TOP
|
特許
|
意匠
|
商標
特許ウォッチ
Twitter
他の特許を見る
10個以上の画像は省略されています。
公開番号
2025172853
公報種別
公開特許公報(A)
公開日
2025-11-26
出願番号
2025141380,2021200855
出願日
2025-08-27,2021-12-10
発明の名称
無線統合処理装置および無線通信システム
出願人
株式会社東芝
代理人
弁理士法人鈴榮特許綜合事務所
主分類
H04B
7/022 20170101AFI20251118BHJP(電気通信技術)
要約
【課題】 同期外れへの耐性を高め、ビット誤りを抑圧することの可能な無線統合処理装置を提供すること。
【解決手段】 実施形態によれば、無線統合処理装置は、受信部と、シンボル回転補正部と、合成処理部とを具備する。受信部は、デジタル変調された共通の無線信号をそれぞれ受信復調して生成された復調データと無線信号の通信品質データとを含む通信信号を伝送する複数の無線受信装置から通信信号を受信して、当該通信信号から復調データと通信品質データとを抽出する。シンボル回転補正部は、抽出された復調データのシンボル回転を抽出された通信品質データに基づいて補正して、補正後データを生成する。合成処理部は、抽出された通信品質データに基づいて補正後データをダイバーシチ受信して統合復調データを生成する。
【選択図】図1
特許請求の範囲
【請求項1】
デジタル変調された共通の無線信号をそれぞれ受信復調して生成された復調データと前記無線信号の通信品質データとを含む通信信号を伝送する複数の無線受信装置から前記通信信号を受信して、当該通信信号から前記復調データと前記通信品質データとを抽出する受信部と、
前記抽出された復調データのシンボル回転を前記抽出された通信品質データに基づいて補正して補正後データを生成するシンボル回転補正部と、
前記抽出された通信品質データに基づいて前記補正後データをダイバーシチ受信して統合復調データを生成する合成処理部とを具備する、無線統合処理装置。
続きを表示(約 730 文字)
【請求項2】
前記無線受信装置から伝送される復調データは、硬判定結果である、請求項1に記載の無線統合処理装置。
【請求項3】
前記無線受信装置から伝送される復調データと通信品質データは、軟判定結果である、請求項1に記載の無線統合処理装置。
【請求項4】
前記無線受信装置から伝送される復調データは、非線形関数で変換されて伝送され、 前記受信部は、前記非線形関数で変換されて伝送された復調データを、当該関数の逆関数で変換する、請求項3に記載の無線統合処理装置。
【請求項5】
デジタル変調された共通の無線信号をそれぞれ受信する複数の無線受信装置と、当該複数の無線受信装置から伝送された通信信号をネットワーク経由で受信する無線統合処理装置とを具備し、
前記無線受信装置の各々は、
前記無線信号を受信復調して復調データを生成する復調部と、
前記無線信号の通信品質を推定して通信品質データを生成する通信品質推定部と、
前記復調データと前記無線信号の通信品質データとを含む通信信号を前記ネットワーク経由で前記無線統合処理装置に伝送する伝送部とを備え、
前記無線統合処理装置は、
前記通信信号を受信して当該通信信号から前記復調データと前記通信品質データとを抽出する受信部と、
前記抽出された復調データのシンボル回転を前記抽出された通信品質データに基づいて補正して補正後データを生成するシンボル回転補正部と、
前記抽出された通信品質データに基づいて前記補正後データをダイバーシチ受信して統合復調データを生成する合成処理部とを備える、無線通信システム。
発明の詳細な説明
【技術分野】
【0001】
本発明の実施形態は、無線統合処理装置および無線通信システムに関する。
続きを表示(約 2,600 文字)
【背景技術】
【0002】
複数の無線受信装置で無線通信信号を受信し、得られた受信信号を無線統合処理装置に集約して復調データを生成する無線システムが検討されている。例えば、同じ無線端末から送信された無線信号を複数の基地局で受信し、無線統合処理装置に送って復調する技術が知られている。一般に無線通信では、異なる場所で受信された無線信号の受信電力は独立な確率過程となる。このため、ある場所の受信装置では受信電力が低くても他の受信装置では高い受信電力で受信される場合がある。そこで、複数の無線受信装置で受信した信号を無線統合処理装置に集約し、受信電力の高い無線受信装置で受信した信号を選択したり、受信電力に応じて各無線受信装置で受信した信号を加重合成して復調したりすることで、復調性能を向上させることができる。いわば、空間ダイバーシチの延長線上にある技術と言える。
【0003】
無線受信装置の受信信号を無線統合処理装置に集約するには、受信信号をデジタル変換前のアナログ信号の形態で伝送するのがシンプルである。しかし、無線受信装置と無線統合処理装置との間に専用のケーブルを敷設する必要がある。無線受信装置と無線統合処理装置が同じ拠点に設置されていればまだしも、別の拠点に設置されている場合は現実的とはいえない。受信信号を、デジタル変換後のIQ信号の形態で伝送することも考えられる。しかし、無線受信装置と無線統合処理装置との間の通信データ量が多くなりすぎ、ネットワークに大きな負荷がかかってしまう。そこで、受信したデジタル変調信号を無線受信装置で復調し、復調後のデータを集約する技術が開示されている。
【先行技術文献】
【特許文献】
【0004】
特許第3009031号公報
特許第2985881号公報
【発明の概要】
【発明が解決しようとする課題】
【0005】
復調後のデータを集約する方式にも課題がある。すなわち、個々の無線受信装置で復調する際の位相を同期させることが難しい点である。複数の無線受信装置は無線信号から個別に同期引き込みを行うので、フェージングなどで受信電力が低下すると互いの同期が外れやすい。仮に、無線信号のフレーム内に同期用の信号が挿入されていなかったり、同期信号の間隔が広い場合には、同期外れが長期間にわたって固定化されることもあり得る。このことはビット誤り率の低下に直結することから、対処が望まれていた。
【0006】
そこで、目的は、同期外れへの耐性を高め、ビット誤りを抑圧することの可能な無線統合処理装置および無線通信システムを提供することにある。
【課題を解決するための手段】
【0007】
実施形態によれば、無線統合処理装置は、受信部と、シンボル回転補正部と、合成処理部とを具備する。受信部は、デジタル変調された共通の無線信号をそれぞれ受信復調して生成された復調データと無線信号の通信品質データとを含む通信信号を伝送する複数の無線受信装置から通信信号を受信して、当該通信信号から復調データと通信品質データとを抽出する。シンボル回転補正部は、抽出された復調データのシンボル回転を抽出された通信品質データに基づいて補正して、補正後データを生成する。合成処理部は、抽出された通信品質データに基づいて補正後データをダイバーシチ受信して統合復調データを生成する。
【図面の簡単な説明】
【0008】
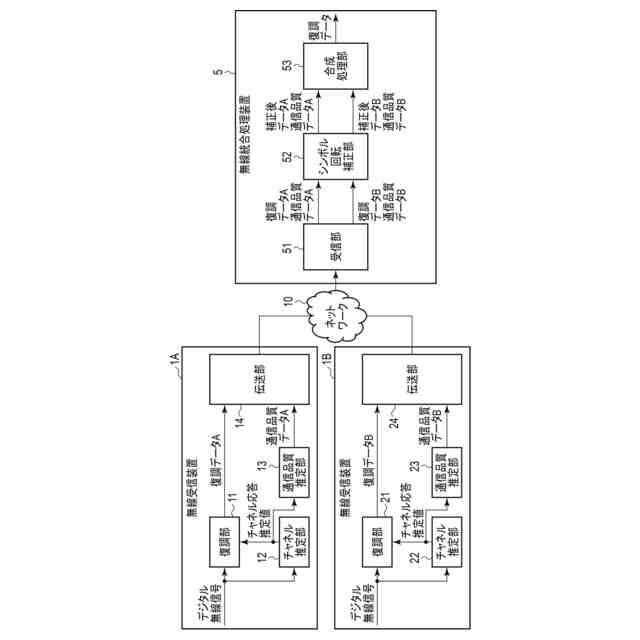
図1は、実施形態に係わる無線通信システムの一例を示すブロック図である。
図2は、デジタル無線信号のフレームフォーマットの一例を示す図である。
図3は、QPSKの信号点配置を示す図である。
図4は、同期が外れた状態の一例を示す図である。
図5は、QPSKの変調シンボルと伝送ビットとの関係の一例を示す図である。
図6は、シンボル回転補正部52による、復調データとシンボルデータとの変換について説明するための図である。
図7は、シンボル回転補正部52による作用をさらに説明するための図である。
図8は、差分シンボルデータについて説明するための図である。
図9は、ビット反転に係わるビットの設定を示す図である。
図10は、ビット反転により生成される補正後データの一例を示す図である。
図11は、ビット反転により生成される補正後データの他の例を示す図である。
【発明を実施するための形態】
【0009】
(構成)
図1は、実施形態に係わる無線通信システムの一例を示すブロック図である。このシステムは、それぞれ共通のデジタル無線信号を受信する複数の無線受信装置1A,1Bと、無線統合処理装置5とを備える。デジタル無線信号は、例えばQPSK(Quadrature Phase Shift Keying)方式でデジタル変調されている。無線受信装置1A,1Bは、それぞれ受信したデジタル無線信号に基づく通信信号を、ネットワーク10を経由して無線統合処理装置5宛てに送信する。この通信信号は、ネットワーク10を経由して無線統合処理装置5で受信される。
【0010】
無線受信装置1Aは、復調部11、チャネル推定部12、通信品質推定部13、および伝送部14を備える。
復調部11は、デジタル無線信号を受信復調して復調データを生成する。復調データとしては、いわゆる硬判定復調で生成された硬判定結果を適用することができる。
チャネル推定部12は、デジタル無線信号を伝送チャネルを推定し、チャンネル応答推定値を復調部11および通信品質推定部13に通知する。
通信品質推定部13は、デジタル無線信号の通信品質を推定して通信品質データを生成する。
伝送部14は、復調部11からの復調データ(復調データA)と、通信品質推定部13からの通信品質データ(通信品質データA)とを含む通信信号を生成する。そして、伝送部14は、この通信信号をネットワーク10を介して無線統合処理装置5に伝送する。
(【0011】以降は省略されています)
この特許をJ-PlatPat(特許庁公式サイト)で参照する
関連特許
株式会社東芝
センサ
2か月前
株式会社東芝
モータ
1か月前
株式会社東芝
端子台
1か月前
株式会社東芝
センサ
2か月前
株式会社東芝
電子装置
1か月前
株式会社東芝
金型構造
2か月前
株式会社東芝
電子回路
1か月前
株式会社東芝
電子装置
1か月前
株式会社東芝
吸音装置
1か月前
株式会社東芝
除去装置
23日前
株式会社東芝
真空バルブ
1か月前
株式会社東芝
半導体装置
1か月前
株式会社東芝
半導体装置
1か月前
株式会社東芝
粒子加速器
1か月前
株式会社東芝
半導体装置
1か月前
株式会社東芝
半導体装置
1か月前
株式会社東芝
半導体装置
1か月前
株式会社東芝
半導体装置
2か月前
株式会社東芝
半導体装置
2か月前
株式会社東芝
半導体装置
1か月前
株式会社東芝
半導体装置
1か月前
株式会社東芝
半導体装置
2か月前
株式会社東芝
半導体装置
1か月前
株式会社東芝
真空バルブ
1か月前
株式会社東芝
半導体装置
1か月前
株式会社東芝
半導体装置
1か月前
株式会社東芝
半導体装置
1か月前
株式会社東芝
半導体装置
1か月前
株式会社東芝
半導体装置
1か月前
株式会社東芝
半導体装置
1か月前
株式会社東芝
半導体装置
2か月前
株式会社東芝
半導体装置
2か月前
株式会社東芝
半導体装置
1か月前
株式会社東芝
高周波回路
1か月前
株式会社東芝
半導体装置
2か月前
株式会社東芝
半導体装置
2か月前
続きを見る
他の特許を見る