TOP
|
特許
|
意匠
|
商標
特許ウォッチ
Twitter
他の特許を見る
10個以上の画像は省略されています。
公開番号
2025173094
公報種別
公開特許公報(A)
公開日
2025-11-27
出願番号
2024078472
出願日
2024-05-14
発明の名称
血糖値測定装置及び血糖値測定方法
出願人
浜松ホトニクス株式会社
代理人
個人
,
個人
,
個人
主分類
A61B
5/1455 20060101AFI20251119BHJP(医学または獣医学;衛生学)
要約
【課題】生体の血糖値を精度よく測定することが可能な血糖値測定装置及び血糖値測定方法を提供する。
【解決手段】血糖値測定装置1は、生体6に対して測定光Lを出力する光出力部3と、生体6を透過した測定光Lを検出する光検出部4と、光検出部4の検出結果に基づいて生体6の血液の酸素化ヘモグロビン濃度に関する酸素化ヘモグロビン波形と生体6の血液の脱酸素化ヘモグロビン濃度に関する脱酸素化ヘモグロビン波形との時間的位相差を算出する時間的位相差算出部と、時間的位相差に基づいて生体6の血糖値を算出する血糖値算出部と、酸素化ヘモグロビン波形と脱酸素化ヘモグロビン波形との波形類似度を推定する類似度推定部と、血糖値の信頼度を推定する信頼度推定部と、を備えている。信頼度推定部は、波形類似度が小さいほど血糖値の信頼度が小さいと推定する。
【選択図】図1
特許請求の範囲
【請求項1】
生体の血糖値を測定する血糖値測定装置であって、
前記生体に対して光を出力する光出力部と、
前記光出力部で出力されて前記生体を透過した前記光を検出する光検出部と、
前記光検出部の検出結果に基づいて前記生体の血液の酸素化ヘモグロビン濃度に関する酸素化ヘモグロビン波形と前記生体の血液の脱酸素化ヘモグロビン濃度に関する脱酸素化ヘモグロビン波形との時間的位相差を算出する時間的位相差算出部と、
前記時間的位相差算出部によって算出された前記時間的位相差に基づいて前記生体の前記血糖値を算出する血糖値算出部と、
前記酸素化ヘモグロビン波形と前記脱酸素化ヘモグロビン波形との波形類似度を推定する類似度推定部と、
前記血糖値算出部によって算出された前記血糖値の信頼度を推定する信頼度推定部と、を備え、
前記信頼度推定部は、前記波形類似度が小さいほど前記信頼度が小さいと推定する、血糖値測定装置。
続きを表示(約 1,500 文字)
【請求項2】
前記類似度推定部は、前記酸素化ヘモグロビン波形を前記酸素化ヘモグロビン波形のピーク値で除算した酸素化ヘモグロビン規格化波形及び前記脱酸素化ヘモグロビン波形を前記脱酸素化ヘモグロビン波形のピーク値で除算した脱酸素化ヘモグロビン規格化波形に基づいて、前記波形類似度を推定する、請求項1に記載の血糖値測定装置。
【請求項3】
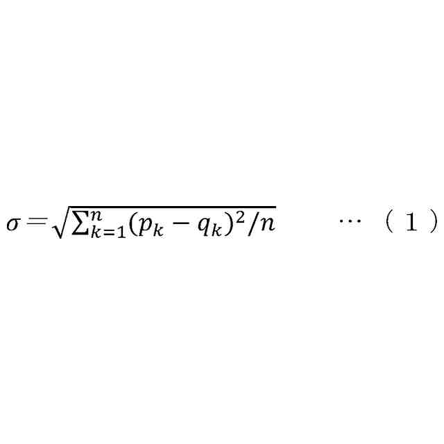
前記類似度推定部は、下式(1)に基づいて算出された標準偏差が大きいほど、前記波形類似度が小さいと推定する、請求項2に記載の血糖値測定装置。
TIFF
2025173094000012.tif
7
149
但し、σ:前記標準偏差、n:サンプル数(2以上の整数)、pk:第k時刻における前記酸素化ヘモグロビン規格化波形の値、qk:第k時刻における前記脱酸素化ヘモグロビン規格化波形の値。
【請求項4】
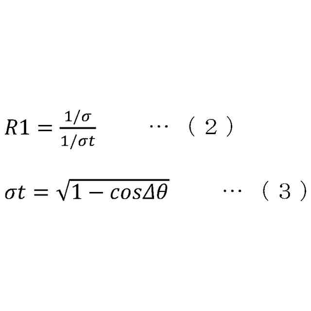
前記類似度推定部は、下式(2)及び(3)に基づいて算出された第1相対品質指標が1に近いほど、前記波形類似度が大きいと推定する、請求項3に記載の血糖値測定装置。
TIFF
2025173094000013.tif
18
149
但し、R1:前記第1相対品質指標、σ:前記標準偏差、σt:前記標準偏差の理論限界値、Δθ:前記時間的位相差。
【請求項5】
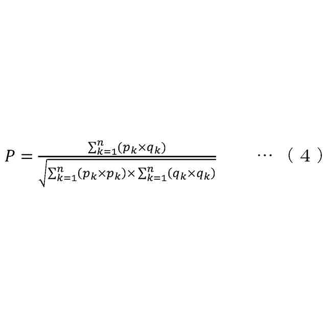
前記類似度推定部は、下式(4)に基づいて算出された標準内積が1に近いほど、前記波形類似度が大きいと推定する、請求項2に記載の血糖値測定装置。
TIFF
2025173094000014.tif
12
149
但し、P:前記標準内積、n:サンプル数(2以上の整数)、pk:第k時刻における前記酸素化ヘモグロビン規格化波形の値、qk:第k時刻における前記脱酸素化ヘモグロビン規格化波形の値。
【請求項6】
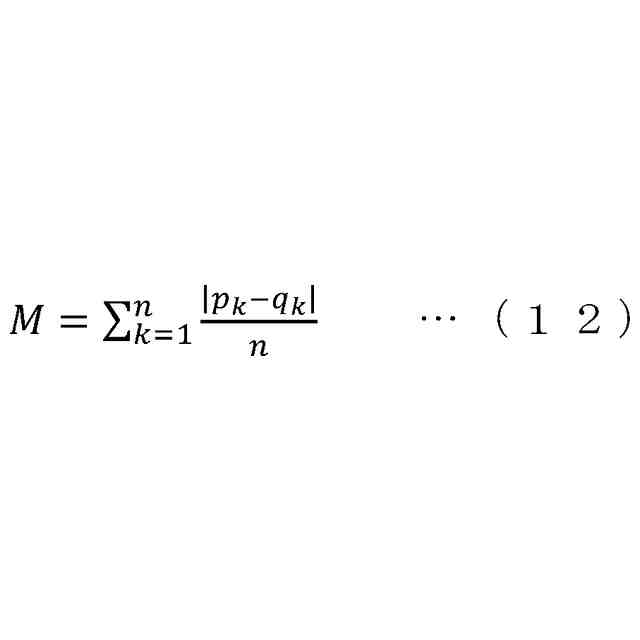
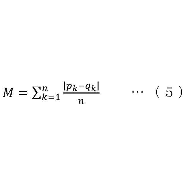
前記類似度推定部は、下式(5)に基づいて算出された絶対平均誤差が大きいほど、前記波形類似度が小さいと推定する、請求項2に記載の血糖値測定装置。
TIFF
2025173094000015.tif
8
149
但し、M:前記絶対平均誤差、n:サンプル数(2以上の整数)、pk:第k時刻における前記酸素化ヘモグロビン規格化波形の値、qk:第k時刻における前記脱酸素化ヘモグロビン規格化波形の値。
【請求項7】
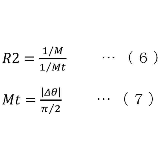
前記類似度推定部は、下式(6)及び(7)に基づいて算出された第2相対品質指標が1に近いほど、前記波形類似度が大きいと推定する、請求項6に記載の血糖値測定装置。
TIFF
2025173094000016.tif
19
149
但し、R2:前記第2相対品質指標、M:前記絶対平均誤差、Mt:前記絶対平均誤差の理論限界値、Δθ:前記時間的位相差。
【請求項8】
前記類似度推定部は、前記酸素化ヘモグロビン規格化波形及び前記脱酸素化ヘモグロビン規格化波形の画像認識結果に基づいて、前記波形類似度を推定する、請求項2に記載の血糖値測定装置。
【請求項9】
前記類似度推定部は、前記酸素化ヘモグロビン規格化波形のうちのボトム点からピーク点までの領域及び前記脱酸素化ヘモグロビン規格化波形のうちのボトム点からピーク点までの領域に基づいて、前記波形類似度を推定する、請求項2に記載の血糖値測定装置。
【請求項10】
前記波形類似度が所定の閾値よりも小さい場合、再測定報知を実行する報知部を更に備える、請求項1に記載の血糖値測定装置。
(【請求項11】以降は省略されています)
発明の詳細な説明
【技術分野】
【0001】
本発明は、血糖値測定装置及び血糖値測定方法に関する。
続きを表示(約 1,700 文字)
【背景技術】
【0002】
生体の血糖値を測定する技術として、例えば特許文献1に記載された装置が知られている。特許文献1に記載の装置は、生体を透過した光の検出結果に基づいて生体の血液の酸素化ヘモグロビン濃度に関する酸素化ヘモグロビン波形と生体の血液の脱酸素化ヘモグロビン濃度に関する脱酸素化ヘモグロビン波形との時間的位相差を算出し、当該時間的位相差に基づいて生体の血糖値を算出している。
【先行技術文献】
【特許文献】
【0003】
特開2018-57511号公報
【発明の概要】
【発明が解決しようとする課題】
【0004】
上述したような技術によれば、生体の血糖値を非侵襲的に且つ精度よく測定することができる。しかし、このような技術では、血糖値の測定精度の更なる向上が求められる場合がある。
【0005】
本発明は、生体の血糖値を精度よく測定することが可能な血糖値測定装置及び血糖値測定方法の提供を目的とする。
【課題を解決するための手段】
【0006】
本発明の血糖値測定装置は、[1]「生体の血糖値を測定する血糖値測定装置であって、前記生体に対して光を出力する光出力部と、前記光出力部で出力されて前記生体を透過した前記光を検出する光検出部と、前記光検出部の検出結果に基づいて前記生体の血液の酸素化ヘモグロビン濃度に関する酸素化ヘモグロビン波形と前記生体の血液の脱酸素化ヘモグロビン濃度に関する脱酸素化ヘモグロビン波形との時間的位相差を算出する時間的位相差算出部と、前記時間的位相差算出部によって算出された前記時間的位相差に基づいて前記生体の前記血糖値を算出する血糖値算出部と、前記酸素化ヘモグロビン波形と前記脱酸素化ヘモグロビン波形との波形類似度を推定する類似度推定部と、前記血糖値算出部によって算出された前記血糖値の信頼度を推定する信頼度推定部と、を備え、前記信頼度推定部は、前記波形類似度が小さいほど前記信頼度が小さいと推定する、血糖値測定装置。」である。
【0007】
上記[1]に記載された血糖値測定装置では、血糖値算出部は、生体の血液の酸素化ヘモグロビン濃度に関する酸素化ヘモグロビン波形と生体の血液の脱酸素化ヘモグロビン濃度に関する脱酸素化ヘモグロビン波形との時間的位相差に基づいて、生体の血糖値を算出する。これにより、生体の血糖値を好適に測定することができる。しかも、類似度推定部は、酸素化ヘモグロビン波形と脱酸素化ヘモグロビン波形との波形類似度を推定し、信頼度推定部は、当該波形類似度が小さいほど、血糖値算出部によって算出された血糖値の信頼度が小さいと推定する。これにより、信頼度が推定された血糖値を算出することが可能となる。よって、この血糖値測定装置によれば、生体の血糖値を精度よく測定することが可能となる。
【0008】
本発明の血糖値測定装置は、[2]「前記類似度推定部は、前記酸素化ヘモグロビン波形を前記酸素化ヘモグロビン波形のピーク値で除算した酸素化ヘモグロビン規格化波形及び前記脱酸素化ヘモグロビン波形を前記脱酸素化ヘモグロビン波形のピーク値で除算した脱酸素化ヘモグロビン規格化波形に基づいて、前記波形類似度を推定する、上記[1]に記載の血糖値測定装置。」であってもよい。これにより、波形類似度を精度よく推定することができる。
【0009】
本発明の血糖値測定装置は、[3]「前記類似度推定部は、下式(1)に基づいて算出された標準偏差が大きいほど、前記波形類似度が小さいと推定する、上記[2]に記載の血糖値測定装置。」であってもよい。これにより、波形類似度を精度よく推定することができる。
【0010】
TIFF
2025173094000002.tif
7
149
但し、σ:前記標準偏差、n:サンプル数(2以上の整数)、pk:第k時刻における前記酸素化ヘモグロビン規格化波形の値、qk:第k時刻における前記脱酸素化ヘモグロビン規格化波形の値。
(【0011】以降は省略されています)
この特許をJ-PlatPat(特許庁公式サイト)で参照する
関連特許
個人
貼付剤
1か月前
個人
簡易担架
25日前
個人
短下肢装具
4か月前
個人
腋臭防止剤
25日前
個人
足踏み器具
1か月前
個人
排尿補助器具
1か月前
個人
前腕誘導装置
4か月前
個人
嚥下鍛錬装置
5か月前
個人
矯正椅子
6か月前
個人
水分吸収性物品
4日前
個人
胸骨圧迫補助具
3か月前
個人
ウォート指圧法
1か月前
個人
歯の修復用材料
5か月前
個人
腰ベルト
1か月前
個人
バッグ式オムツ
5か月前
個人
テスト肺
6日前
個人
アイマスク装置
3か月前
個人
汚れ防止シート
2か月前
個人
介護移乗アシスト
4日前
個人
陣痛緩和具
5か月前
個人
排尿排便補助器具
27日前
個人
美容セット
1か月前
個人
哺乳瓶冷まし容器
4か月前
個人
湿布連続貼り機。
3か月前
個人
歯の保護用シール
6か月前
株式会社コーセー
化粧料
1か月前
個人
性行為補助具
4か月前
株式会社八光
剥離吸引管
6か月前
個人
エア誘導コルセット
3か月前
個人
治療用酸化防御装置
2か月前
株式会社大野
骨壷
5か月前
株式会社ニデック
眼科装置
5か月前
株式会社ダリヤ
毛髪化粧料
4日前
個人
高気圧環境装置
6か月前
株式会社ニデック
検眼装置
5か月前
株式会社松風
口腔用組成物
5か月前
続きを見る
他の特許を見る