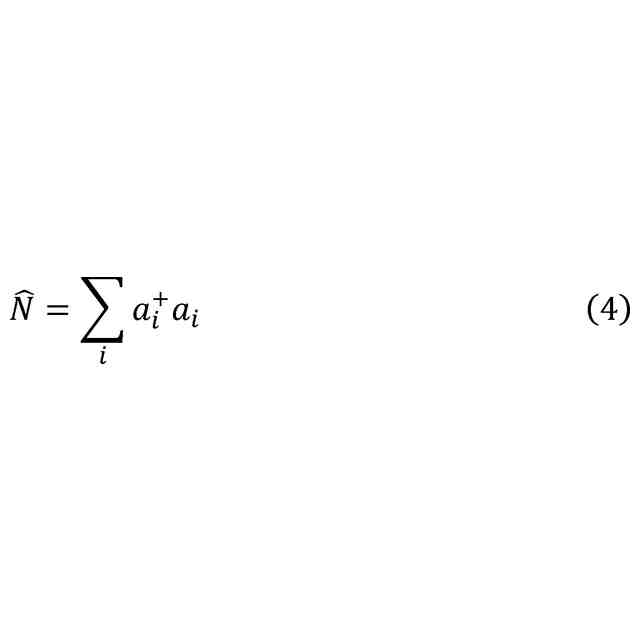
試行状態「|ψ(θ)>」の関数形は、量子コンピュータでの計算効率がよいものが選択される。選択される関数形によっては、想定している条件から外れた状態(例えば電子数が正しくない状態)が得られてしまう場合がある。その場合は、例えばエネルギーを得る演算子(ハミルトニアンH)にペナルティ項を追加した式「H(μ):=H+μC」(μは係数、CはHの状態における電子数)を用い、H(μ)の期待値を最小化する状態を求めるVQEの計算が行われる。
【0005】
量子コンピュータにおけるペナルティ項を用いた計算としては、例えば離散二次モデルの解を求めるためのハイブリッドアルゴリズムが提案されている。量子近似最適化におけるコスト関数の変形方法も提案されている。量子コンピュータ上の混合二元最適化問題における不等式制約を処理するためのシステムを改善し、システムの性能を大幅に向上させる技術も提案されている。さらに、量子の強化された特徴生成の最適化を容易にするシステムも提案されている。
【先行技術文献】
【特許文献】
【0006】
特表2023-507139号公報
特表2021-504805号公報
米国特許出願公開第2021/0216897号明細書
米国特許出願公開第2023/0143072号明細書
【発明の概要】
【発明が解決しようとする課題】
【0007】
ペナルティ項を含む関数によるVQEの計算では、ペナルティ項の係数の値を更新しながらVQE計算が繰り返し実行されこととなる。そのため、VQE計算を繰り返し実行することにより、エネルギー基底値が求まるまでの計算時間が増大してしまう。
【0008】
1つの側面では、本発明は、VQEの計算の効率化を図ることを目的とする。
【課題を解決するための手段】
【0009】
1つの案では、以下の量子化学計算プログラムが提供される。
コンピュータは、多電子系の物理量を計算する第1の式に、多電子系内の電子数に関する第2の式に係数を乗算した項を追加した第3の式における係数の値の更新処理と、多電子系の量子状態に応じた第3の式の期待値が低下するように多電子系の量子状態を変化させることにより多電子系の基底状態を探索する変分量子固有値ソルバー法での探索処理とを交互に繰り返する。そしてコンピュータは、k+1回目(kは自然数)の探索処理では、1回目からk回目までのいずれかの探索処理における多電子系の終状態を、k+1回目の探索処理における多電子系の初期状態として、初期状態から、第3の式の期待値が低下するように多電子系の量子状態を変化させる。
【発明の効果】
【0010】
1態様によれば、VQEの計算の効率化を図ることができる。
【図面の簡単な説明】
(【0011】以降は省略されています)
この特許をJ-PlatPat(特許庁公式サイト)で参照する
関連特許
富士通株式会社
画像処理モデル
1か月前
富士通株式会社
半導体デバイス
1か月前
富士通株式会社
ダウンサンプリング
3日前
富士通株式会社
ポイントクラウド分類
1か月前
富士通株式会社
OLT及びPONシステム
23日前
富士通株式会社
電子機器筐体及び電子機器
1か月前
富士通株式会社
光受信装置及び光受信方法
3日前
富士通株式会社
光送信器及び光トランシーバ
1か月前
富士通株式会社
プログラム及びデータ処理装置
17日前
富士通株式会社
演算処理装置及び情報処理装置
1か月前
富士通株式会社
情報処理装置及び情報処理方法
9日前
富士通株式会社
テキスト案内される画像エディタ
1か月前
富士通株式会社
情報処理装置および情報処理方法
3日前
富士通株式会社
波長変換装置および波長変換方法
1か月前
富士通株式会社
メモリ管理装置及びメモリ管理方法
1か月前
富士通株式会社
書き込みアシスト回路及びSRAM
1日前
富士通株式会社
ラックマウント装置及びラック装置
1か月前
富士通株式会社
不正検知プログラム、方法、及び装置
9日前
富士通株式会社
受光デバイス及び受光デバイスの製造方法
22日前
富士通株式会社
通知プログラム、通知方法および通知装置
22日前
富士通株式会社
コンパイルプログラムおよびコンパイル方法
17日前
富士通株式会社
検出プログラム、検出方法および情報処理装置
1か月前
富士通株式会社
生成プログラム、生成方法および情報処理装置
1か月前
富士通株式会社
探索プログラム、探索方法、および情報処理装置
1か月前
富士通株式会社
キャッシュ装置およびキャッシュ装置の制御方法
1か月前
富士通株式会社
ターゲット追跡のための方法、装置及び記憶媒体
1か月前
富士通株式会社
半導体装置、半導体装置の製造方法及び電子装置
1か月前
富士通株式会社
出張情報受付方法および出張情報受付プログラム
1か月前
富士通株式会社
プログラム、データ処理装置及びデータ処理方法
1か月前
富士通株式会社
生成プログラム、生成方法、および情報処理装置
1日前
富士通株式会社
半導体装置、半導体装置の製造方法及び電子装置
15日前
富士通株式会社
プログラム、情報処理方法およびクラスタシステム
1日前
富士通株式会社
量子計算制御プログラム、および量子計算制御方法
1日前
富士通株式会社
並列コンピューティング・カテゴリー分けプロセス
1か月前
富士通株式会社
プログラム、データ処理方法およびデータ処理装置
1か月前
富士通株式会社
データ処理装置、データ処理方法およびプログラム
1か月前
続きを見る
他の特許を見る